大樣本統計
正文
研究樣本大小n趨於無限時,統計量和相應的統計方法的極限性質(又稱漸近性質),並據以構造具有特定極限性質的統計方法。例如,用樣本均值
估計總體均值θ,在n→
時,
以機率1收斂於θ(見機率論中的收斂),稱
為θ的強相合估計。
的這個性質只有在n→
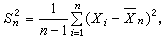
時才有意義,這叫做大樣本性質,而強相合性的研究屬於大樣本統計的範圍。根據統計量的極限性質而得出的統計方法稱為大樣本方法。例如:設X1,X2,…,Xn是從正態總體N(μ,σ2)中抽出的樣本,μ和σ未知,要作μ的區間估計。記樣本方差為
當
依分布收斂於標準常態分配N(0,1)。基於這個性質可知, 當n較大時,可用
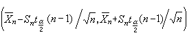
作為 μ 的區間估計,其中
是標準常態分配的上
分位數(見機率分布);這個估計的置信係數當n→
時趨於指定的 1-α(0<α<1)。這就是一個大樣本方法。 與大樣本性質和大樣本方法相對,小樣本性質是指在樣本大小n固定時統計方法的性質,小樣本方法是指基於n固定時的統計量性質的統計方法。如上述第一例,當n固定時有E
=θ,即
為θ的無偏估計(見點估計);
的這個性質在n固定時有意義,所以是小樣本性質。又如,英國統計學家W.S.戈塞特(又譯哥色特,筆名“學生”)在1908年找到了
的精確分布為自由度是n-1的t分布(見統計量)。基於此事實,可知對任何固定的n,μ的區間估計
具有確切的置信係數1-α。其中
是自由度為n-1的 t分布上
分位數。這個性質對任何固定的 n都成立。因而上述區間估計是小樣本方法。總之,區分大、小樣本性質(或方法)的關鍵在於樣本大小 n是趨於無限還是固定,而不在於n數值的大小。 小樣本方法也稱為“精確方法”,因為它往往是基於有關統計量的精確分布(如前例中的t分布);與此相應,小樣本方法的統計特性,如顯著性水平(見假設檢驗)、置信係數(見區間估計)等,往往是精確而非近似的。與此相對,大樣本方法也稱為“漸近方法”或“近似方法”,因為它是基於統計量的漸近分布,且有關的統計特性只是近似而非精確的。在套用中,樣本大小n總是一個有限數,這裡就有一個近似程度如何的問題。如在對N(μ,σ2)中的μ作區間估計的例子中,指定的置信係數為0.95,按大樣本理論作出區間估計

當n→
時,其置信係數趨於0.95,但即使n很大,置信係數也只是接近而非確切等於0.95。為了在使用它時做到心中有數,需要在n固定的情況下,對真實的置信係數與其近似值0.95的差距作出有用的估計,在大樣本方法的使用中,一般都存在此問題。但由於數學上的困難,目前使用的許多大樣本方法中,通常很少有有效的誤差估計,這是大樣本方法的弱點。然而它仍有重要的理論和實際意義:它不僅提供了一批可供選用的統計方法,而且,經驗證明,當一個統計方法不具備某些基本的大樣本性質(如相合性)時,常常也很難有良好的小樣本性質。評價一個統計方法的優良性時,大樣本性質是不可忽視的。 相合性,是一項重要的大樣本性質。一般地說,統計方法的相合性是指:只要樣本大小n足夠大,則使用這個統計方法時,可以用任意確切的程度回答所提出的統計推斷問題。例如,估計的相合性是表示,當n→
時,估計量在一定意義下,如依機率收斂或幾乎必然收斂或以r階平均收斂 (見機率論中的收斂)於被估計值。檢驗的相合性是指它在任意指定的備擇假設處的功效當 n→
時趨於 1。相合性是最基本也是最容易滿足的大樣本性質。還有漸近無偏性、漸近有效性(見點估計)、和漸近正態性,或更一般地,漸近於某種特殊的極限分布的性質,也都是重要的大樣本性質。 大樣本統計的發展,依賴於機率論的極限理論,它在一定程度上已構成機率論極限理論的一個方面。1900年K.皮爾森證明了關於擬合優度的ⅹ2統計量的分布漸近於ⅹ2分布的著名定理,可以作為大樣本理論的發端。更早一些,在機率論中就證明了關於二項分布漸近於常態分配的定理,這個定理也可用於大樣本統計方法(求二項分布參數的大樣本區間估計),但習慣上把這定理看作是純粹機率論的定理。自1900年以後,特別是二次大戰後的30多年中,大樣本理論發展很快,達到了相當深入的地步,重要的結果有:關於擬合優度的ⅹ2檢驗漸近於ⅹ2分布的理論,最大似然估計及一般漸近有效估計的理論,似然比檢驗及一般漸近有效估計的理論,穩健估計大樣本理論以及非參數統計中大量的大樣本理論。現在,大樣本理論在數理統計學中仍是一個活躍的研究方面。(見假設檢驗、點估計、穩健統計)
參考書目
J. Serfling,ApproxiMation Theorems in MatheMatical Statistics, John Wiley & Sons, New York,1980.

