同調代數
正文
代數學的一個非常重要的分支,是由美國的數學家與歐洲的數學家在20世紀40年代彼此獨立而幾乎同時開始發展起來的。同調代數源出於代數拓撲學,因而它仍保留著一些代數拓撲學中所用的術語,如循環(閒鏈)、邊緣(邊緣鏈)等等,而代數拓撲學本來就是把幾何概念轉換成代數概念的一種理論。代數拓撲學中的同調群概念與同調代數有密切聯繫。在n維歐氏空間En中適當取q+1個點α0,α1,…,αq,q≤n,它們將張成一個q維超平面。取
,則所有這些x之集成為一個q維單形Sq,常記為(α0,α1,…,αq)。它以αi為其頂點,αi全為正數的點稱為內點,其餘的點,稱為邊緣點。
稱為其一個邊緣面,
是一個r維面,這裡i0,i1,…,ir是0,1,…,q中的任何r+1個數,取C為En中有限個單形之集,其中任兩個單形之交或為空集,或為它們的一個r維面,而且若Sq屬於C,則其任一個r維面也必屬於C。以Cq表示由C中所用的q維單形Sq所生成的加法自由交換群,並於Sq=(α0,α1,…,αq)時,定義 
, (1)
代數學家不考慮上述同調理論中的幾何意義,直接討論式(1),研究其同調群,式中的Ci已不僅是一些交換群,而是環上的模。同調代數的理論已經變成研究環、一般代數、李代數與群的一種不可缺少的有力工具。
以下述及的環U與B都有單位元,模都是酉模,且一般是左U模。左U模範疇記作
。 復形與同調模 範疇
中的一個復形是一列(A,嬠)
, (2)
是復形(A,嬠)的第n個同調模。若式(2)中對所有的n都有Im嬠n+1=Ker嬠n,即所有Hn(A,嬠)都等於0,則(A,嬠)是一個正合列。特別,若在n≥3與n<0時,所有的 An都等於 0,而(2)又正合,則為短正合列
,這時嬠2必為單同態,嬠1必為滿同態,而A0=A1/嬠2A2。 假定(B,d)也是一個復形, 設有模同態ƒn:An→Bn,使下圖可交換


,所以,ƒn將引出Hn(A,嬠)到Hn(B,d)的一個模同態ƒ
n,稱為同調映射。若ƒ與g都是(A,嬠)到(B,d)的復形映射,且有
,使對所有的n,恆有
,則ƒ與g為同倫的,記為h:ƒ埍g,這時必有ƒ
n=g
n。 固定任一整數n,每一個復形(A,嬠)將對應其第n個同調模Hn(A,嬠),而復形映射ƒ:(A,嬠→(B,d)將引出同調映射ƒ
n, 因此Hn是一個由Ucm到
的函子,它把(A, 嬠)變成Hn(A,嬠),把ƒ:(A,嬠)→(B,d)變成ƒ
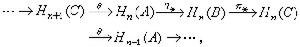
n,這個Hn稱為第n個同調函子。 復形的短正合列
是指如下的交換圖:
(3)
表單同態,
表滿同態。對於(3), 有在同調代數中各個方面都起著重要作用的同調正合列定理: 有連線映射(模同態)
使有正合列(δ,嬠,d 等記號都省掉) 
(4)
稱為上復形(4)的第n個上同調模。 投射分解與內射分解 正合列
, (5)
中各模的最大投射維數是這個範疇的一個總體性質,因而也是環U本身的一個總體性質,所以稱為U的左總體維數
。已知:若ldU=0,則U為滿足極小條件的半單環;若ldU=1,則U為左遺傳環。同樣可定義U的右總體維數rdU。一般說來,U的左、右總體維數並不相等。 與上述投射分解相對偶,正合列
,
中各模的最大內射維數
正好等於U的左總體維數ldU。 導函子 設T是一個自
到BM 的共變加法函子,由下列的辦法來定義的一系列新的函子LnT與RnT,稱為由T 所導出的導函子。 取A與B均為U模,ƒ:A→B為模同態,(p,嬠)與(Q,d)分別為A與B的投射分解,則有復形映射{ƒn}使有交換圖

