簡介
積分是微分的逆運算,即知道了函式的導函式,反求原函式。在套用上,積分作用不僅如此,它被大量套用於求和,通俗的說是求曲邊三角形的面積,這巧妙的求解方法是積分特殊的性質決定的。
公式種類
不定積分
積分公式設
是函式f(x)的一個原函式,我們把函式f(x)的所有原函式F(x)+C(C為任意常數)叫做函式f(x)的不定積分,記作,即∫f(x)dx=F(x)+C.其中∫叫做積分號,f(x)叫做被積函式,x叫做積分變數,f(x)dx叫做被積式,C叫做積分常數,求已知函式不定積分的過程叫做對這個函式進行積分。
註:∫f(x)dx+c1=∫f(x)dx+c2, 不能推出c1=c2
定積分
積分是微積分學與數學分析里的一個核心概念。通常分為定積分和不定積分兩種。
直觀地說,對於一個給定的實函式f(x),在區間[a,b]上的定積分記為:
積分公式若f(x)在[a,b]上恆為正,可以將定積分理解為在Oxy坐標平面上,曲由線(x,f(x))、直線x=a、x=b以及x軸圍成的面積值(一種確定的實數值)。
積分的種類還有如下幾類:
黎曼積分
達布積分
勒貝格積分
黎曼-斯蒂爾吉斯積分
數值積分
公式匯總
不定積分
不定積分的積分公式主要有如下幾類:含ax+b的積分、含√(a+bx)的積分、含有x^2±α^2的積分、含有ax^2+b(a>0)的積分、含有√(a²+x^2) (a>0)的積分、含有√(a^2-x^2) (a>0)的積分、含有√(|a|x^2+bx+c) (a≠0)的積分、含有三角函式的積分、含有反三角函式的積分、含有指數函式的積分、含有對數函式的積分、含有雙曲函式的積分。
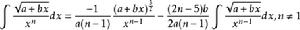
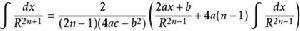
含a+bx的積分
含有a+bx的積分公式主要有以下幾類:
積分公式
積分公式
積分公式
積分公式
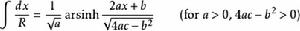
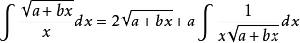
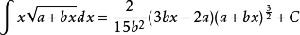
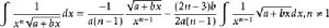
積分公式含√(a+bx)的積分
含有√(a+bx)的積分公式只要包含有以下幾類:
積分公式
積分公式
積分公式
積分公式
積分公式
積分公式
積分公式
積分公式含有x^2±α^2的積分
積分公式含有ax^2+b(a>0)的積分
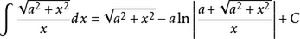
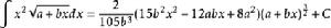
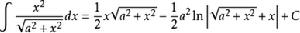
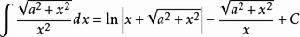
積分公式含有√(a^2+x^2) (a>0)的積分
被積函式中含有√(a^2+x^2) (a>0)的積分有
:
積分公式
積分公式
積分公式
積分公式
積分公式
積分公式
積分公式
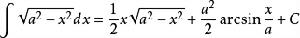
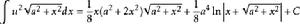
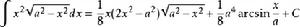
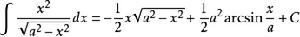
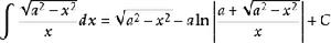
積分公式含有√(a^2-x^2) (a>0)的積分
被積函式中含有√(a^2-x^2) (a>0)的積分有:
對於a>x有:
積分公式
積分公式
積分公式
積分公式
積分公式
積分公式
積分公式
積分公式
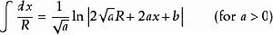
積分公式含有√(|a|x^2+bx+c) (a≠0)的積分
被積函式中含有√(|a|x^2+bx+c) (a≠0)的積分有
積分公式
積分公式
積分公式
積分公式
積分公式
積分公式
積分公式
積分公式
積分公式
積分公式
積分公式
積分公式含有三角函式的積分
被積函式中含有三角函式的積分公式有:
積分公式
積分公式
積分公式
積分公式
積分公式
積分公式
積分公式
積分公式
積分公式
積分公式
積分公式
積分公式
積分公式
積分公式
積分公式
積分公式
積分公式
積分公式
積分公式
積分公式含有反三角函式的積分
被積函式當中含有反三角函式的積分公式有
:
積分公式
積分公式
積分公式
積分公式
積分公式
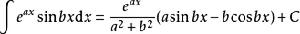
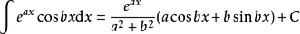
積分公式含有指數函式的積分
被積函式當中包含有指數函式的積分公式
:
積分公式
積分公式
積分公式
積分公式
積分公式
積分公式含有對數函式的積分
被積函式當中包含有對數函式的積分公式
:
積分公式
積分公式
積分公式
積分公式含有雙曲函式的積分
被積函式當中包含有雙曲函式的積分公式有
:
積分公式
積分公式
積分公式
積分公式
積分公式
積分公式定積分
定積分公式有以下幾種
積分公式
積分公式積分性質
積分公式通常意義上的積分都滿足一些基本的性質。以下積分區域
的在黎曼積分意義上表示一個區間,在勒貝格積分意義下表示一個可測集合。積分的性質有:線性性、保號性、極大值極小值、絕對連續性、絕對值積分等。
線性性
積分是線性的。如果一個函式f 可積,那么它乘以一個常數後仍然可積。如果函式f和g可積,那么它們的和與差也可積。
積分公式保號性
積分公式如果一個函式f在某個區間上黎曼可積,並且在此區間上大於等於零。那么它在這個區間上的積分也大於等於零。如果f勒貝格可積並且幾乎總是大於等於零,那么它的勒貝格積分也大於等於零。作為推論,如果兩個
上的可積函式f和g相比,f(幾乎)總是小於等於g,那么f的(勒貝格)積分也小於等於g的(勒貝格)積分。
積分公式如果黎曼可積的非負函式f在
上的積分等於0,那么除了有限個點以外,f = 0。如果勒貝格可積的非負函式f在
上的積分等於0,那么f幾乎處處為0。如果
中元素A的測度μ (A)等於0,那么任何可積函式在A上的積分等於0。
積分公式函式的積分表示了函式在某個區域上的整體性質,改變函式某點的取值不會改變它的積分值。對於黎曼可積的函式,改變有限個點的取值,其積分不變。對於勒貝格可積的函式,某個測度為0的集合上的函式值改變,不會影響它的積分值。如果兩個函式幾乎處處相同,那么它們的積分相同。如果對
中任意元素A,可積函式f在A上的積分總等於(大於等於)可積函式g在A上的積分,那么f幾乎處處等於(大於等於)g。
積分公式
用戶可以在Microsoft Word中創建積分公式,以Word2010軟體為例介紹操作方法:
第1步,打開Word2010文檔視窗,切換到“插入”功能區。在“符號”分組中單擊“公式”按鈕(非“公式”下拉三角按鈕)。
第2步,在Word2010文檔中創建一個空白公式框架,在“公式工具/設計”功能區中,單擊“結構”分組中的“積分”按鈕。在打開的積分結構列表中選擇合適的積分形式。
第3步,在空白公式框架中將插入積分結構,單擊積分結構占位符框並輸入具體數值或公式符號即可。

