需求價格
圖3
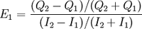
彈性點需求的價格彈性在經濟學中一般用來衡量需求的數量隨商品的價格的變動而變動的情況。假設Q為某個商品的需求,P為該商品的價格,則計算需求的價格彈性Ed為:
使用微積分:
c點彈性通常來說,因為商品價格的下跌會導致需求數量的增加,所以一般情況下需求的價格彈性係數為負數。經濟學家對此雖有所知,但是除了分析特別情況之外,並不對其感興趣。注意,公式前的負號除了保證所算出的數字為正,並無其他特別意義。
對於商品的不同彈性程度,有不同的稱呼(圖3、圖4):
1、當Ed=0:完全無彈性(perfectinelasticity)
2、當0<1:缺乏彈性、不富彈性,或無彈性(inelastic)
3、當Ed=1:單位彈性、單一彈性,或恆一彈性(unitelasticity)
4、當1<∞:富有彈性(elastic)
5、當Ed=∞:完全彈性或完全有彈性(perfectelasticity)
圖4
圖3影響需求彈性的因素:
1、替代品的多寡:以飲品市場為例,無百事可樂,有可口可樂。對百事的需求彈性自然高。
2、該物消費支出占總所得的比例:一本雜誌只售6-10元,占消費者的支出比例不大,需求彈性便低。
3、物品耐用性:物品耐用,即使加價,也可遲一些再買,所以彈性較高。
4、必需品或奢侈品。
5、一般情況下,必需品由於生活中不可缺少的,小量的價格變動不會引起需求急劇變動,因此被認為是缺乏彈性的,而奢侈品則是富有彈性的。
圖46、特例:理性消費者對商品的需求數量隨著其價格的上升而上升也是可能的。最典型的兩類商品為吉芬商品和凡勃倫商品。
需求價格彈性及其套用:
商品的需求量大小是受各種因素影響的,影響因素髮生變動,商品需求量也會隨之發生變動。商品種類不同,對各種影響因素變動反映的程度也各不相同。商品需求量變動對影響因素變動的反應程度可以通過商品需求彈性來加以分析和說明。商品需求彈性主要有:需求價格彈性,需求收入彈性和需求交叉彈性,它們所說明的問題和實際經濟學意義各有不同,具體用途也各不相同。
供給價格
圖5
供給的價格彈性有時候也被簡稱為供給彈性。它表示價格變動1%引起供給量變動的程度。供給價格彈性係數同需求的價格彈性一樣,也是由供給量變動的百分比與價格變動的百分比的比值確定。
根據經濟學中的供給定理,供給量與價格是同方向變動的,即該商品的價格變動的越大,企業的生產就會隨之變化。
供給的價格彈性的種類:供給的價格彈性可以根據es值的大小分為五種類型。es>1表示供給富於彈性;es<1表示供給缺乏彈性;es=1表示供給單一彈性或單位彈性;es=∞表示供給完全彈性;es=0表示供給完全無彈性。
現實經濟生活中,供給單一彈性、供給完全無彈性和供給完全富於彈性比較少見,大多數商品的供給不是富於彈性就是缺乏彈性。如一些不可再生性資源如土地的供給,以及那些無法複製的珍品的供給價格彈性等於零,而在勞動力嚴重過剩地區勞動力供給曲線具有完全彈性(無窮大彈性)的特點。
供給的價格點彈性可以用公式直接計算得出,也可以用幾何方法來求出。假定供給函式是非線性的,如圖所示,供給曲線上任一點A的點彈性可表示為線段CB與線段OB之比值,S為A點的切線。即A點的點彈性。
圖6圖6
從圖4中可以看出,如果A點的切線S在原點的的右端與橫坐標相交於C點,則線段CB小於線段OB,即說明A點的點彈性小於1;如果A′點的切線S′在原點的左端與橫坐標相交(如圖的A′點),則線段C′B′大於線段OB′,即說明A′點的點彈性大於一。所以,可以得出一般結論:
①若供給曲線上任一點的切線在原點的右端交於橫坐標,則在該點有es<1;
②若供給曲線上任一點的切線在原點的左端交於橫坐標,則在該點有es>1;
③若供給曲線上任一點切線過原點,則在該點有es=1。
可見,在供給函式為非線性的情況下,曲線上各點的彈性是不同的。如果供給函式是線性的(只要供給曲線不是向右下傾斜),則供給線上各點的彈性是相同的,其幾何意義非常直觀。即只要線性的供給曲線在原點的右端交於橫坐標,那么整條供給曲線上供給價格彈性都小於1;如果線性供給曲線在原點在端交於橫坐標,那么整條曲線上供給價格彈性都大於1;若線性的供給曲線過原點,則整條供給曲線上供給價格彈性都等於1。(見圖6)
需求收入彈性I-C曲線影響供給彈性大小的主要因素:
1、增加產量所需追加生產要素費用的大小。一般地說,若增加產量的投資費用較小,則供給彈性大;反之供給彈性小。
2、時間的長短。一般在短時期內,廠商只能在固定的廠房設備下增加產量,因而供給量的變動有限,這時供給彈性就小。在長期內,廠商能夠通過調整規模來擴大產量,這時供給彈性將大於同種商品在短期內的供給彈性。
需求的收入彈性
弧彈性對許多產品來說,消費者的收入是決定需求的一個重要因素。通常,它和價格、廣告費、信貸條件及需求曲線中的其它變數是同等重要的。對於奢侈品如外國造賽車、鄉村俱樂部成員資格、藝術珍品等,更是這樣。在另一方面,鹽、麵包、火柴等基本生活用品對消費者收入變化的反應是不大靈敏的。消費者收入不管如何變化,他們對這些商品的購買量總是相當穩定的。 任何給定物品的需求不僅受該物品價格的影響,而且受購買者收人的影響。收入彈性用於衡量物品需求量對於收入的敏感程度。其精確定義是:需求量變動的百分比除以收入變動的百分比。即表示在一定時期內當消費者的收入變化百分之一時所引起的商品需求量變化的百分比。
奢侈品如時裝、旅遊的收入彈性大於1,即收入增加1%而去求量增加超過1%;
必需品如糧食、鹽的收入彈性小於1而大於0,即需求量增加幅度不會超過收入增加的幅度;
劣質商品(不一定是質量低劣,而是消費層次很低的商品)的收入彈性小於0,隨著人們收入的上升需求量反而會下降。
弧彈性需求收入彈性的計算公式:
在影響需求的其他因素不變的條件下,需求的收入彈性是測定需求量的消費者收入變化反應程度的標準。如果利用微分方程,令I代表消費者收入,那么,點收入彈性將為:
弧彈性消費者收入與購買量一般是同向移動的。這就是說,消費者收入與產品銷售量成正相關,而不是逆相關。所以,以及E1,都是正值。少數低檔商品就不是這樣。例如,豆類、馬鈴薯等產品的需求隨消費者收入增加而減少,因為較貴的商品將取而代之。一般說,消費者對大多數產品的需求與其收入成正比關係,這些產品稱為正常商品或者高檔商品。
為了探討某一收入區間的收入彈性(不是點收入彈性),要用反映弧彈性關係的如下方程:
弧彈性
弧彈性此式用來衡量產品需求對消費者收入變化(從I1變到I2)的平均相對反應程度。對於大多數產品來說,收入彈性是正值。這表示:隨著經濟的發展和國民收入的增長,居民對產品的需求也會增加。不過,彈性係數的大小也很重要。舉例說,如果某種產品的E1=0.3,這就意味著,消費者收入每增加1%,他們對產品的需求僅增長0.3%。這樣,該種產品就不能保持它在國民經濟中的相對重要性。又如另一種產品的收入彈性為2.5,需求增長速度為收入增長的2.5倍。由此可見:如果某種產品的E11.0,該種產品的生產部門將在國民收入的增長額中得到一個超過比例的份額。 需求收入彈性的作用:
1、需求函式的收入彈性的研究對於企業及政府機構制訂方針政策都有重要意義。需求函式的收入彈性高的企業,在國民經濟上升期間有良好的發展機會,所以,對國民經濟活動的預測在它們制訂計畫時發揮重要的作用。而需求函式的收入彈性低的企業,對國民經濟活動水平的反應就沒那么靈敏了。這也有好處,因為後一類企業基本上不怕蕭條,但它們由於不能充分分享經濟成長的利益,可能進入別的部門去尋找較好的發展機會。
弧彈性2、收入彈性還能在企業的銷售活動中起重要的作用。如果人均收入或戶均收入被發現是決定某種產品需求的一個重要因素,這就可能影響產品銷售的區域與銷路的性質。收入彈性可能對廣告宣傳與其他推銷活動有影響。例如,許多提供高收入彈性商品的企業,致力於向商業界、法律界、醫療界等的年輕專業人員進行廣告宣傳,主要就是因為隨著這些人收入的增加,將來和他們做交易的可能性很大。 3、多少與此相似的另一個問題是住房問題。自第二次世界大戰結束以來,美國國會及歷屆總統均曾宣稱改善美國居民的住房條件是國家的主要目標之一。如果住房的收入彈性高,超過1.0,那么,改善住房條件自然成為繁榮經濟的副產品;而如住房的收入彈性低,增加的收入中只有一個相當小的份額花在住房上,那末,即使在經濟繁榮、收入增長的條件下,住房條件也不會有多大改善。在這種情況下,政府就需要直接採取行動(如供給公用住房、實行房租與利息補貼等),以便使住房條件提高到要求的水平。總之,不僅住房的收入彈性成了國家住房政策辯論中的一個重要論題,而且正是這些辯論大大地推動了經濟學界對收入彈性的理論與計量的研究。