(6)
與
,
而由Tƒn所引出的同調映射則表以LnT(ƒ),其實這些LnTA與LnTB並不隨所取的投射分解而變,換成A與B的其他的投射分解,仍得到同樣的LnTA與LnTB。同時,LnT(ƒ)也不隨所取的復形映射{ƒn}而變,換ƒn為gn,只要圖(6)仍然是可交換的,那么就有相同的同調映射
。 因此,由A變成LnTA,由ƒ:A→B得到LnT(ƒ),則得一個共變函子LnT,稱為T的左導函子。 若改用A的內射分解,則用同樣的方法可得到T的右導出函子RnT,它是一個共變函子。
如果 F是一個逆變加法函子,那么取 A的投射分解(p,嬠),就得上復形(Fp,F嬠),其第n個上同調模將記為RnF(A),因而可由F導出的右導出函子RnF,它是一個逆變函子。
若對所有的n>0恆有LnTA=0,則A稱為一個左T-零調模。零調模在譜序列的理論中非常重要。
函子圱與Tor 取M為右U模,對任一個左U模,定義
,並對模同態σ:A→B,令T(σ)=1圱σ:M圱A→M圱B, 則得一個由
到交換群範疇AG的共變加法函子T,此T也常表成M圱-。由T所導出的第n個左導出函子將表以Tor將(M,-),換言之,若取A的一個投射分解為(p,嬠),則得一個復形(M圱p,1圱嬠),此復形的第n個同調模就是Torn(M,A)(U有時可省去)。特別,Tor0(M,A)=M圱A。 同樣,讓A固定,則得函子-圱A,由其導出的第n個導出函子為Torn(-,A),所以Torn(-,-)實際上是一種雙函子,它對兩個變數(讓其一固定,另一個變動)都是共變加法函子。
符號Tor是英文TORSION一字的前三個字母,它的意思是“撓性質”。假定U是一個整環(無零因子的交換環),而A是一個U模,讓tA={α∈A│有某一非零α∈U,使αα=0},於是tA是A的一個子模,稱為A的撓子模。讓A對應tA即得
到其自身的一個共變函子t;另一方面,讓Q為U的商域(也看成U模),令M=Q/U為商模,則可證明,函子t(可稱為撓函子)與函子Tor
(M,-)是自然等價的,故用符號Tor。 函子Hom與Ext 固定一個左U模x,對於任一個左U模A,定義 FA=HomU(A,x),並對ƒ:A→B,定義F(ƒ):Hom(B,x)→Hom(A,x),使在σ∈Hom(B,x)時有交換圖(7)。
(7)
到AG的逆變函子,其第n個右導出函子RnF將表以Ext
(-,x)。因此,先取A的任一個投射分解(ρ,嬠),再作上復形
, 則其第n個上同調模就是 Extn(A,x),特別,Ext0(A,x)=Hom(A,x)。 如果讓A固定,令TX=Hom(A,x),並對g:x→Y,定義T(g):Hom(A,x)→Hom(A,Y),使T(g)(τ)=gτ如交換圖(8),則T為
到AG的共變函子, 其第n個右導出函子將表以Extn(A,-),換言之,Extn(-,-)是一個雙函子,它對第一個變數A是逆變的(讓x 固定時);而對第二個變數x是共變的(讓A固定)。
(8)

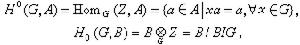
群的同調與上同調 設G為乘法群,Z表整數環,以G的所有的元素為生成元素可得一個加法自由群ZG,因此ZG 中每一個元素都惟一地表成
的形狀,這裡m(x)∈Z,且只能有有限個m(x)不為0,再定義
,則 ZG是一個環,稱為Z上的群環。任一個ZG模也稱為G模。如果在z∈Z時,定義
,則Z作成一個左G模。 當A為G模時,
稱為G的其係數在A內的上同調群。對偶地,若B為右G模,
稱為G 的其係數都在B內的同調群。不難證明 
稱為ZG的增廣理想,它在群的同調理論中十分重要。 各種群的 Hn與Hn的計算與理論是同調代數與群論中的重要研究課題。
譜序列 它是同調代數中的一個重要的理論,也是一種研究同調模的重要方法。
設A是一個U模,若有模自同態d:A→A使B=Imd吇Z=Ker d,即dd=0,則(A,d)稱為一個微分模,d是其微分,而商模Z/B是(A,d)的同調模H(A,d)。與復形的情況類似,B為d的邊緣,而Z為d的循環。微分模的序列{Ar,dr}(r≥1 是整數)稱為一個譜序列,是指對每一個r都有

。讓Z2Ker d1,B2=Im d1,則A2=Z2/B2,又定義Z3與B3,使A3=Kerd2/Imd2=(Z3/B2)/(B3/B2)=Z3/B3,…,依此類推,可讓Ar=Zr/Br,於是得一鏈
,令
,
,則A∞=Z∞/B∞稱為譜序列{Ar,dr}的極限模。在r很大時,Ar可作為極限模的“近似”。 在同調代數中常用到的譜序列實際上是由雙分次模所組成的,所謂雙分次模,就是一些模Epq的集合,p與q都是整數。設E與D都是雙分次模,且有整數對(α,b)),使對任何p、q都有一個模同態
,則d:E→D稱為具有雙分次(α,b))的映射。若d:E→E有次數(α,b)),且dd=0,即
,凬p,q,則d是微分,而
為其同調雙分次模。假定(Er,dr)都是微分雙分次模,且
,那么,這對於(Er,dr)也是一個譜序列。 用過濾的辦法,可以從一個復形(A,嬠)得到一個很有用處的譜序列。假定對每一個p∈Z,FpA都是A的一個子復形,並且有
,
,由同調正合列定理,得 
, (9)
,
,
,易知,d1:E→E有次數(-1,0),且d1d1=0,故d1是E1的微分。以E2表其同調雙分次模,再適當定義d2:E2→E2為E2的微分。依此類推,即得一個譜序列(Er,dr),只要F取得恰當,這個譜序列可以提供(A,嬠)的同調模的一些信息。 參考書目
H.Cartan and S.Eilenberg,Homological Algebra, Princeton Univ. Press, Princeton, 1956.
S.MacLane,homology, Springer-Verlag, Berlin, 1963.
J.J.Rotmann,An Introduction to Homological Algebra,Academic Press, New York, 1979.
