小數
數學
數學
數學簡介
0.999...是一個小數系統中的數,一些最簡單的0.999...=1的證明都依賴於這個系統方便的算術性質。大部分的小數算術──加法、減法、乘法、除法,以及大小的比較,操作方法都與整數差不多。與整數一樣,任何兩個有限小數隻要數字不同,那么數值也一定不同。特別地,任何一個形為0.99...9的數,其中只有有限個9,都是嚴格小於1的。
誤解0.999...中的“...”(省略號)的意義,是對0.999...=1的誤解的其中一個原因。這裡省略號的用法與日常語言和0.99...9中的用法是不同的,0.99...9中的省略號意味著有限的部分被省略掉了。但是,當用來表示一個循環小數的時候,“...”則意味著無限的部分被省略掉了,這只能用極限的數學概念來闡釋。這樣,“0.999...”所表示的實數,是收斂數列(0.9,0.99,0.999,0.9999,...)的極限。“0.999...”是一個數列的極限,從這方面講,對於0.999...=1這個等式就很直觀了。
與整數和有限小數的情況不一樣,一個數也可以用許多種其它的方法來表示。例如,如果使用分數,1⁄3=2⁄6。但是,一個數最多只能用兩種無限小數的方法來表示。如果有兩種方法,那么一種一定含有無窮多個9,而另外一種則一定從某一位開始就全是零。
0.999...=1有許多證明,它們各有不同的嚴密性。一個嚴密的證明可以簡單地說明如下。考慮到兩個實數是相等的,若且唯若它們的差等於零。大部分人都同意,0.999...與1的差,就算存在也是非常的小(趨近零)。考慮到以上的收斂數列,我們可以證明這個差一定是小於任何一個正數的,也可以證明(詳細內容參見阿基米德原理),唯一具有這個性質的實數是零。由於差是零,可知1和0.999...是相等的。用相同的理由,也可以解釋為什麼0.333...=1⁄3,0.111...=1⁄9,等等。
證明
推想
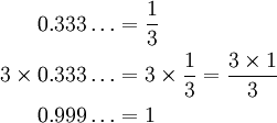
0.999...是否為1?若使用減法直式計算(小數點後只列出五位,五位後省略):
1.00000
─ 0.99999
──────
0.00000
結果為0.000...,也就是0.0無限循環。因為小數點後五位之後還會一直填上0,始終無法找到最後一位來填上1。1.(0)-0.(9)=0.(0),故1=0.(9)。
分數
無限小數是有限小數的一個必要的延伸,其中一個原因是用來表示分數。用長除法,一個像1⁄3的簡單整數除法便變成了一個循環小數,0.333...,其中有無窮多個數字3。利用這個小數,很快就能得到一個0.999...=1的證明。用3乘以0.333...中的每一個3,便得到9,所以3×0.333...等於0.999...。而3×1⁄3等於1,所以0.999...=1。
這個證明的另外一種形式,是用1/9=0.111...乘以9。
數學
小數一個更加早期的形式,是基於以下的方程:
數學由於兩個方程都是正確的,因此根據相等關係的傳遞性質,0.999...一定等於1。類似地,3/3=1,且3/3=0.999...。所以,0.999...一定等於1。
位數操作
另外一種證明更加適用於其它循環小數。當一個小數乘以10時,其數字不變,但小數點向右移了一位。因此10×0.999...等於9.999...,它比原來的數大9。
考慮從9.999...減去0.999...。我們可以一位一位地減;在小數點後的每一位,結果都是9-9,也就是0。兩者小數點後的數目均為0.999...故可互消,結果為小數點後為零。最後一個步驟用到了代數。設0.999...=c,則10c−c=9,也就是9c=9。等式兩端除以9,便得證:c=1。用一系列方程來表示,就是
數學以上兩個證明中的位數操作的正確性,並不需要盲目相信,也無需視為公理;它是從小數和所表示的數之間的基本關係得出的。這個關係,可以用幾個等價的方法來表示,已經規定了0.999...和1.000...都表示相同的數。
實數分析
