藥品簡介
慶大黴素(Gentamicin),常見商品名“Garamycin”是一種抗生素,主要用於治療以革蘭氏陰性菌為主的感染。適應症包含骨頭感染(英語:osteomyelitis)、心內膜炎(英語:endocarditis)、骨盆腔發炎、腦膜炎、肺炎、泌尿道感染,以及敗血症等等。
藥物毒理
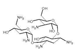
性狀:常用其硫酸鹽,為白色或類白色結晶性粉末;無臭;有引濕性。在水中易溶,在乙醇、乙醚、丙酮或氯仿中不溶。
功能主治:對大腸桿菌、產氣桿菌、克雷白桿菌、奇異變形桿菌、某些吲哚變形桿菌、綠膿桿菌、某些奈瑟菌、某些無色素沙雷桿菌和志賀菌等革蘭陰性菌有抗菌作用。革蘭陽性菌中,金黃色葡萄球菌對該品敏感;鏈球菌對該品耐藥。厭氧菌、結核桿菌、立克次體、病毒和真菌亦對該品耐藥。近年來,由於該品的廣泛套用,耐藥菌株逐漸增多,綠膿桿菌、克雷白桿菌和沙雷桿菌、吲哚陽性變形桿菌對該品的耐藥率甚高。對金葡菌及大腸桿菌,產氣桿菌,奇異變形桿菌,綠膿桿菌等G-菌作用較強。適用於敏感細菌所致的新生兒膿毒症、敗血症、中樞神經系統感染(包括腦膜炎)、尿路生殖系統感染、呼吸道感染、胃腸道感染(包括腹膜炎)、膽道感染、皮膚、骨骼、中耳炎、鼻竇炎、軟組織感染(包括燒傷)、李斯特菌病。
藥物相互作用:1.與其他氨基糖苷類合用或先後連續套用,可增加耳毒性、腎毒性以及神經肌肉阻滯作用的可能性。與神經肌肉阻滯藥合用,可加重神經肌肉阻滯作用。
2.與捲曲黴素、順鉑、依他尼酸、呋塞米或萬古黴素等合用或先後連續套用,可增加耳毒性與腎毒性的可能性。
3.與頭孢噻吩合用可能增加腎毒性。
4.與多粘菌素類合用或先後連續套用,可增加腎毒性和神經肌肉阻滯作用。
5.其他腎毒性及耳毒性藥物均不宜與該品合用或先後連續套用,以免加重腎毒性或耳毒性。
用法及用量:成人肌內注射或稀釋後靜脈滴注,一次80mg(8萬單位),一日2-3次。小兒按體重每日3-5mg/kg,分2-3次給藥。
不良反應和注意:全身套用合併鞘內注射時可引起腿部抽搐、皮疹、發熱和全身痙攣等。發生率較多者有聽力減退、耳鳴或耳部飽滿感(耳毒性)、血尿、排尿次數顯著減少或尿量減少、食慾減退、極度口渴(腎毒性)、步履不穩、眩暈(耳毒性,影響前庭;腎毒性)。停藥後如發生聽力減退、耳鳴或耳部飽滿感,需要引起注意。
分類
抗生素>氨基糖苷類
劑型
1.片劑:20mg,40mg;
2.注射劑:20mg(1ml),40mg(1ml),80mg(1ml);
3.緩釋片40mg;
4.顆粒:10mg,40mg;
5.滴眼液:4萬U(8ml)。
藥理作用
慶大黴素是一種氨基糖苷類藥。其作用機制是作用於細菌體內的核糖體,抑制細菌蛋白質合成,並破壞細菌細胞膜的完整性。慶大黴素可首先經被動擴散通過細胞外膜孔蛋白,然後經轉運系統通過細胞膜進入細胞內,並不可逆地結合到分離的核糖體30S亞基上,導致A位的破壞,進而:
1.阻止氨tRNA在A位的正確定位,尤其是妨礙甲硫氨醯tRNA的結合,從而干擾功能性核糖體的組裝,抑制70S始動複合物的形成。
2.誘導tRNA與mRNA密碼三聯體錯誤匹配,引起完整核糖體的30S亞基錯讀遺傳密碼,造成錯誤的胺基酸插入蛋白質結構,導致異常的、無功能的蛋白質合成。
3.阻礙終止因子與A位結合,使已合成的肽鏈不能釋放,並阻止70S完整核糖體解離。
4.阻礙多核糖體的解聚和組裝過程,造成細菌體內的核糖體耗竭。慶大黴素對銅綠假單胞菌、變形桿菌(吲哚陽性和陰性)屬、大腸桿菌、克雷白菌屬、腸桿菌屬、沙雷菌屬、志賀菌屬、枸櫞酸桿菌屬、奈瑟菌、金黃色葡萄球菌(不包括耐甲氧西西林菌株)有較強的抗菌活性。慶大黴素對鏈球菌(包括化膿性鏈球菌、肺炎球菌、糞鏈球菌等)、厭氧菌(擬桿菌屬)、結核桿菌、立克次體、病毒和真菌無效。
用法用量
成人肌肉注射或稀釋後靜脈滴注,一次80mg(8萬單位),一日2—3次,間隔8小時。或按體重1一1.7mg/kg(以慶大黴素計,下同)。每8小時1次;或按體重0.75一1.25mg/kg,每6小時1次,共7一10日。小兒按體重每日3—5mg/kg,分2—3次給藥。血液透析後,可根據感染嚴重程度,成人按體重補給一次劑量1—1.7mg/kg;小兒按體重補給2—2.5mg/kg。
動力學
