名稱
交叉價格彈性簡介
假定其他影響因素不變, 商品A的需求變化百分比和商品B的價格變化百分比之比.
相關財貨價格變動對商品需求的影響
若a財貨價格上漲 造成b財貨需求下降--->交叉彈性為負--->互為互補品
若a財貨價格上漲 造成b財貨需求上升--->交叉彈性為正--->互為替代品
它反映了相應於其他商品價格的變動,消費者對某種商品需求量變動的敏感程度,其彈性係數定義為需求量變動的百分比除以另外商品價格變動的百分比。交叉彈性係數可以大於0、等於0或小於0,它表明兩種商品之間分別呈替代、不相關或互補關係。
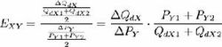
需求交叉彈性是需求交叉價格彈性(Cross-price elasticity of demand)的簡稱,它表示一種商品的需求量變動對另一種商品價格變動的反應程度。若以X、Y代表兩種商品,Exy表示需求交叉彈性係數,Py表示Y商品的價格,ΔPy表示Y商品價格的變動量,Qx表示X商品原來的需求量,ΔQx表示因Y商品價格的變動所引起的X商品需求量的變動量,則需求交叉彈性係數的一般表達式為:
需求交叉彈性可以是正值,也可以是負值,它取決於商品間關係的性質,即兩種商品是替代關係還是互補關係。具有互補關係的商品稱之為互補品,具有替代關係的商品稱之為替代品。
互補商品之間:Exy<0。對於互補商品來說,一種商品需求量與另一種商品價格之間成反方向變動,所以其需求交叉彈性係數為負值。比如照相機和膠捲,錄音機和磁帶等之間是功能互補性商品,它們之間的需求交叉彈性係數就是負值。一般情況下,功能互補性越強的商品交叉彈性係數的絕對值越大。
陝西省農村居民消費需求支出的價格彈性替代商品之間:Exy>0。對於替代商品來說,一種商品需求量與另一種商品價格之間成同方向變動,
所以其需求交叉彈性係數為正值。如茶葉和咖啡,桔子和蘋果等,這些商品之間的功能可以互相代替,其交叉彈性係數就是正值。一般來說,兩種商品之間的功能替代性越強,需求交叉彈性係數的值就越大。
此外,若兩種商品的交叉彈性係數為零,則說明X商品的需求量並不隨Y商品的價格變動而發生變動,兩種商品既不是替代品,也不是互補品。
需求
需求交叉價格彈性又叫需求交叉彈性,需求的交叉價格彈性是指某種其他物品的價格每變化1%,會使該物品的需求量變化百分之幾,由這個概念可以推導出替代品、互補品這兩個經濟學中的重要概念。
交叉價格彈性公式概念
當兩種商品之間存在著替代或互補關係時,一種商品的價格變動會對另一種商品需求量產生交叉影響,把一種商品的需求量對於另一種商品價格變化的反應程度叫做需求的交叉彈性,即通常把一種商品需求量變動的百分比除以另一種商品價格變動的百分比叫做需求的交叉彈性。
定義式
中國電力的需求價格彈性其中:
中國電力的需求價格彈性EXY表示需求的交叉價格彈性
QdX表示X商品的需求量
ΔQXd表示X商品的需求量的變動量
PY表示Y商品的價格
ΔPY表示Y商品價格的變動量
計算公式
交叉價格彈性弧彈性弧彈性中Py=(Py1+Py2)/2
QX=(Qx1+Qx2)/2
種類
1、EXYφ0:表示X商品的需求量與Y商品的價格正相關,則X與Y為替代商品
2、EXYπ0:表示X商品的需求量與Y商品的價格負相關,則X與Y為互補商品
作用
1、根據需求交叉彈性值域分析,可以判定Exy>0的商品是互相替代商品,Exy的值越大,商品之間的替代性越強,Exy值越小,商品之間替代性越弱。Exy交叉關係。
缺乏需求價格彈性的物品2、可以把|Exy|較大的若干種商品集中在一起組成一種工業或形成一種商店來進行生產和經營,常常會收到較高的經濟效益。
缺乏需求價格彈性的物品3、握了需求交叉彈性的理論和方法,有利於企業制定自身產品的價格策略。特別是對於某些大型企業,往往擁有多條生產線,同時生產相互替代或相互補充的產品,用需求的交叉彈性分析各種產品之間的風險問題,從整體目標出發,統籌規劃,協調好交叉產品的行銷策略是十分必要的。例如,柯達及時放棄了傻瓜相機的專利和技術的損失,總收益卻從柯選膠捲的空前旺銷、穩銷中得到朴償,為公司求得了長期穩定的盈利。