由於0.999...的問題並不影響數學的正式發展,因此我們可以暫緩進行研究,直到證明了實數分析的標準定理為止。其中一個要求,是要刻劃所有能表示成小數的實數的特徵,由一個可選擇的符號、構成整數部分的有限個數字、一個小數點,以及構成小數部分的一系列數字組成。為了討論0.999...的目的,我們可以把整數部分概括為b0,並可以忽略負號,這樣小數展開式就具有如下的形式:
數學小數部分與整數部分不一樣,整數部分只能有有限個數字,而小數部分則可以有無窮多個數字。這一點是至關重要的。這是一個進位制,所以500中的5是50中的5的十倍,而0.05中的5則是0.5中的5的十分之一。
無窮級數和數列
更多資料:小數表示法
也許小數展開式最常見的發展,是把它們定義為無窮級數的和。一般地:
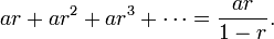
數學對於0.999...來說,我們可以使用等比級數的有力的收斂定理:
如果|r|<1,則
數學由於0.999...是公比為的等比級數的和,套用以上定理,很快就可以得出證明了:
數學這個證明(實際上是10等於9.999...)早在1770年就在瑞士數學家萊昂哈德·歐拉的作品《ElementsofAlgebra》(《代數的要素》)中出現了。[3]
四進制的小數數列(0.3,0.33,0.333,...…)收斂於1。等比級數的和本身,是一個比歐拉還要早的結果。一個典型的18世紀的推導用到了一項一項的操作,類似於以上的代數證明。直到1811年,Bonnycastle的教科書《AnIntroductiontoAlgebra》(《代數的介紹》)依然使用這種等比級數的方法來證明對0.999...使用的策略是正當的。[4]在19世紀,這種隨隨便便的求和方法遭到了反對,這樣便導致了現在仍然占有支配地位的定義:一個級數的和定義為數列的部分和的極限。該定理的一個對應的證明,明確地把這個數列計算出來了;這可以在任何一本以證明為基礎的微積分或數學分析的教科書中找到。
對於數列(x0,x1,x2,...)來說,如果當n增大時,距離|x−xn|變得任意地小,那么這個數列就具有極限x。0.999...=1的表述,可以用極限的概念來闡釋和證明:
數學最後一個步驟—lim1/10n=0—通常由實數的阿基米德原理來證實。這個以極限為基礎的對0.999...的看法,有時會用比較引人注意但不太精確的話語來表達。例如,在1846年的美國教科書《大學算術》(《TheUniversityArithmetic》)中有這么一句:“0.999+,到無窮遠處等於1,這是因為每加上一個9,都會使它的值更加接近於1”(.999+,continuedtoinfinity=1,becauseeveryannexationofa9bringsthevaluecloserto1);在1895年的美國教科書《ArithmeticforSchools》(《學校算術》)中也有:“...如果有非常多的9,那么1和0.99999...的差就小得難以想像了”(“...whenalargenumberof9sistaken,thedifferencebetween1and.99999...becomesinconceivablysmall”)。這種啟發式的教學法,常常被學生們誤解為0.999...本身就小於1。
區間套和最小上界
更多資料:區間套
區間套:在三進制中,1=1.000...=0.222...如果知道一個實數x位於閉區間[0,10]內(也就是說,這個實數大於或等於0,而小於或等於10),我們就可以想像把這個區間分成十個部分,只在終點處相重迭:[0,1]、[1,2]、[2,3],依此類推,直到[9,10]。實數x一定是屬於這十個區間的一個;如果它屬於[2,3],我們就把數字“2”記錄下來,並把這個區間再細分成十個子區間:[2,2.1]、[2.1,2.2]、...、[2.8,2.9]、[2.9,3]。把這個過程一直繼續下去,我們便得到了一個無窮的區間套序列,由無窮個數字b0、b1、b2、b3、...來標示,並記
x=b0.b1b2b3...