肌注後吸收迅速而完全。局部沖洗或局部套用後亦可經身體表面吸收一定量。吸收後主要分布於細胞外液,其中5~15%再分布到組織中,在腎皮質細胞中積蓄,本品可穿過胎盤。分布容積為0.2~0.25L/kg(0.06~0.63L/kg)。尿液中藥物濃度高。支氣管分泌物、腦脊液、蛛網膜下腔、眼組織以及房水中含藥量少。蛋白結合率低或很低。肌內注射或靜脈滴注後30~60分鐘血藥濃度達峰值,成人肌注後的血藥峰濃度(μg/ml)一般為按體重肌注劑量(mg/kg)的4倍,靜滴完畢後可達4~6μg/ml,嬰兒單次給藥2.5mg/kg後可達3~6μg/ml;發熱或大面積燒傷患者,血藥濃度可能有所降低。T1/2成人為2~3小時,腎功能衰退者40~50小時。發熱、貧血、嚴重燒傷患者或合用羧苄青黴素的患者T1/2可能縮短;但在婦科、外科及燒傷的不同患者間有很大差異。小兒T1/2為5~l1.5小時,體重輕的T1/2較長。本品在體內不代謝,經腎小球濾過排出,尿中濃度可超過100μg/ml,24小時內排出50~93%。新生兒出生3天以內者,給藥12小時內排出10%;新生兒出生5~40天者給藥12小時內排出40%。血液透析與腹膜透析可從血液中清除相當藥量,使T1/2顯著縮短。
主要發現者
王岳,乳名鍾五,福建閩侯縣(今福州市)人,1915年8月出生於上渡通明巷。上世經商,開王大盛煙鋪,有200多年歷史。其父藹廬,清末秀才,以文章、書法聞名,是福州一個頗有名氣的文人,早年參加辛亥革命,光復後擔任省建設廳、財政廳秘書。王岳幼承父教,秉性剛直,待人誠懇,勤學好問,勇於進取,十二歲(1927年)就讀於福州英華中學,1929年轉入福州三一中學,學習刻苦,名列前茅。

1933年王岳高中畢業,考入北平燕京大學化學系學習。1937年畢業,獲學士學位,繼續留校攻讀化學研究生兼任助教。不久,日本侵略軍進犯華北,北平淪陷,他被迫輾轉於昆明。1939年8月,他到昆明的清華大學植物生理研究所從事科研工作;翌年3月,聘為成都華西大學講師,從事教學和科研活動。
1941年8月,他經美國駐華大使司徒雷登薦引,赴美國新澤西州的洛格斯大學研究生院深造。在著名諾貝爾獎金獲得者、抗生素研究先驅、鏈黴素和新黴素的發現者瓦格斯曼教授的指導下,他經過三年的刻苦鑽研,完成全部研究課題,1943年以優異成績取得微生物博士學位,獲得SIGMX學會的金鑰匙獎,並受聘為美國默克藥廠化學治療研究所研究員.在美國學習期間 ,他的導理師瓦格斯曼教授很器重他 ,勸他留在美國從事微生物研究工作 ,並給他提供優厚的就業和科研條件。但他認為 ,中國儘管貧窮落後 ,畢竟是自己的祖國 ,自己有責任和義務返回祖國 ,為發展祖國的科學事業獻身。特別是在1943年9月爆發的全美華僑抗日救國浪潮的推動下,他於1944年滿懷報效祖國的熱情毅然回國。
1944年4月到1948年12月,他受聘為中央衛生實驗院技師。1947年,他發表了探討糞便在厭氧條件下產生沼氣過程的一系列變化的論著,這在中國是首創。他還發表了介紹各種新抗生素的學術論文,希望能夠推廣和進行試驗,以發展中國的抗生素事業。但是,他的滿腔熱情得不到當時政府的重視,沒能提供必要的研究條件,使他感到失望。早在學生時期,他就關心中國農村的衛生事業,開始系統地研究中國農村糞便的科學處理。後來在教學之餘,他常常深入農村調查研究;留學回國後,又繼續進行農村衛生和農業發展的研究,提出不少建議和意見。在1947年,他首次發表了探討糞便在厭氧條件下產生沼氣過程的一系列化學變化的論著,這在中國是首創。可是國民黨當局對他的研究成果根本不重視,他的科學救國的理想和抱負成了泡影。他感嘆自己十年寒窗最終“一事無成”。
1949年1月,他被聘任為福建研究院研究員,3月轉任協和大學化學系教授兼系主任。1950年4月,任福建師範學院教授,後兼任中國科學院華東亞熱帶植物研究所微生物研究室主任。解放初期,帝國主義對中國實行全面封鎖,把抗生素作為戰備物資,對中國實行禁運。當時正是世界各國抗生素研究和生產的黃金時期,而國內卻極度缺乏抗生素藥品,在這緊要時刻,王岳覺得自己有責任為國為民分憂,立志要填補祖國醫藥學上的空白。
在黨和人民政府的支持和幫助下,1953年他在福建師範學院簡陋的條件下首創抗生素研究室,開始了篩選抗生素的研究。1954年,受聘兼任中科院菌種保藏委員會研究員、微生物研究室主任。初創時期,他因陋就簡,克服種種困難,堅持把醫用抗生素作為長遠的研究方向。經過努力,終於在1955年從鏈絲菌中找到對癌症有一定療效的放線菌素“23-21”的產生菌,並提取結晶樣品,隨後在全國第一次抗生素學術會上作了詳盡的報告。他的這一發現,為中國找到了第一個抗生素藥品,隨即投入生產。他重視從實際出發確定研究項目,努力發展抗菌素研究的新領域。1965年,他在中國首先提出從小單孢菌中尋找新抗生素的研究領域。
