概述
靜態分析具體講,比較靜態分析是通過邏輯(或數學)運算,模擬理論的可駁斥命題即檢驗條件是什麼,從而為理論的驗證提供方法。
產生與發展
靜態分析方法經濟學家從事經濟研究,要對人的欲求等看不見的行為作一些假定(主張或公理),然後用嚴格的數學邏輯將這些假定與看得見的行為或現象聯繫起來(比較靜態分析,提出可駁斥命題),證明某種關於看不見的人的行為的假定為真時,則某種看得見的現象就會發生。這種思想試驗方法就是製造假說或理論的過程成為經濟學的研究範式。
內容
比較靜態分析經濟學將研究變數分為兩類,一是決策或選擇變數(Decision,or choice,variables),另一個是參數或外生變數(Parameters,or variables exogenous to the model)。參數代表理論的檢驗條件變數。如果用x表示決策變數,用α表示參數,則理論必須表示為(假設為)某一決策變數x是檢驗條件α的函式。表示為:x=f(a) (2-1)。
也就是說,對於一個行為公理A(假說,或理論),如果檢驗條件C(用α表示)成立,則決策變數(用x表示)會發生。因為經濟學家往往不能直接觀察到給定某一參數下的實際的選擇變數的具體數值,因此經濟學的研究範式建立在基於對邊際量的觀察,即:
比較靜態分析通常,經濟學的公理(理論)由這一導數的性質來表現,它潛在地表示了經濟學的可駁斥命題,所以經濟學也被稱為邊際主義範式。
比較靜態分析所以有人說,數學方法在經濟學中的廣泛套用雖然不能保證分析框架一定正確,但它卻使理論更容易被證實或證偽,從而大大加速知識的積累過程。這也正是人們預言經濟學中數學的套用的深度和廣度很快就將超過物理學的重要原因。
區別與聯繫
比較靜態和靜態分析靜態分析、比較靜態分析和動態分析與均衡分析是密切相關的,西方經濟學所採用的分析方法,從一個角度來看是均衡分析,從另一角度來看,就是靜態分析、比較靜態分析和動態分析。
靜態分析(staticanalysis),就是分析經濟現象的均衡狀態以及有關的經濟變數達到均衡狀態所具備的條件,它完全抽象掉了時間因素和具體的變化過程,是一種靜止地、孤立地考察某種經濟事物的方法。如研究均衡價格時,舍掉時間、地點等因素,並假定影響均衡價格的其他因素,如消費者偏好、收入及相關商品的價格等靜止不變,單純分析該商品的供求達於均衡狀態的產量和價格的決定。
動態分析(dynamicanalysis)是對經濟變動的實際過程所進行的分析,其中包括分析有關變數在一定時間過程中的變動,這些經濟變數在變動過程中的相互影響和彼此制約的關係,以及它們在每一個時點上變動的速率等等。動態分析法的一個重要特點是考慮時間因素的影響,並把經濟現象的變化當作一個連續的過程來看待。
比較靜態和動態分析動態分析因為考慮各種經濟變數隨時間延伸而變化對整個經濟體系的影響,因而難度較大,在個體經濟學中,迄今占有重要地位的仍是靜態分析和比較靜態分析方法。在總量經濟學中,特別是在經濟周期和經濟成長研究中,動態分析方法占有重要的地位。
套用
陝西省“一線兩帶”發展戰略的比較靜態分析
系統的比較靜態分析模型1、模型的構造
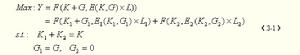
關中地區率先發展,即將有限的政府投資,集中用於局部地區(關中)經濟建設,使其成為一個增長極,預期產生極化效應,從而帶動整個省內的經濟發展。之所以集中用於關中地區,這裡面隱含著如果將這些有限的資金分散用於各個地區,對陝西省總體的經濟產出不會更大。如果地區間的生產函式差異,由分工程度、勞動者技術差異等內生,這一發展戰略,用模型可表示為(模型中的變數都是時間的函式):
比較靜態分析其中,Y為全省總產出,F(•)為生產函式,短期符合規模報酬不變,邊際產量遞減,地區間無差異,K為資本存量,邊際產量遞減,L為勞動力,邊際產量遞減,E為勞動效率,與人力資本投資有關,進而與總產出積累或資本存量有關,還是分工的函式,分工與交易費用(在此包含交通、信息建設等政府投資,用G表示)有關,分工會使規模報酬遞增,E´L表示有效率的勞動力(effective worker),下標1表示關中地區,2表示陝西省其它地區。這一最大化問題可圖示為:
比較靜態分析圖1中,市場配置使產量最大化,各地的資本邊際產量相等。圖2中,對關中地區增加投資,預期產生極化作用,促進產業升級,促進分工,提高生產率,使1沿虛線上升,總產量上升,並帶動2產業升級,使2也沿虛線上升,最終使總產量連續跳躍上升。
這一預期是否成立,需要進行檢驗,如何進行檢驗,就需要進行比較靜態分析,找出這一模型的可駁斥命題。假設生產函式滿足規模報酬不變,關中地區有效率的勞動力占總有效率勞動力比例為m1,其他地區有效率勞動力占總有效率勞動力比例為m2,關中地區勞動力占總勞動力比例為n1,其他地區勞動力占總勞動力比例為n2,即:
比較靜態分析從圖2中可以看出,關中地區若對陝西其它地區具有輻射作用,應能夠帶動那裡的產業升級,即總產出出現拐點(圖2中總生產函式1與2之間的轉折點),拐點的條件是產出的一階導數為零、在此條件下二階導數為零。比較靜態分析就是在滿足以上條件下,從一階條件中尋找決策變數(g)與參數變數(r)之間的關係。
2、比較靜態分析
這裡,產出是有效率的人均資本(k1 + g)的函式,參數為r,決策變數為g,比較靜態分析就是在模型解中尋找決策變數與參數變數的關係。
求解(3-2),一階條件為(注意到輻射係數r是k1+g的函式,設ka = k1 + g):
比較靜態分析
比較靜態分析
靜態分析3、比較靜態分析後的實證分析
通過對陝西省關中地區及陝南陝北經濟發展的情況,計算出輻射係數,並比較輻射係數的變化與政府投資的變化是否滿足比較靜態分析的結果,不滿足時,這一戰略一定是錯誤的。
經濟學知識(六)
| 處在經濟飛速發展的時代,你知道哪些經濟學的辭彙?讓我們一起走進經濟學辭彙的世界! |