在這種形式中,1=1.000...而且1=0.999...的事實,反映了1既位於[0,1],又位於[1,2],所以我們在尋找它的數字時,可以選擇任意一個子區間。為了保證這種記法沒有濫用“=”號,我們需要一種辦法來為每一個小數重新構造一個唯一的實數。這可以用極限來實現,但是還有其它的方法。
一個簡單的選擇,是區間套定理,它保證只要給出了一個長度趨近於零的閉區間套序列,那么這些區間套的交集就正好是一個實數。這樣,b0.b1b2b3...便定義為包含在所有的區間[b0,b0+1]、[b0.b1,b0.b1+0.1],依此類推的唯一的實數。而0.999...就是位於所有的區間[0,1]、[0.9,1]、[0.99,1]、[0.99...9,1](對於任意有限個9)的唯一的實數。由於1是所有這些區間的公共元素,因此0.999…=1。
區間套定理通常是建立在一個更加基本的實數特徵之上的:最小上界的存在。直接利用這些事物,我們可以把b0.b1b2b3...定義為集合{b0,b0.b1,b0.b1b2,...}的最小上界。.然後就可以證明,這種定義(或區間套的定義)與劃分的過程是一致的,又一次證明了0.999...=1。湯姆·阿波斯托爾得出結論:
一個實數可以有兩種不同的小數表示法,僅僅是兩個不同的實數集合可以有相同的最小上界的一個反映。
實數
更多資料:實數的結構
有些方法用公理集合論明確把實數定義為一定的建立在有理數上的結構。自然數──0、1、2、3,依此類推──從零開始並繼續增加,這樣每一個自然數都有一個後繼者。我們可以把自然數的概念延伸到負數,得出所有的整數,並可以進一步延伸到比例,得出所有的有理數。這些記數系統伴隨著加法、減法、乘法和除法的算術。更加微妙地,它們還包括排序,這樣一個數就可以與另一個進行比較,並發現是大於、小於,還是等於。
從有理數到實數的一步,是一個很大的延伸。至少有兩種常見的方法來達到這一步,它們都在1872年出版:戴德金分割,以及柯西序列。直接用到這些結構的0.999...=1的證明,現在已經無法在實數分析的教科書中找到了;最近幾個年代的趨勢,是使用公理化的分析。即使提供了這樣的一個結構,它也通常被用來證明實數的公理,從而為以上的證明提供證據。然而,有些作者表達了從一個結構開始才是邏輯上更恰當的想法,這樣得出的證明就更加完備了。
戴德金分割
更多資料:戴德金分割
在戴德金分割的方法中,每一個實數x定義為所有小於x的有理數所組成的無窮集合。[13]特別地,實數1就是所有小於1的有理數的集合。每一個正的小數展開式很容易決定了一個戴德金分割:小於某個展開階段的有理數的集合。所以實數0.999...是有理數r的集合,使得使得r<0,或r<0.9,或r<0.99,或r小於其它具有
數學
數學
數學把實數定義為戴德金分割,首先由理察·戴德金在1872年出版。以上把每一個小數展開式分配一個實數的方法,應歸於弗雷德·里奇曼在《MathematicsMagazine》(《數學雜誌》)上發表的一篇名為“Is0.999...=1?”(“0.999...=1嗎?”)的演講稿,主要是為大學的數學教師,尤其是初級/高級程度,以及他們的學生而作。里奇曼注意到,在有理數的任何一個稠密子集中取戴德金分割,都得到相同的結果;特別地,他用到了分數,這樣便更快得出證明了:“所以,我們看到,在實數的傳統定義中,方程0.9*=1在一開始就建立了。”把這個步驟再作進一步的修改,便得到了另外一個結構,里奇曼對這個結構更感興趣;參見以下的“其它記數系統”。
柯西序列
更多資料:柯西序列
另外一種構造實數的方法,間接地用到了有理數的排序。首先,x和y之間的距離定義為絕對值|x−y|,其中絕對值|z|定義為z和−z的最大值,因此總是非負的。這樣實數便被定義為關於這個距離的具有柯西序列性質的有理數序列。也就是說,每一個實數都是一個柯西收斂的數列(x0,x1,x2,...)。這是一個從自然數到有理數的映射,使得對於任何正有理數δ,總存在一個N,使得對於所有的m、n>N,都有|xm−xn|≤δ。(兩項之間的距離變得比任何正的有理數都要小。)