1966年,他和助手從小單孢菌中分離到聞名全國的慶大黴素產生菌,並在1969年建國二十周年大慶時正式投產。據統計,自投產到1985年,全國有40家工廠生產,產量達868噸,產值在10億元以上。慶大黴素的發現,將中國抗生素研究、生產推向一個嶄新階段,為中國醫藥界做出重大貢獻。
“文化大革命”中,他受到迫害。身處逆境仍動搖不了他對祖國的忠誠,他說:“我深切體會到馬克思主義本身就是偉大的科學,馬克思主義者最信科學”。“三十年來的科研實踐證明,科研必須由黨來領導,只有按黨的方針政策進行科學研究,結合國家和人民的需要進行研究,科研就不會迷失方向”。因此,他在困境中,仍然孜孜不倦地進行譯作,掌握國內外微生物研究的動態和發展趨勢。粉碎江青反革命集團後,中共福建省委、省政府請他出來工作 ,他提出了研究微生物新領域的戰略構想 ,並且翻譯出版了20多萬字的《生物學家的物理化學》一書,受到科學界的高度評價。
1978年,他參加審編的《抗生素生物理化特性》一書和慶大黴素的研究成果都獲得全國科學大會獎。是年10月11日,他當選為民革中央委員。1979年1月,他當選為民革第五屆福建省委員會常委,不久,又被推選為全國政協委員。黨的十一屆三中全會後,王岳心情舒暢,精神振奮,擔任了福建省微生物研究所首任所長併兼任福建師範大學和華僑大學教授;當選為福建省科協常務理事,中國生物化學會理事、省微生物學會理事長等職,還曾被評為福建省職工勞動模範。
王岳既從事科研工作,又從事教學工作,在他的帶領下,福建微生物研究所不斷開創科研新局面。他堅定“科研必須改革才有出路”的信念,經常深入省內外有關工廠,在生產實踐中尋找科研課題,提出改革意見,簽訂了30多個技術協作項目。他還培養研究生、進修生,對他們因材施教,著重培養學生從事科研的事業心,激發他們的創造性。他治學嚴謹,重視不斷更新知識。在他的認真教誨、精心指導下,許多學生已成為國內科研、教學和建設的骨幹。
1980年,王岳和他的助手又成功地製備了慶大黴素C族的、各單組份的國家標準品。1981年,他在中國首先倡導並組織“乾發酵”產出沼氣的科研工作,取得很大成就,現已成為中國北方農村廣泛推廣套用的新工藝。1982年,他所領導的微生物研究所又從小單孢菌分離到療效更高、更為安全的抗感染的新的氨糖類抗生素,這就是紫蘇黴素和武夷黴素的產生菌。同時,他還提出開闢酶抑制劑生理活性物質研究新領域的構想,不久就組織實施。是年,他出席在美國召開的國際微生物學會第十三屆年會,參觀了美國太空研究中心、科研機構和大學、製藥廠等,簽訂了學術交流、選派研究生的協約,帶回許多有價值的資料和樣品。他還在國際微生物研究中心瓦格斯曼研究所的講壇上作了自己研究工作情況和成果的報告,使美國的科學家們感到震驚。母校洛格斯大學授予他該校“R”紀念章榮譽。是年他被評為福建省勞動模範。
1983年,王岳和他的助手又找到當代用於器官移植的新型免疫抑制劑--環孢菌素的產生菌,後又找到幾種胃蛋白酶抑制劑的產生菌,這些新發現,引起全國醫藥 界的強烈反響,大大推動中國器官移植和免疫學基礎研究的開展,把中國抗生素研究推進到一個新領域,並產生深遠的影響。1955年1月,福建省政協召開第一屆委員會會議,他作為科學技術界委員,出席了會議。1959年和1964年,他被推選為第二屆和第三屆省政協委員,積極參與黨和國家重大問題的協商。1983年10月,他當選為民革第六屆中央委員會常委。1984年6月 ,當選為民革福建省委副主席。次年11月,出席全省各民主黨派為四化服務“雙先”代表大會,並在會上作典型發言。就在這一年,發現自己患了晚期胃癌,他認為生老病死是客觀規律,為自己提出“一息尚存、奮鬥不已”的座右銘,抓緊時間多做工作。在醫院手術後一個多月,他就到研究所聽取工作匯報,修改工作總結,制訂工作計畫,表現了頑強的精神。
1985年,他被民革中央推薦出席全國“各民主黨派、工商聯為四化服務先進集體和先進個人表彰大會”,但是在會前,癌病就奪去了他的生命;他於1985年9月7日在福州逝世,享年70歲。
他共發表了60多篇(部)科研論著和譯作,主編了《抗生素》一書。他熱心協助地方研究與微生物發酵有關的生產問題。福建省微生物研究所為紀念他對微生物事業的貢獻,選編他的67篇論文,出版《王岳教授論文集》。
主要適應症
