定理
柯西積分定理
柯西積分定理
柯西積分定理
柯西積分定理
柯西積分定理
柯西積分定理設 是複平面的一個單連通的開子集。 是一個 上的全純函式。設 是 內的一個分段可求長的簡單閉曲線(即連續而不自交並且能定義長度的閉合曲線),那么:
單連通條件
柯西積分定理
柯西積分定理
柯西積分定理
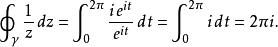
柯西積分定理是單連通表示 中沒有“洞”,例如任何一個開圓盤 都符合條件,這個條件是很重要的,考慮中央有“洞”的圓盤: ,在其中取逆時針方向的單位圓路徑:
柯西積分定理
柯西積分定理
柯西積分定理考慮函式 ,它在 中是全純函式,但它的路徑積分:
柯西積分定理
柯西積分定理不等於零。這是因為函式f在“洞”中有奇點。如果考慮整個圓盤 ,就會發現f在圓盤中央的點上沒有定義,不是全純函式。
等價敘述
柯西積分定理
柯西積分定理
柯西積分定理
柯西積分定理
柯西積分定理
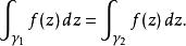
柯西積分定理柯西積分定理有若干個等價的敘述。例如: 設 是複平面的一個開子集。 是一個定義在 上的函式。設 與 是 內的兩條可求長的簡單曲線,它們的起點和終點都重合:
柯西積分定理
柯西積分定理
柯西積分定理
柯西積分定理並且函式f在 與 圍成的閉合區域D內是全純函式,那么函式f沿這兩條曲線的路徑積分相同:
推廣
柯西積分定理
柯西積分定理
柯西積分定理
柯西積分定理
柯西積分定理
柯西積分定理
柯西積分定理除了對分段可求長的簡單閉合曲線成立以外,柯西積分定理對於某些更複雜的曲線也適用。設 是複平面的一個開子集。 是定義在 上的全純函式。無論 內的曲線 是自交還是卷繞數多於1(圍著某一點轉了不止一圈),只要 能夠通過連續形變收縮為 內的一點,就有:
柯西積分定理證明
柯西積分定理
柯西積分定理
柯西積分定理
柯西積分定理
柯西積分定理
柯西積分定理
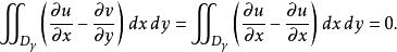
柯西積分定理以下的證明對函式有較為嚴格的要求,但對物理學中的套用來說已經足夠。設 是複平面 的一個開子集。 是定義在 上的全純函式, 是 內的可求長的簡單閉合曲線。假設f的一階偏導數也在 上連續,那么可以根據格林定理作出證明。具體如下:
柯西積分定理
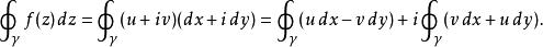
柯西積分定理為了便於表達,將函式f寫為實部函式和虛部函式: 由於 ,積分
柯西積分定理
柯西積分定理
柯西積分定理依據格林定理,右端的兩個環路積分都可以變形為 圍成的區域 上的面積分。
柯西積分定理另一方面,由於f是全純函式,所以它的實部函式和虛部函式滿足柯西-黎曼方程:
柯西積分定理所以以上的兩個積分中的被積函式都是0,
柯西積分定理
柯西積分定理因而積分也是0:
柯西積分定理推論
柯西積分定理
柯西積分定理
柯西積分定理
柯西積分定理
柯西積分定理該定理的一個直接推論,是在單連通域內全純函式的路徑積分可以用類似於微積分基本定理的方法來計算:設 是複平面的一個開子集。是一個 上的全純函式。函式f在 內的路徑積分,只與積分的起點和終點有關,與中間經歷的路徑無關。假設,起點為 a,則可以定義一個函式
柯西積分定理
柯西積分定理其中的可以是任何以 a為起點, b為終點的分段可求長簡單曲線。函式F被稱為f的(復)原函式或反導數函式。
柯西積分定理與柯西積分公式是等價的。從柯西積分定理可以推導出柯西積分公式和留數定理。
參見
•柯西-黎曼方程
•柯西積分公式
•留數