如果(xn)和(yn)是兩個柯西數列,那么如果數列(xn−yn)有極限0,這兩個數列便定義為相等的。把小數b0.b1b2b3...拆開來,便得到了一個有理數序列,它是柯西序列;這個序列對應的實數被定義為這個小數的值。所以,在這種形式中,我們的任務就是要證明,有理數序列
數學有極限0。對於n=0、1、2、...,考慮數列的第n項,我們需要證明
數學這個極限是大家都明白的;一個可能的證明,是在數列的極限的定義中,對於ε=a/b>0,我們可以取N=b。所以,這又一次證明了0.999...=1。
把實數定義為柯西序列,首先由愛德華·海涅和格奧爾格·康托爾獨立發表,也是在1872年。以上的小數展開式的方法,包括0.999...=1的證明,則主要是得自Griffiths和Hilton在1970年的作品《Acomprehensivetextbookofclassicalmathematics:Acontemporaryinterpretation》(《一本經典數學的綜合教科書:一個當代的闡釋》)。這本書是特別為了以當代的眼光回顧一些熟悉的數學概念而作的。
推廣
0.999...=1的證明,立刻可以進行兩種推廣。首先,對於每一個非零的有限小數(也就是說,從某一位開始全是零),都存在另外一個與其相等的數,從某一位開始全是9。例如,0.24999...等於0.25,就像我們考慮的特殊情況。這些數正好是相同的分數,而且是稠密的。
其次,一個類似的定理可以套用到任何一個底數或進位制。例如,在二進制中,0.111...等於1;而在三進制中,0.222...等於1。實數分析的教科書很有可能略過0.999...的特殊情況,而從一開始就介紹這兩種推廣的一種或兩種。
1的其它表示法也出現在非整數進位制中。例如,在黃金分割比進位制中,兩個標準的表示法就是1.000...和0.101010...,此外還有無窮多種含有相鄰的1的表示法。一般地,對於幾乎所有的1和2之間的q,在q進制中都有無窮多個1的展開式。而另一方面,依然存在無窮多個q(包括所有大於1的實數),使得在q進制中只有一種1的展開式,除了顯然的1.000...。這個結果首先由保羅·埃爾德什、MiklosHorváth和IstvánJoó在大約1990年獲得。1998年,VilmosKomornik和PaolaLoreti確定了具有這種性質的最小的進位制──Komornik-Loreti常數q=1.787231650...。在這個進位制中,1=0.11010011001011010010110011010011...;其數字由圖厄-摩斯數列給出,不是循環小數。
一個更加深遠的推廣,提到了最一般的進位制。在這些進位制中,一個數也有多種表示法,在某種意義上來說難度甚至更大。例如:
在平衡三進制系統中,1/2=0.111...=1.111...。
在階乘進位制系統中,1=1.000...=0.1234...。
MarkoPetkovšek證明了這種歧義是使用進位制的必然結果:對於任何一個把所有實數命名的系統,總有無窮多個實數有多種表示法,而這些實數所組成的集合又是稠密的。他把這個證明稱為“一個指導性的基本點集拓撲學的練習”:它包含了把進位制的集合視為斯通空間,並注意到它們的實數表示法可以由連續函式給出。
套用
0.999...的其中一個套用,出現在基本數論中。1802年,H·古得溫出版了一份觀察資料,描述了分母為一定的素數的分數的小數展開式中9的出現。例子包括:
1/7=0.142857142857...,而142+857=999。
1/73=0.0136986301369863...,而0136+9863=9999。