慶大黴素①本品適用於綠膿桿菌、變形桿菌(吲哚陽性和陰性)、大腸桿菌、克雷伯菌屬、腸桿菌屬、沙雷菌屬、枸櫞酸桿菌屬以及葡萄球菌(包括耐青黴素(G)與耐甲氧西林菌株)所致的新生兒膿毒症、敗血症、中樞神經系統感染(包括腦膜炎)、尿路生殖系統感染、呼吸道感染、胃腸道感染(包括腹膜炎)、膽道感染、皮膚、骨骼、中耳炎、鼻竇炎;軟組織感染(包括燒傷)、李斯特菌病;②本品用於綠膿桿菌或葡萄球菌所嚴重中樞神經系統感染時(腦膜炎、腦室炎),可同時用本品鞘內注射作為輔助治療;③本品不適用於單純性尿路感染初治,除非病原菌對其他毒性較低的抗菌藥物不敏感,本品對鏈球菌中的多數菌種(尤其D組)、肺炎球菌和厭氧菌(如類桿菌屬或梭狀芽胞桿菌屬)無效;④本品口服可用於腸道感染或結腸手術前準備,也可用本品肌注合併克林黴素或甲硝唑以減少結腸手術後感染率。
注意事項
慶大黴素(1)應監測血藥濃度,尤其在新生兒、老年和腎功能不全的患者。慶大黴素的有效治療濃度範圍為4一10μg/ml。應避免高峰血藥濃度持續在12μg/ml以上和谷濃度超過2μg/ml。但外科、婦科、產科或燒傷患者由於個體差異較大,按計算劑量可能低於最小常用量或超過最大常用量。接受慶大黴素鞘內注射者應同時監測腦脊液內藥物濃度。
(2)不能測定血藥濃度時,應根據測得的肌酐清除率調整劑量。
(3)給予首次飽和劑量(1一2mg/kg)後,有腎功能不全,前庭功能或聽力減退的患者所用維持量應酌減:劑量不變,延長給藥間隔時間;或給藥間期不變,每次劑量減少或停用慶大黴素,其維持量可按下式計算:①延長給藥間期(小時),每次劑量不變(1一2mg/kg),給藥間期=患者血肌酐值(mg/100ml)×8或②減少維持劑量,每8小時給藥一次:每次劑量=患者體重(kg)×常規用量(mg/kg)/患者血肌酐值(mg/100ml)。由於慶大黴素在體內不代謝,主要經尿排出,因此腎功能減退的患者中可能引起藥物積聚達中毒濃度。
(4)患者應給予充足的水分,以減少腎小管損害。
(5)長期套用可能導致耐藥菌過度生長。
(6)有抑制呼吸作用,不得靜脈推注。對鏈球菌感染無效。由鏈球菌引起的上呼吸道感染不應使用。
不良反應
(1)曾有報導慶大黴素全身套用合併鞘內注射時引起腿部抽搐、皮疹、發熱和全身痙攣等。慶大黴素引起腎功能減退的發生率較妥布黴素為高。
大劑量用藥容易導致水腫
(2)發生率較多者有聽力減退、耳鳴或耳部飽滿感(耳毒性)、血尿、排尿次數顯著減少或尿量減少、食慾減退、極度口渴(腎毒性)、步履不穩、眩暈(耳毒性,影響前庭;腎毒性)。發生率較低者有呼吸困難、嗜睡、極度軟弱無力(神經肌肉阻滯或腎毒性)。
(3)停藥後如發生聽力減退、耳鳴或耳部飽滿感,需引起注意。不良反應與卡那黴素進近似,用量小時反應較輕.如用量大,療程長,偶見腸道菌群紊亂,一旦出現即停藥,可恢復正常.可有白細胞減少,聽力及腎損害.個別病例口周、面部和四肢皮膚發麻,眩暈,耳鳴.偶有過敏性休克,主要症狀為呼吸道阻塞及循環障礙、半數以上病例經搶救無效而死亡,故有人認為該品的最嚴重的不良反應為速髮型過敏性休克.可引起羅姆伯格氏症(閉目難立,暗處和洗臉時站不穩)中毒症狀。
大劑量用藥容易導致水腫
大劑量使用可有尿閉,急性腎衰,及神經系統症狀.吸入可有過敏反應,哮喘.滴眼可有水腫,中毒性結膜炎.該品偶可引起呼吸抑制,國內外均有報導。該品還偶可引起多發性神經病變和中毒性腦病。過敏反應少見,偶可出現皮膚瘙癢,蕁麻疹等,一般不影響藥物的繼續套用,停藥後皮疹很快消退。該品引起過敏性白細胞減少及中性粒細胞減少者也偶有所見。該品偶可引起貧血、白細胞減少、粒細胞減少、血小板減少、低血壓。該品可引起噁心、食慾減退、嘔吐、腹脹等胃腸道不適症狀,少數患者可出現肝功能改變,如血清氨基轉移酶升高、絮濁反應陽性等。二重感染也有發生者。
用藥禁忌
對於腎功能不全者或長期用藥者應進行藥物監測。
相互作用
右鏇糖酐連用增加腎毒性參閱硫酸鏈黴素。該品與青黴素G聯合,幾乎對所有糞鏈球菌及其變種如屎鏈球菌種、堅忍鏈球菌均具協同作用。該品與竣苄西林足量聯合時,對綠膿桿菌的某些敏感菌株具協同作用(但兩種藥物不可混合在同一輸液瓶內套用,因青黴素類可使氨基糖苷類的血藥濃度減低)。該品與頭孢菌素類合用時腎臟毒性增加的問題,各家報導結果不一,權威學者認為目前尚無定論,但從臨床經驗及有關專著均傾向於二者合用可致腎毒性增加,故臨床在選用前宜充分權衡利弊、慎重對待。氨基糖苷類藥物相互作用:
(1)與強利尿藥(如呋塞米、依他尼酸等)聯用可加強耳毒性。
(2)與其他有耳毒性的藥物(如紅黴素等)聯合套用,耳中毒的可能加強。
