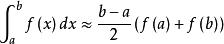
梯形公式該公式表示為
梯形公式公式左端是以[a,b]區間上積分,右端為b一a為高、端點函式值為上下底的梯形的面積值,故通稱為梯形公式,具有1次代數精確度
.
梯形求積公式,指n=1時的牛頓一科特斯公式。
梯形公式該公式表示為
梯形公式公式左端是以[a,b]區間上積分,右端為b一a為高、端點函式值為上下底的梯形的面積值,故通稱為梯形公式,具有1次代數精確度
.
小圓半徑r=a 小圓周長l=2πa 小圓面積s=πa^2
等邊梯形是指一組對邊平行而另一組對邊不平行的四邊形。
等邊梯形 性質 判定 周長、面積 常用輔助線梯形是指一組對邊平行而另一組對邊不平行的四邊形。平行的兩邊叫做梯形的底邊,其中長邊叫下底;不平行的兩邊叫腰;夾在兩底之間的垂線段叫梯形的高。一腰垂直於底...
等腰梯形 判定 周長面積 輔助線 典型例題等腰梯形(英文:isosceles trapezium)按照數學領域可定義為:一組對邊平行(不相等),另一組對邊不平行但相等的四邊形。等腰梯形是一個平面...
定義 性質 判定 面積公式 周長公式梯形法則是採用梯形來估計曲線下方面積,這等同將被積函式近似為直線函式,被積的部分近似為梯形,要求得較準確的數值,可以將要求積的區間分成多個小區間。
基本介紹 梯形法則的誤差直角梯形是指有一個直角的梯形,屬於四邊形。梯形兩腰既不相等也不平行,兩底平行,但不相等,一個腰上的兩角都是直角。
基本定義 面積公式 具有特徵 重心公式梯形(trapezium)是指只有一組對邊平行的四邊形 。平行的兩邊叫做梯形的底邊,較長的一條底邊叫下底,較短的一條底邊叫上底。另外兩邊叫腰;夾在兩底之...
性質 判定 特殊梯形 周長面積 常用輔助線體積公式,即計算各種幾何體體積的數學算式。比如:圓柱、稜柱、錐體、台體、球、橢球等。體積公式,即計算各種由平面和曲面所圍成。一般來說一個幾何體是由面、交...
基本介紹 柱體 錐體 台體 球體