E·米迪在1836年證明了關於這類分數的一個一般的結果,現在稱為米迪定理。當初出版時沒有寫得很清楚,我們也不知道他的證明是不是直接提到了0.999...,但至少有一個W·G·萊維特的現代證明是這樣的。如果我們可以證明,一個具有形式0.b1b2b3...的小數是正整數,那么它就一定是0.999...,這也就是定理中9的來源。在這個方向上繼續做研究,就可以得出諸如最大公因子、同餘、費馬素數、群元素的目,以及二次互反律等概念。
康托爾集合中1/4、2/3,和1的位置。一個單位區間中的點位於康托爾集合內,若且唯若它在三進制中可以只用數字0和2來表示。
小數中的第n位反映了在第n個階段時點的位置。例如,點²⁄3可以如常地表示為0.2或0.2000...,這是因為它位於第一個刪除部分的右面,以及以後所有的刪除部分的左面。點1⁄3則不表示為0.1,而表示為0.0222...,這是因為它位於第一個刪除部分的左面,以及以後所有的刪除部分的右面。
重複的9還出現在另外一個康托爾的研究成果中。在套用他在1891年發表的對角線論證法來證明單位區間的不可數性時,必須要考慮到這種因素。這種證明需要根據小數展開式來斷言兩個實數是不同的,所以我們需要避免諸如0.2和0.1999...之類的數對。一個簡單的方法把所有的實數表示為無限小數;相反的方法便排除了無窮多個9的可能性。一個可能更加接近於康托爾原先的證明的變體,實際上使用了二進制,把三進制展開式轉換為二進制展開式,我們也可以證明康托爾集合的不可數性。
教育中遇到的懷疑
學習數學的學生往往拒絕接受0.999...=1的等式,其原因有很多,從根本不相同的外觀,到對極限概念的深度疑慮,乃至對無窮小的本性的異議。有不少貢獻因素,造成了這種混淆;
學生們常常“堅信一個數能用一種且只能用一種小數的方法來表示”。看到兩個明顯不同的小數,表示的卻是相同的實數,這似乎是一個悖論,而表面上熟悉的數1,更使這個悖論加深。
有些學生把“0.999...”(或類似的記法)理解為很長但有限的一串9,也許長度是可變的、未特別指出的。如果他們接受了有無窮多個9的事實,他們仍然可能認為“在無窮遠處”“有最後的一個9”。
直覺和模稜兩可的教導,都讓學生覺得數列的極限是一個無限的過程,而不是一個確定的值,因為一個數列不一定就有極限。如果他們明白了數列和它的極限的差別,他們就有可能把“0.999...”理解為數列,而不是它的極限。
有些學生把0.999...視為一個定值,與1的差是無窮小,但不是零。
有些學生相信收斂級數的值最多只是一個估計,也就是
數學這些想法在標準實數系統(指具有完備性的)中都是錯誤的,但在其它記數系統中則有可能是正確的(要求相應數系不具備阿基米德性,因為阿基米德性要求數系中沒有非零無窮小)。這些系統要么是為一般的數學用途而發明,要么就是作為指導性的反例,使人們更好地理解0.999...。
許多這些解釋都是大衛·塔爾教授發現的,他研究了造成學生們誤解的教導方法的特徵。他訪問了他的學生以決定為什麼大多數人在一開始都拒絕接受該等式,發現“學生們仍然繼續把0.999...視為一個越來越接近1的數列,而不是一個定值,因為‘你沒有指定它有多少位’或‘在所有小於1的小數中,它是最大的數。’”
在所有初等的證明中,用0.333...=1⁄3乘以3表面上是使學生們迫不得已接受0.999...=1的一個成功的策略。但是,面對著對第一個等式的相信以及對第二個等式的懷疑,有些學生要么就開始懷疑第一個等式,要么乾脆就感到灰心喪氣了。[38]更加複雜的方法,也不是十分有效的;有些學生完全可以套用嚴格的定義,但當他們被一個高等數學的結果,包括0.999...所震驚時,依然退回到直覺的形象上去了。例如,有一個學習實數分析的學生,能夠用最小上界的定義來證明0.333...=1⁄3,但仍然堅稱0.999...<1,基於他早前對長除法的理解。其他學生也能夠證明1⁄3=0.333...,但是,面對著以上的分數證明,仍然堅稱“邏輯”能代替數學運算。
