基本內容
離差平方和(Sumof Squares of Deviations)是各項與平均項之差的平方的總和。
其他信息
他們是一個不同的概念 ,但在實驗中 他們的結果可能相同
離差平方和是傳播統計學的重要計算方法。
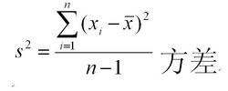
離差平方和與方差的關係
離差平方和設x是一個隨機變數,令η=x-Ex, 則 稱 η為x的離差.它反映了x與其數學期望Ex的偏離程度.根據數學期望的性質:離差的數學期望=0 Eη=E(ξ-Eξ)= Eξ-Eξ=0通常用 隨機變數x離差的平方的數學期望 來描述隨機變數x的分布的分散程度,並把其稱為x的方差,記作Dx: Dx= E(x-Ex)^2離差平方的數學期望是方差他們是一個不同的概念 ,但在實驗中它們的結果可能相同
離差平方和離差平方和的樣本計算
通過離差平方和的樣本計算對離差平方和的分解進行方差分析, 出利用樣本方差進行離差平方和的計算.提關鍵字: 樣本方差; 統計學的實踐表明, 於某一特性量經過多次試驗的結對果, 般不會是同一數值, 是彼此有差異, 種差異反映了一而這試驗受各種條件( 稱為因素) 制約. 差平方和就反映了也的離某因素引起的差異大小. 解決此問題, 國統計學家R. 為英A. Fs e i r提 出了方差分析的方法, 基本思想是將總的離差平h 其方和分解為幾個部分, 一部分反映了方差的一種來源, 後每然利用F分 布進 行檢驗 . 雖然現階段有許多統計工具, 學生比較熟悉的EXCEL 電子表格 和不太熟悉的SAS. 在許多地區計算機條件比較但落後.
以交試驗設計為例分析,說明如何利用樣本方差來計算離差平方和的.
1. 離差平方和的計算公式: 設了S " £分 別為總的、 因素的離差. S, , A 平方和 誤差的( 內離差平方組, 組和)則有以下解: , SSr SSaSSe= + r a i( = l n + 2 …+ , + ), i 樣本方差 (a l v r ne是 觀察 值與其均 值離差的平 S mpe ai c ) a其中s7 =厶 厶l c ,. :∑ ∑(j7z . ∑( - Y . x- ) S . :∑ , = ; x, l J 1 - - , i , l j 1 - -
方和的均值, X( , 是一組樣本值, 一設i =1…,) 那么 圭厶( - x), 中; 是的平均值, 過計算器很容易計算其通出樣 本方差. 而有計算公式: 從一∑∑(i x) x- iz , . l 』1 - , i
由÷∑.所 數的值那 ,照 式1 於一j 為有據均,么按 公( - 1 )
有: SS r= 一1 s ) () 2 2 x一; ) _ i )=( 一1j A( , () 1
公式說明: 數據與其均值的可以表示成自由度與樣本方差的乘積.此公式不僅適用於單因素方差分析, 也適用於雙因素方差分析和正交試驗設計中離差平方和的計算,後面不再說明.
離差平方和