4、也可以利用需求的交叉彈性測定各部門之間的產品交叉關係,制定正確的產品競爭策略。例如,70年代末期,汽車業競爭加劇,美國的“通用”和日本的“豐田”在生產經濟車方面競爭十分激烈。以生產小型、廉價、高技術的紳寶——“經濟車”的小公司,也面臨抉擇,要么改為生產汽車配件,要么繼續生產“經濟車”,要么爭取生產“昂貴車”。紳寶公司通過對“昂貴車”的市場調查,分析預測出“昂貴車”的需求價格彈性以及相對於各種“經濟車”的需求交叉彈性,1979年推出全新的SAAB9O00型蝸輪增壓“昂貴車”,在與美國“通用”和日本“豐田”等“經濟車”檄烈的市場競爭中取得勝利,1983年的銷售增長率達42%,成為所有汽車行業中銷售增長率最高的一家。小公司以少量的財力、生產能力卻在激烈的市場競爭中脫穎而出,其原因之一就是受益於需求的交叉彈性理論和方法。
5、激烈的市場競爭中,需求的交叉彈性信息可以為企業的價格競爭策略提供依據。比如“長虹”廠商在考慮降價策略時,一定需要估測到它的替代產品諸如“TCL”、“海信”、“康佳”等廠商可能產生的反響,並進一步分析預測對手的反應如何對自己銷售所產生的影響,從而判斷自己降價策略是否可行。“飲水機”製造業很想知道“純淨水”的降價對“飲水機”的需求量有多大的促進作用,從而考慮對“純淨水”生產廠家是否應給予一定的支持。
供給信息
價格彈性
圖1供給價格交叉彈性有時候也被簡稱為供給彈性。它表示價格變動1%引起供給量變動的程度。供給價格彈性係數同需求的價格彈性一樣,也是由供給量變動的百分比與價格變動的百分比的比值確定。
根據經濟學中的供給定理,供給量與價格是同方向變動的,即該商品的價格變動的越大,企業的生產就會隨之變化。供給的價格彈性可以根據es值的大小分為五種類型。es>1表示供給富於彈性;es<1表示供給缺乏彈性;es=1表示供給單一彈性或單位彈性;es=∞表示供給完全彈性;es=0表示供給完全無彈性。(如圖2)
現實經濟生活中,供給單一彈性、供給完全無彈性和供給完全富於彈性比較少見,大多數商品的供給不是富於彈性就是缺乏彈性。如一些不可再生性資源如土地的供給,以及那些無法複製的珍品的供給價格彈性等於零,而在勞動力嚴重過剩地區勞動力供給曲線具有完全彈性(無窮大彈性)的特點。
供給的價格點彈性可以用公式直接計算得出,也可以用幾何方法來求出。假定供給函式是非線性的,如圖所示,供給曲線上任一點A的點彈性可表示為線段CB與線段OB之比值,S為A點的切線。即A點的點彈性(如圖1)。
從圖1中可以看出,如果A點的切線S在原點的的右端與橫坐標相交於C點,則線段CB小於線段OB,即說明A點的點彈性小於1;如果A′點的切線S′在原點的左端與橫坐標相交(如圖的A′點),則線段C′B′大於線段OB′,即說明A′點的點彈性大於一。所以,可以得出一般結論:
圖2①若供給曲線上任一點的切線在原點的右端交於橫坐標,則在該點有es<1;
②若供給曲線上任一點的切線在原點的左端交於橫坐標,則在該點有es>1;
③若供給曲線上任一點切線過原點,則在該點有es=1。
圖2可見,在供給函式為非線性的情況下,曲線上各點的彈性是不同的。如果供給函式是線性的(只要供給曲線不是向右下傾斜),則供給線上各點的彈性是相同的,其幾何意義非常直觀。即只要線性的供給曲線在原點的右端交於橫坐標,那么整條供給曲線上供給價格彈性都小於1;如果線性供給曲線在原點在端交於橫坐標,那么整條曲線上供給價格彈性都大於1;若線性的供給曲線過原點,則整條供給曲線上供給價格彈性都等於1。
影響因素
1、增加產量所需追加生產要素費用的大小。一般地說,若增加產量的投資費用較小,則供給彈性大;反之供給彈性小。