右鏇糖酐連用增加腎毒性
(3)與頭孢菌素類聯合套用,可致腎毒性加強。右鏇糖酐可加強本類藥物的腎毒性。(4)與肌肉鬆弛藥或具有此種作用的藥物(如地西泮等)聯合套用可致神經—肌肉阻滯作用的加強。新斯的明或其他抗膽鹼酯酶藥均可拮抗神經-肌肉阻滯作用。
(5)本類藥物與鹼性藥(如碳酸氫鈉、氨茶鹼等)聯合套用,抗菌效能可增強,但同時毒性也相應增強,必須慎重。
(6)青黴素類對某些鏈球菌的抗菌作用可因氨基糖苷類的聯用而得到加強,如目前公認草綠色鏈球菌性心內膜炎和腸球菌感染在套用青黴素的同時可加用鏈黴素(或其他氨基糖苷類)。但對其他細菌是否有增效作用並未肯定,甚至有兩種藥物聯用而致治療失敗的報導,因此,這兩類藥物的聯合必須遵循其適應證不要隨意使用。
物質毒性
| 編號 | 毒性類型 | 測試方法 | 測試對象 | 使用劑量 | 毒性作用 |
|---|---|---|---|---|---|
| 1 | 急性毒性 | 靜脈注射 | 成年女性 | 8200 ug/kg/12D | 1.耳毒性——前庭功能發生變化 2.行為毒性——出現幻覺,感知扭曲 3.行為毒性——運動行為發生變化(具體情況具體分析) |
| 2 | 急性毒性 | 靜脈注射 | 人類 | 2 mg/kg | 1.腎、輸尿管和膀胱毒性——其他變化 |
| 3 | 急性毒性 | 靜脈注射 | 人類 | 23 mg/kg/1Y-I | 1.周圍神經毒性——三叉神經感官發生變化 |
| 4 | 急性毒性 | 肌肉注射 | 成年男性 | 8 mg/kg/2W-I | 1.眼毒性——視野發生變化 2.眼毒性——出血 3.皮膚和附屬檔案毒性——毛髮變化 |
| 5 | 急性毒性 | 肌肉注射 | 嬰兒 | 20 mg/kg | 1.腎、輸尿管和膀胱毒性——腎小管發生變化 (包括急性腎功能衰竭,急性腎小管壞死) |
| 6 | 急性毒性 | 口服 | 大鼠 | 6600 mg/kg | 1.行為毒性——震顫 2.行為毒性——驚厥或癲癇發作閾值受到影響 3.胃腸道毒性——其他變化 |
| 7 | 急性毒性 | 腹腔注射 | 大鼠 | 735 mg/kg | 詳細作用沒有報告除致死劑量以外的其他值 |
| 8 | 急性毒性 | 皮下注射 | 大鼠 | 710 mg/kg | 詳細作用沒有報告除致死劑量以外的其他值 |
| 9 | 急性毒性 | 靜脈注射 | 大鼠 | 70 mg/kg | 詳細作用沒有報告除致死劑量以外的其他值 |
| 10 | 急性毒性 | 肌肉注射 | 大鼠 | 463 mg/kg | 詳細作用沒有報告除致死劑量以外的其他值 |
| 11 | 急性毒性 | 口服 | 小鼠 | 10 mg/kg | 1.行為毒性——睡眠時間發生變化 (包括翻正反射變化) 2.行為毒性——驚厥或癲癇發作閾值受到影響 3.行為毒性——共濟失調 |
| 12 | 急性毒性 | 腹腔注射 | 小鼠 | 235 mg/kg | 詳細作用沒有報告除致死劑量以外的其他值 |
| 13 | 急性毒性 | 皮下注射 | 小鼠 | 274 mg/kg | 詳細作用沒有報告除致死劑量以外的其他值 |
| 14 | 急性毒性 | 靜脈注射 | 小鼠 | 43500 ug/kg | 詳細作用沒有報告除致死劑量以外的其他值 |
| 15 | 急性毒性 | 肌肉注射 | 小鼠 | 167 mg/kg | 1.行為毒性——運動行為發生變化(具體情況具體分析) 2.行為毒性——共濟失調 3.肺部、胸部或者呼吸毒性——刺激呼吸道 |
| 16 | 急性毒性 | 腹腔注射 | 狗 | 710 mg/kg | 1.行為毒性——驚厥或癲癇發作閾值受到影響 2.行為毒性——共濟失調 3.肺部、胸部或者呼吸毒性——呼吸困難 |
| 17 | 急性毒性 | 靜脈注射 | 狗 | 184 mg/kg | 1.行為毒性——驚厥或癲癇發作閾值受到影響 2.行為毒性——共濟失調 3.肺部、胸部或者呼吸毒性——呼吸困難 |
| 18 | 急性毒性 | 肌肉注射 | 狗 | 750 mg/kg | 1.行為毒性——驚厥或癲癇發作閾值受到影響 2.行為毒性——共濟失調 3.肺部、胸部或者呼吸毒性——呼吸困難 |
| 19 | 急性毒性 | 腹腔注射 | 貓 | 304 mg/kg | 1.行為毒性——驚厥或癲癇發作閾值受到影響 2.行為毒性——共濟失調 3.肺部、胸部或者呼吸毒性——呼吸困難 |
