簡介
數值積分 求某函式的定積分時,在多數情況下,被積函式的原函式很難用初等函式表達出來,因此能夠藉助微積分學的牛頓-萊布尼茲公式計算定積分的機會是不多的。另外,許多實際問題中的被積函式往往是列表函式或其他形式的非連續函式,對這類函式的定積分,也不能用不定積分方法求解。由於以上原因,數值積分的理論與方法一直是計算數學研究的基本課題。對微積分學作出傑出貢獻的數學大師,如I.牛頓、L.歐拉、C.F.高斯、拉格朗日等人都在數值積分這個領域作出了各自的貢獻,並奠定了這個分支的理論基礎。
構造數值積分公式最通常的方法是用積分區間上的n次插值多項式代替被積函式,由此導出的求積公式稱為插值型求積公式。特別在節點分布等距的情形稱為牛頓-柯茨公式,例如梯形公式(TrapezoidalApproximations)與拋物線公式(ApproximationsUsingParabolas)就是最基本的近似公式。但它們的精度較差。龍貝格算法是在區間逐次分半過程中,對梯形公式的近似值進行加權平均獲得準確程度較高的積分近似值的一種方法,它具有公式簡練、計算結果準確、使用方便、穩定性好等優點,因此在等距情形宜採用龍貝格求積公式(RhombergIntegration)。當用不等距節點進行計算時,常用高斯型求積公式計算,它在節點數目相同情況下,準確程度較高,穩定性好,而且還可以計算無窮積分。數值積分還是微分方程數值解法的重要依據。許多重要公式都可以用數值積分方程導出。
公式
用被積函式的有限個抽樣值的離散和或加權平均值近似地代替定積分的值。在求函式ƒ(x)的定積分
時,常常無法用初等函式表示原函式
,因此能按牛頓-萊布尼茨公式
(1)
數值積分公式 一般是形如
(2)的近似公式,又稱求積公式,xj和Aj(i=0,1,…,m)分別稱為求積結點和求積係數,通常xj∈【α,b】;式(2)右端稱為求積和;兩端之差
稱為求積餘項或求積誤差;區間【α,b】可以是有限的或無限的。 構造求積公式的問題就是確定xj和Aj使得 E(ƒ)在某種意義下儘可能地小。
代數精度
若式(2)對ƒ(x)=xk (k=0,1,…,d)精確成立,亦即E(ƒ)=0,而當ƒ(x)=x
時(2)不再是精確等式,則說求積公式(2)的代數精度是d。根據K.外爾斯特拉斯的多項式逼近定理,就一般的連續函式ƒ而言,d越大E(ƒ)越小,因此可以用代數精度的高低說明求積公式的優劣。
插值求積
通過插值途徑構成的求積公式。用ƒ(x)的以x0,x1,…,xm為結點的插值多項式
,
,
,
。 (3)
特別,若所有的xj都屬於【α,b】,則稱它為內插型求積公式。這是一類最基本的求積公式。由於m+1個結點的插值型求積公式的代數精度至少是m,所以具有一定代數精度的求積公式總是存在的。
牛頓科茨
龍貝格表等距結點情形下的權函式為1的內插型求積公式。設[α,b]為有限區間,ω(x)呏1。取
,Aj由式(3)確定,則求積公式
(4)
,
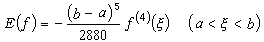
。
,
。
由上述兩個求積公式的誤差表達式看出,積分區間越小,求積誤差就越小。因此為了提高求積精度,可使用復化求積公式。若用分點

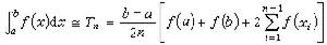
將【α,b】n等分,然後對每個子區間【xj,xj+1】套用梯形公式,並對i=0,1,…, n-1求和,即得復化梯形公式
。
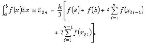
將【α,b】2n等分,然後對子區間【x2j,x2j+2】套用辛普森公式,並對i=0,1,…,n-1求和,即得復化辛普森公式 
逐次分半算法和龍貝格公式 遞推關係和逐次分半算法是數值方法的重要技巧,可用以節省計算時間和計算機的存儲量。龍貝格求積方法正是利用逐次分半算法和遞推關係構成的一種在現代計算機上十分有效的數值積分法。
下面以梯形公式為例說明逐次分半算法。在整個區間【α,b】上套用梯形公式算出積分近似值T1;將【α,b】二等分,套用n=2的復化梯形公式算出T2;再將每個小區間二等分(即將[α,b]四等分),套用n=4的復化梯形公式算出T4,如此進行,可得T1,T2,T4,…。在計算T2n時可利用已算出的Tn值:
,

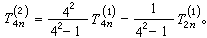
比較復化公式S2n、T2n和Tn發現, 適當地組合T2n與Tn可得到代數精度為3的辛普森公式,即有



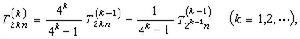
呏Tn。上式的代數精度是2k+1。通常稱上式為逐次分半加速公式或龍貝格公式。實際計算可按表1所示進行:當對角線上相鄰兩個近似值
和
之差的絕對值小於允許誤差時,計算即可停止,並取
為積分近似值。 高斯型
常用高斯型求積公式許多有關數值積分的論著都列舉出各種高斯型公式的結點和係數的數值。可以證明:對每個連續函式,當結點個數趨於無窮時,高斯型公式所給出的近似值序列收斂到相應積分的精確值,而牛頓-科茨公式則不具有這種性質。
高維數值積分的主要方法有蒙特卡羅法、代數方法和數論方法。

