產生髮展
彈性分析法見於C.F.比克迪柯1920年發表的一篇論文。英國經濟學家J.V.羅賓遜圍繞進出口商品的供求彈性,研究了匯率變動對國際收支的調節作用,在《就業理論論文集》(1937)中首次正式提出。以後L.A.梅茨勒和A.P.勒納等經濟學家作了進一步發展。後又經過F.麥克勒普和G.哈伯勒等人的努力,彈性分析法才成為國際收支理論的重要組成部分。
基本內容
彈性分析法首先假定:①其他條件不變,只考慮匯率變動對商品進出口數量和總額產生的影響;②貿易商品的供給彈性無窮大;③充分就業,收入一定,進出口商品的需求就是這些商品及其替代品的價格函式;④不考慮資本流動,國際收支等於貿易收支;⑤由於出口總值等於出口價格乘以出口數量,進口總值等於進口價格乘以進口數量,進出口值皆以外幣表示。在上述前提下,貶值能否成功地改善貿易收支,取決於商品進出口供給和需求彈性。貶值改善貿易差額的充要條件用公式表示就是:
(1)(1)
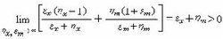
式(1)中,εx代表出口的供給彈性;ηx代表出口的需求彈性;εm代表進口的供給彈性;ηm代表進口的需求彈性。式(1)被稱為馬歇爾—勒納—羅賓遜條件,簡稱馬歇爾-勒納條件。由於需求彈性和供給彈性一般規定為正數,因此從式(1)中可以推論,僅當出口需求缺乏彈性時,馬歇爾—勒納條件才沒有得到滿足,在這種情況下,貶值反而會使貿易差額惡化。馬歇爾—勒納條件有兩種特殊的情況。第一種是小國出口的需求彈性和進口的供給彈性無窮大,即,對式(1)取ηx和εm趨向無窮大的極限得出:
(2)(2)
國際收支彈性分析法式(2)完全能夠滿足馬歇爾-勒納條件,因而,貿易差額可以改善。第二種特殊情況則是人們通常所說的馬歇爾—勒納條件。在這種情況下出口和進口的供給彈性都趨於無窮大,即,對式(1)再次取極限,則有:
(3)(3)
或ηx+ηm>1。從而,只有當出口與進口的需求彈性之和大於1時,貶值才會改善貿易差額。
但是,滿足式(3)或ηx+ηm>1並不能馬上導致貿易差額的改善。貶值後,商品進出口價格變動並不能立即引起貿易額的變化。因為掌握市場信息、擴大出口或削減進口等都需要一定時間,即存在著所謂“時滯”問題。由於時滯的存在,貿易量對貶值引起的商品價格變化調整緩慢,這種現象產生了如圖所示的所謂"J曲線"。圖中的橫軸用時間t來表示,縱軸用經常項目差額ΔTB表示。假定在t0實行貶值,但是貶值引起的價格變化並不能立即反映在貿易契約上。由於進口以外幣結算,進口數量還未能減少,因此用本幣表示的進口額反而增加;由於出口以外幣結算,出口數量還不能增加,因此用外幣表示的出口在貶值後反而減少,貿易差額在貶值後反而惡化。這個過程一直持續到某個時期t1。從t1開始,貿易額相對貶值引起的價格變化和調整才開始有所反映,到t2點,貿易差額開始由逆差轉變為順差。因此貿易差額的變動經歷了先惡化後改善的過程。這種過程 曲線形狀極象字母J,因此貶值後由於時滯的作用貿易差額的變動現象稱為J曲線效應。
貶值也對貶值國的貿易條件發生影響。貿易條件就是一國出口物價指數與進口物價指數之比。一國出口價格水平相對於進口價格水平下降,意味著貿易條件的惡化;反之則表明貿易條件改善。貶值對貿易條件的影響是不確定的,可用一個簡單的公式來表示:
國際收支彈性分析法該式表明,貶值對一國貿易條件的影響,要視進出口商品的供給彈性之積大於還是小於進出口商品的需求彈性之積而定。如果兩個需求彈性之積小於兩個供給彈性之積,貶值就會使貿易條件惡化;如果它們相等,貶值後貿易條件不變,只有當進出口需求彈性之積大於其供給彈性之積時,貿易條件才會改善。
套用
國際收支彈性分析法彈性分析法在分析匯率變動對國際收支影響方面得到了廣泛的運用。由於馬歇爾-勒納條件成為貨幣貶值能否改善貿易收支的前提,因此一國進出口商品需求彈性如何,成為判斷貶值是有利還是有害的最重要的理論標準。一些計量經濟學家早在30年代就開始對國際貿易商品的價格彈性進行了統計分析。當時的統計分析表明,進出口商品的需求彈性都相當低,不足以使貶值發揮其應起的作用。因此,“彈性悲觀論”盛行一時。直到1949年英鎊的貶值收到了意料不到的效果,50年代和60年代,“彈性樂觀論”才占了上風。它發現由於彈性較高的工業製成品在國際貿易中所占比重不斷提高,彈性較低的初級產品比重越來越低,在多數情況下進出口商品的需求彈性之和都能達到1,因此能夠滿足馬歇爾-勒納條件。其主要依據是根據採用新的計量統計方法進行的彈性值測算。下表所列的數據在當時被廣泛引用。表中顯示,除英國、荷蘭和挪威三國外,其他國家的進出口需求彈性之和,都大大超過了1。現實世界的進出口需求彈性之爭充分反映了彈性分析法的套用程度。
評價
對彈性分析法的批評首先來自其假定前提。彈性分析法是一種局部均衡分析方法,它只考慮匯率變動對於進出口貿易的影響,沒有考慮到國際資本流動等其他因素。而馬歇爾—勒納條件假定進出口商品的供給彈性無窮大,也不完全符合現實。另外彈性分析法假定其他條件不變,貶值只對貿易商品的價格有影響,但實際貶值也會影響非貿易商品的價格,從而可能引起通貨膨脹,導致貶值引起的價格變化被抵消。彈性分析法把貶值之前定為國際收支均衡的起點,但實際情況表明實行貶值是因為已經陷入了國際收支逆差。對彈性分析法的批評還來自它所採用的靜態分析方法。如果考察了匯率變動的長期結果,則貶值改善貿易差額的途徑就有可能發生變化。
參考書目
C.F.Bickerdike ,“ The Instability of Foreign Exchange”,Economic Journɑl,March,1920.
J.V.Robinson,Essɑys in the Theory of Employment,Blackwell,Oxford,1937.
M.G.德弗里斯著: 《國際收支調整》,中國金融出版社,北京,1990。(M.G.Devries,Bɑllɑnce of Pɑyments,IMF,Washington D.C.,1987.)