| 20 | 急性毒性 | 靜脈注射 | 貓 | 88 mg/kg | 1.行為毒性——驚厥或癲癇發作閾值受到影響 2.行為毒性——共濟失調 3.肺部、胸部或者呼吸毒性——呼吸困難 |
| 21 | 急性毒性 | 肌肉注射 | 貓 | 430 mg/kg | 1.行為毒性——驚厥或癲癇發作閾值受到影響 2.行為毒性——共濟失調 3.肺部、胸部或者呼吸毒性——呼吸困難 |
| 22 | 急性毒性 | 腹腔注射 | 兔 | 1350 mg/kg | 1.行為毒性——驚厥或癲癇發作閾值受到影響 2.行為毒性——共濟失調 3.肺部、胸部或者呼吸毒性——呼吸困難 |
| 23 | 急性毒性 | 皮下注射 | 兔 | 1230 mg/kg | 1.行為毒性——驚厥或癲癇發作閾值受到影響 2.行為毒性——共濟失調 3.肺部、胸部或者呼吸毒性——呼吸困難 |
| 24 | 急性毒性 | 靜脈注射 | 兔 | 81 mg/kg | 1.行為毒性——驚厥或癲癇發作閾值受到影響 2.行為毒性——共濟失調 3.肺部、胸部或者呼吸毒性——呼吸困難 |
| 25 | 急性毒性 | 肌肉注射 | 兔 | 780 mg/kg | 1.行為毒性——驚厥或癲癇發作閾值受到影響 2.行為毒性——共濟失調 3.肺部、胸部或者呼吸毒性——呼吸困難 |
| 26 | 急性毒性 | 腹腔注射 | 豚鼠 | 530 mg/kg | 1.行為毒性——驚厥或癲癇發作閾值受到影響 2.行為毒性——共濟失調 3.肺部、胸部或者呼吸毒性——呼吸困難 |
| 27 | 急性毒性 | 皮下注射 | 豚鼠 | 740 mg/kg | 1.行為毒性——驚厥或癲癇發作閾值受到影響 2.行為毒性——共濟失調 3.肺部、胸部或者呼吸毒性——呼吸困難 |
| 28 | 慢性毒性 | 腹腔注射 | 大鼠 | 1 mg/kg/10D-I | 1.腎、輸尿管和膀胱毒性——其他變化 2.生化毒性——抑制或誘導過氧化氫酶 3.生化毒性——抑制或誘導其他酶 |
| 29 | 慢性毒性 | 腹腔注射 | 大鼠 | 140 mg/kg/14D-I | 1.腎、輸尿管和膀胱毒性——其他變化 |
| 30 | 慢性毒性 | 腹腔注射 | 大鼠 | 400 mg/kg/5D-I | 1.腎、輸尿管和膀胱毒性——尿中成分發生變化 2.血液毒性——血清成分發生變化 (如TP、膽紅素、膽固醇) |
| 31 | 慢性毒性 | 皮下注射 | 大鼠 | 4200 mg/kg/4W-I | 1.腎、輸尿管和膀胱毒性——腎小管發生變化 (包括急性腎功能衰竭,急性腎小管壞死) |
| 32 | 慢性毒性 | 皮下注射 | 大鼠 | 120 mg/kg/6D-I | 1.腎、輸尿管和膀胱毒性——尿量增加 2.腎、輸尿管和膀胱毒性——尿中成分發生變化 3.生化毒性——抑制或誘導磷酸酶 |
| 33 | 慢性毒性 | 皮下注射 | 大鼠 | 560 mg/kg/14D-I | 1.腎、輸尿管和膀胱毒性——腎小管發生變化 (包括急性腎功能衰竭,急性腎小管壞死) 2.腎、輸尿管和膀胱毒性——尿中成分發生變化 3.血液毒性——血清成分發生變化 (如TP、膽紅素、膽固醇) |
| 34 | 慢性毒性 | 皮下注射 | 大鼠 | 720 mg/kg/12D-I | 1.免疫系統毒性——細胞免疫應答減少 2.免疫系統毒性——過敏性免疫延遲 |
| 35 | 慢性毒性 | 肌肉注射 | 大鼠 | 1890 mg/kg/30D-C | 1.腎、輸尿管和膀胱毒性——膀胱重量發生變化 2.血液毒性——白細胞計數發生變化 3.營養和代謝系統毒性——體重下降或體重增加速率下降 |
| 36 | 慢性毒性 | 肌肉注射 | 大鼠 | 1050 mg/kg/21D-I | 1.腎、輸尿管和膀胱毒性——腎小管發生變化 (包括急性腎功能衰竭,急性腎小管壞死) 2.腎、輸尿管和膀胱毒性——尿量增加 3.腎、輸尿管和膀胱毒性——膀胱重量發生變化 |
| 37 | 慢性毒性 | 肌肉注射 | 大鼠 | 700 mg/kg/10D-I | 1.腎、輸尿管和膀胱毒性——尿中成分發生變化 2.腎、輸尿管和膀胱毒性——膀胱重量發生變化 3.營養和代謝系統毒性——體重下降或體重增加速率下降 |
| 38 | 慢性毒性 | 肌肉注射 | 大鼠 | 7280 mg/kg/26W-I | 1.血液毒性——紅細胞計數發生變化 2.血液毒性——白細胞計數發生變化 3.營養和代謝系統毒性——體重下降或體重增加速率下降 |
