公式
共軛複數根據定義,若z=a+bi(a,b∈ R),則 =a-bi(a,b∈ R)。共軛複數所對應的點關於實軸對稱(詳見附圖)。兩個複數:x+yi與x-yi稱為共軛複數,它們的實部相等,虛部互為相反數。在複平面上,表示兩個共軛複數的點關於X軸對稱,而這一點正是"共軛"一詞的來源。兩頭牛平行地拉一部犁,它們的肩膀上要共架一個橫樑,這橫樑就叫做"軛"。如果用z表示x+yi,那么在z字上面加個"一"就表示x-yi,或相反。
共軛複數有些有趣的性質:
共軛複數
共軛複數另外還有一些四則運算性質。
代數特徵
共軛複數(1)|z|=||;
共軛複數
共軛複數(2)z+=2a(實數),z-=2bi;
共軛複數(3)z·=|z| =a +b (實數)。
加法法則
複數的加法法則:設z=a+bi,z=c+di是任意兩個複數。兩者和的實部是原來兩個複數實部的和,它的虛部是原來兩個虛部的和。兩個複數的和依然是複數。即 (a+bi)±(c+di)=(a±c)+(b±d)i.
減法法則
兩個複數的差為實數之差加上虛數之差(乘以i)
即:z-z=(a+ib)-(c+id)=(a-c)+(b-d)i
乘法法則
複數的乘法法則:把兩個複數相乘,類似兩個多項式相乘,結果中i = -1,把實部與虛部分別合併。兩個複數的積仍然是一個複數。
即:zz=(a+bi)(c+di)=ac+adi+bci+bdi =(ac-bd)+(bc+ad)i.
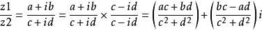
除法法則
複數除法定義:滿足(c+di)(x+yi)=(a+bi)的複數x+yi(x,y∈R)叫複數a+bi除以複數c+di的商運算方法:將分子和分母同時乘以分母的共軛複數,再用乘法法則運算。
共軛複數即:
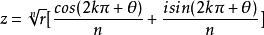
開方法則
共軛複數若z =r(cosθ+isinθ),則 (k=0,1,2,3……n-1)
共軛法則
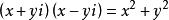
z=x+iy的共軛,標註為z*就是共軛數z*=x-iy
即:zz*=(x+iy)(x-iy)=x -xyi+xyi-y i =x +y
即,當一個複數乘以他的共軛數,結果是實數。
z=x+iy 和 z*=x-iy 被稱作共軛對。
運算特徵
共軛複數(1)
共軛複數(2)
共軛複數(3)
共軛複數(4) (z≠0)
總結:和(差、積、商)的共軛等於共軛的和(差、積、商)。
模的運算性質
① | z·z| = |z|·|z|
②┃| z|-| z|┃≤| z+z|≤| z|+| z|
共軛複數③| z-z| = | zz|,是複平面的兩點間距離公式,由此幾何意義可以推出複平面上的直線、圓、雙曲線、橢圓的方程以及拋物線
共軛複數
共軛複數
共軛複數表示複數z的共軛複數,表示複數z的共軛複數的共軛複數,即=z。