2、時間的長短。一般在短時期內,廠商只能在固定的廠房設備下增加產量,因而供給量的變動有限,這時供給彈性就小。在長期內,廠商能夠通過調整規模來擴大產量,這時供給彈性將大於同種商品在短期內的供給彈性。
壟斷型企業
交叉價格彈性一、壟斷企業的理論基礎
理論上說,壟斷企業應具備三大要素:(1)是市場中某種產品唯一的供應者,並且沒有任何替代品;(2)由於其面對的需求曲線也即是該產品的總需求曲線,壟斷企業具有對該產品價格的完全控制權;(3)該行業具有很高的進出壁壘,以致於任何一個企業(行業內和行業外)都無法進入或退出。
經濟學家普遍認為壟斷對於市場效率的作用是消極的,這主要源於行業中由於在壟斷條件下,廠商能夠從自身收益最大化(MR=MC)出發,以高於邊際成本的價格(P>MC)在市場上進行銷售,使市場均衡銷售量降低,從而偏離了帕累托最優狀態,使市場效率降低。在上世紀出現的產業組織理論(TheTheoryofIndustrialOrganization)中,對產業內部企業之間的關係作了一系列分析,而壟斷理論的研究也是產業組織理論中非常重要的一環。產業組織理論的先驅,英國經濟學家馬歇爾在其1890年問世的《經濟學原理》中首次提出了除勞動、資本、地租之外的第四要素——組織,其中就觸及了產業組織中的壟斷問題。
交叉價格彈性20世紀30年代初的西方經濟危機更加迫切地促使新經濟理論的誕生,英國劍橋大學經濟學家瓊·羅賓遜和美國哈佛大學教授張伯倫幾乎同時推出了研究壟斷問題的專著,修正了古典經濟學中自由競爭市場的條件,對壟斷與競爭的關係進行了深入的研究,從而奠定了產業組織理論的基礎。到1959年貝恩出版《產業組織》為止,哈佛學派已經形成了系統的產業組織理論,即S—C—P範式(市場結構一市場行為一市場績效),也是一個靜態(基礎)一動態(行為)一靜態(結果)的過程。在SCP模式下,市場的壟斷程度是決定市場結構的基礎,從而影響著市場行為的走向和市場績效的高低。
二、企業壟斷程度的衡量標準
在現實資本主義市場上,完全競爭市場和完全壟斷市場幾乎都是不存在的,更為普遍存在於各行業的是壟斷競爭市場與寡頭競爭市場。因此在SCP框架下,對產業市場壟斷程度的衡量就成為對該市場結構進行分析的基礎。在產業組織理論的發展中,逐步推出了一系列指標對壟斷程度進行衡量,其中包括兩大部分:衡量單個企業壟斷勢力的指標和衡量市場壟斷程度的指標。
(一)單個企業壟斷程度指標
1、勒納指數(LemerIndex)的計算公式為:IL=(P—MC)/P其中P為價格,MC為邊際成本。勒納指數實際上反映了價格與邊際成本的偏離程度,I越大,說明價格與邊際成本的偏離(高於)程度越高,壟斷程度越大。
2、貝恩指數(BainIndex)的計算公式為:IB=(P—AC)/P
交叉價格彈性貝恩指數與勒納指數類似,只是將其中的邊際成本MC改成了平均成本AC,作為衡量單個企業壟斷程度的指標。貝恩指數還反映了壟斷企業的超額利潤,比勒納指數更容易得出,也更能反映壟斷所產生的績效。
(二)市場壟斷程度指標
衡量市場壟斷程度的指標主要有集中度(ConcentrationRatio,CRn)、洛倫茲曲線和基尼係數、赫芬達爾指數(HerfindahlIndex)、交叉彈性(CrossElasticity)等。這些指數均以行業內最大的若干家廠商為計算對象,指數越大,市場壟斷程度越大(交叉彈性除外)。集中度以市場中最大的4家或8家廠商所占的市場份額來計量,在一定程度上反映了市場的壟斷程度,但是由於它在數據採集的可行性和其他因素考慮上的不足,其套用受到一定局限性。赫芬達爾指數等於各個企業市場占有率的平方和。其採樣範圍涵蓋了整個行業的所有企業,因此具有更大的廣泛性,能夠更好地反映市場集中度。與其他指數不同,交叉彈性指數反映的是兩種相關產品之間的替代性和互補性,替代性越大,則競爭性越強。供給交叉價格彈性=(X廠商提供的X產品數量變動%)/(Y產品的價格變動%)
經濟學知識(六)
| 處在經濟飛速發展的時代,你知道哪些經濟學的辭彙?讓我們一起走進經濟學辭彙的世界! |