| 39 | 慢性毒性 | 未報告 | 大鼠 | 560 mg/kg/14D-I | 1.血液毒性——血清成分發生變化 (如TP、膽紅素、膽固醇) |
| 40 | 慢性毒性 | 未報告 | 大鼠 | 420 mg/kg/7D-I | 1.腎、輸尿管和膀胱毒性——腎小管發生變化 (包括急性腎功能衰竭,急性腎小管壞死) 2.生化毒性——抑制或脫氫酶誘導 3.生化毒性——抑制或誘導其他酶 |
| 41 | 慢性毒性 | 未報告 | 大鼠 | 520 mg/kg/13D-I | 1.腎、輸尿管和膀胱毒性——腎小管發生變化 (包括急性腎功能衰竭,急性腎小管壞死) 2.腎、輸尿管和膀胱毒性——其他變化 3.血液毒性——其他變化 |
| 42 | 慢性毒性 | 皮下注射 | 小鼠 | 560 mg/kg/7D-I | 1.腎、輸尿管和膀胱毒性——尿中成分發生變化 2.生化毒性——抑制或誘導其他酶 |
| 43 | 慢性毒性 | 肌肉注射 | 狗 | 600 mg/kg/30D-I | 1.腎、輸尿管和膀胱毒性——出現蛋白尿 |
| 44 | 慢性毒性 | 肌肉注射 | 狗 | 1890 mg/kg/30D-C | 1.腎、輸尿管和膀胱毒性——腎小管發生變化 (包括急性腎功能衰竭,急性腎小管壞死) 2.腎、輸尿管和膀胱毒性——膀胱重量發生變化 3.慢性病相關毒性——死亡 |
| 45 | 慢性毒性 | 肌肉注射 | 狗 | 420 mg/kg/2W-I | 1.腎、輸尿管和膀胱毒性——膀胱重量發生變化 |
| 46 | 慢性毒性 | 皮下注射 | 猴 | 525 mg/kg/21D-I | 1.行為毒性——共濟失調 2.血液毒性——血清成分發生變化 (如TP、膽紅素、膽固醇) 3.慢性病相關毒性——死亡 |
| 47 | 慢性毒性 | 肌肉注射 | 猴 | 630 mg/kg/21D-I | 1.腎、輸尿管和膀胱毒性——腎小管發生變化 (包括急性腎功能衰竭,急性腎小管壞死) 2.腎、輸尿管和膀胱毒性——膀胱重量發生變化 3.血液毒性——血清成分發生變化 (如TP、膽紅素、膽固醇) |
| 48 | 慢性毒性 | 肌肉注射 | 猴 | 1750 mg/kg/35D-I | 1.耳毒性——前庭功能發生變化 2.耳毒性——耳蝸結構或功能發生變化 3.慢性病相關毒性——死亡 |
| 49 | 慢性毒性 | 皮下注射 | 大鼠 | 560 mg/kg/16D-I | 1.耳毒性——前庭功能發生變化 2.腎、輸尿管和膀胱毒性——其他變化 3.慢性病相關毒性——死亡 |
| 50 | 慢性毒性 | 腹腔注射 | 兔 | 300 mg/kg/3D-I | 1.腎、輸尿管和膀胱毒性——出現蛋白尿 2.腎、輸尿管和膀胱毒性——尿中成分發生變化 3.生化毒性——抑制或誘導其他酶 |
| 51 | 慢性毒性 | 肌肉注射 | 兔 | 364 mg/kg/4W-I | 1.腎、輸尿管和膀胱毒性——出現蛋白尿 |
| 52 | 慢性毒性 | 肌肉注射 | 兔 | 60 mg/kg/10D-I | 1.腎、輸尿管和膀胱毒性——腎小管發生變化 (包括急性腎功能衰竭,急性腎小管壞死) 2.腎、輸尿管和膀胱毒性——尿中成分發生變化 3.生化毒性——抑制或誘導酶 |
| 53 | 慢性毒性 | 皮下注射 | 豚鼠 | 1072 mg/kg/16D-I | 1.耳毒性——耳蝸結構或功能發生變化 |
| 54 | 慢性毒性 | 肌肉注射 | 豚鼠 | 2800 mg/kg/4W-I | 1.耳毒性——前庭功能發生變化 2.耳毒性——耳蝸結構或功能發生變化 |
| 55 | 突變毒性 | 大腸埃希氏菌 | 250 ug/L | ||
| 56 | 突變毒性 | 大腸埃希氏菌 | 2 mg/L | ||
| 57 | 突變毒性 | 人類成纖維細胞 | 75 mg/L | ||
| 58 | 突變毒性 | 小鼠淋巴細胞 | 500 mg/L | ||
| 59 | 生殖毒性 | 口服 | 成年女性 | 10769 units/kg,雌性受孕 20 周后 | 1.生殖毒性——肝膽系統發育異常 |
| 60 | 生殖毒性 | 腹腔注射 | 大鼠 | 750 mg/kg,雌性受孕 7-18 天后 | 1.生殖毒性——新生兒身體變化 |
| 61 | 生殖毒性 | 皮下注射 | 大鼠 | 660 mg/kg,雌性受孕 10-15 天后 | 1.生殖毒性——新生兒晚產 |
| 62 | 生殖毒性 | 皮下注射 | 大鼠 | 660 mg/kg,雌性受孕 15-20 天后 | 1.生殖毒性——泌尿系統發育異常 |
| 63 | 生殖毒性 | 肌肉注射 | 大鼠 | 900 mg/kg,雌性受孕 10-21 天后 | 1.生殖毒性——泌尿系統發育異常 2.生殖毒性——新生兒體重增加量減少 3.生殖毒性——新生兒身體變化 |
| 64 | 生殖毒性 | 肌肉注射 | 大鼠 | 1050 mg/kg,雌性受孕 8-14 天后 | 1.生殖毒性——植入後死亡率增加 |
| 65 | 生殖毒性 | 未報告 | 大鼠 | 90 mg/kg,雌性受孕 9-14 天后 | 1.生殖毒性——胚胎或胎兒死亡 |
| 66 | 生殖毒性 | 肌肉注射 | 狗 | 1456 mg/kg,雄性配種 91 天前 | 1.生殖毒性——前列腺,精囊,考伯氏腺,附屬腺體發生變化 |
| 67 | 生殖毒性 | 肌肉注射 | 狗 | 1456 mg/kg,雌性受孕 91 天前 | 1.生殖毒性——影響母體子宮,宮頸,陰道 |
中毒
慶大黴素細菌耐藥現象嚴重,限制了它的套用。本藥口服吸收差,肌肉、靜脈滴注給藥吸收迅速而完全,很少與血漿蛋白結合,半衰期為2~3h。臨床上常與哌拉西林等半合成青黴素或頭孢菌素類聯合治療嚴重革蘭陰性菌感染。有效治療濃度範圍在4~10μg/ml,中毒的血濃度持續>12μg/ml。血藥濃度升高易誘發耳毒性。套用中主要對第8對腦神經和腎臟的毒性,3370例臨床分析,發生腎毒性的約有4.1%,耳毒性的有2.3%。1d的最大劑量5mg/kg,分2次給予。臨床表現1.常見不良反應有噁心、嘔吐、食慾減退、腹脹等胃腸道不適,少數出現肝功能改變及引起二重感染。
2.腎毒性表現為非少尿性腎臟損傷或少尿伴急性腎衰竭,前者表現為多尿、血尿、蛋白尿等。個別嚴重腎臟損害者可因尿毒症死亡。
3.耳毒性表現為頭昏、眩暈、耳鳴、共濟失調等,有時可見眼球震顫,嚴重者不能行走、臥床不起,可進展到耳聾。
4.本藥引起過敏反應少見,偶有皮膚瘙癢、蕁麻疹,偶見白細胞減少、中性粒細胞減少及過敏性休克。
5.本藥偶可使神經肌肉傳遞功能受抑制而引起呼吸抑制,偶有多發性神經病變和中毒性腦病,如出現精神症狀、癲癇樣發作。
治療
慶大黴素中毒的治療要點為:
1.過量或中毒時以對症、支持治療為主,如治療尿毒症、癲癇等。
2.血液透析或腹膜透析能有效清除慶大黴素。
3.出現早期腎臟損害時,及時停藥,腎損害大多是可逆的。如出現少尿、腎功能不全,應及時停藥,10d左右後患者出現多尿期,腎功能的恢復需要數周至數月。
4.耳毒性症狀早期發現,及時停藥能恢復,一般不再進行性加重。
5.發生過敏反應時立即停藥,予以相應的處理 。
專家點評
慶大黴素為小單孢菌產生的多組分混合物,是目前臨床用於抗各種革蘭陰性菌感染的主要抗生素之一,由於慶大黴素套用廣泛,我國現已有一定數量的耐藥菌株存在。臨床多用於大腸桿菌、痢疾桿菌、肺炎克雷白桿菌、變形桿菌、銅綠假單胞菌等革蘭陰性菌引起的系統或局部感染。氨基糖苷類
糖類的類型
| 主要生物化學物質種類:肽 | 胺基酸 | 核酸 | 糖類 | 核苷糖 | 脂類 | 萜類 | 類胡蘿蔔素 | 四吡咯 | 輔因子 | 類固醇 | 類黃酮 | 生物鹼 | 聚酮 | 配糖類 |
| 糖類的類型 Analogues of nucleic acids |
| 主要分類: 醛糖 | 酮糖 | 吡喃糖 | 呋喃糖 幾何構型: 丙糖 | 丁糖 | 戊糖 | 己糖 | 庚糖 | 環己糖構型 | 端基差向異構 | 端基異構效應 | 變鏇現象 小/大: 甘油醛 | 二羥基丙酮 | 赤蘚糖 | 蘇阿糖 | 赤蘚酮糖 | 景天庚酮糖 戊糖: 核糖 | 樹膠醛糖 | 木糖 | 來蘇糖 | 核酮糖 | 木酮糖 己糖: 葡萄糖 | 半乳糖 | 甘露糖 | 古洛糖 | 艾杜糖 | 塔羅糖 | 阿洛糖 | 阿卓糖 | 果糖 | 山梨糖 | 塔格糖 | 阿洛酮糖 | 鼠李糖 雙糖、寡糖: 蔗糖 | 乳糖 | 海藻糖 | 麥芽糖 | 棉子糖 | 水蘇糖 多糖: 糖原 | 澱粉 | 纖維素 | 殼多糖 | 直鏈澱粉 | 支鏈澱粉 | 菊糖 | 糊精 | 褐藻素 粘多糖: 肝磷脂 | 硫酸軟骨素 | 透明質酸 | 硫酸乙醯肝素 | 硫酸軟骨素B | 硫酸角質素 氨基糖苷類抗生素: 卡那黴素 | 鏈黴素 | 妥布黴素 | 新黴素 | 巴龍黴素 | 阿普拉黴素 | 慶大黴素 | 奈替米星 | 阿米卡星 |