約瑟·馬祖爾講了一個故事:有一個十分聰明的學習微積分的學生,他“對我在課堂上講的幾乎所有內容都要提出一番異議,但對他的計算器深信不疑”。他相信,九個數字就是學習數學所需要的一切,包括計算23的平方根。這位學生對9.99...=10的極限證法感到彆扭,稱其為“一個難以想像的無限增長過程”。
作為埃德·杜賓斯基的數學學習的“APOS理論”的一部分,杜賓斯基和他的合作者在2005年提出:任何一個學生,只要把0.999...構想為一個有限的、不確定的數串,與1的差是無窮小,那么他就“還沒有對無限小數形成一個完整的過程概念”。其他對0.999...有了完整的過程概念的學生,仍不一定能把這個過程“概括”成一個“對象概念”,就像他們對1的對象概念那樣,所以仍然覺得0.999...和1是不一致的。杜賓斯基還把這種概括的能力與把1⁄3視為一個獨立的數,以及與把實數的集合視為一個整體聯繫起來。
在大眾文化中
隨著網際網路的崛起,關於0.999...的討論已經衝出了教室,並走向了新聞組和信息版,包括那些名義上幾乎與數學無關的信息版。在新聞組sci.math中,辯論0.999...是一項“受歡迎的運動”,也是常見問答集之一。常見問答集涵蓋了1⁄3、乘以10、還有極限的證明,也間接地提到了柯西序列。
一個2003年版的報紙專欄TheStraightDope通過1⁄3和極限討論了0.999...,並談到了誤解:
我們當中的低級靈長類動物仍然在抗拒,說:0.999...其實不是表示一個數,而是表示一個過程。我們必須把那個過程停止下來,來尋找那個數,這樣0.999...=1的等式便土崩瓦解了。真是一派胡言。
TheStraightDope在自己的信息版引用了另外一個不明的信息版中的討論,那個信息版“大部分是關於視頻遊戲的”。0.999...的問題在暴雪娛樂的Battle.net論壇的頭七年也是一個非常受歡迎的話題,以致於該公司在2004年的愚人節不得不發布了一則“新聞”,聲明0.999...就是1:
我們對永遠停止對這件事的討論感到十分激動。我們親眼目睹了對0.999...是否等於1的痛心和關心,並對以下的證明最終為我們的顧客解決了問題感到十分自豪。
然後便提供了兩個證明,一個是極限的證明,另一個是乘以10的證明。
其它記數系統
雖然實數形成了一個非常有用的記數系統,把“0.999...”解釋為一個實數的決定畢竟還是一個約定,蒂莫西·高爾斯在《Mathematics:AVeryShortIntroduction》(《數學:一個非常簡短的介紹》)中提到,0.999...=1的等式也是一個約定:
然而,這個約定決不是隨意取的,因為如果不採用這種記數系統,我們就被迫得要么發明一些新奇的東西,要么拋棄大家熟悉的算術規則。
我們可以用不同的規則或新的事物來定義其它記數系統;在某些記數系統中,以上的證明便需要重新解釋。我們就有可能發現,在某一個給定的記數系統中,0.999...和1並不一定就是相等的。然而,許多記數系統都是實數系統的延伸,而不是獨立的替代物,所以0.999...=1仍然成立。就算是在這類記數系統中,我們依然值得去檢查其它的記數系統,不僅僅為了知道0.999...是怎樣表現的(如果“0.999...”既有意義又不含糊),也為了知道相關現象的表現。如果這種現象與實數系統中的現象不一致的話,那么至少一個建立在這個系統中的假設便一定不成立了。
無窮小
0.999...=1的證明依賴於標準實數的阿基米德原理:不存在非零的無窮小。也存在不符合阿基米德原理的代數結構,包括標準實數的各種各樣的替代品。0.999...的意義與我們使用的結構有關。例如,在對偶數中,引進了一個新的無窮小單位ε,就像複數系統中的虛數單位i一樣,但是ε²=0。這樣便得出了一個在自動微分中十分有用的結構。我們可以給予對偶數一個字典序,這樣ε的倍數就不符合阿基米德原理。但是,要注意到,作為實數的延伸,在對偶數中仍然有0.999...=1。儘管ε在對偶數中存在,ε/2也存在,所以ε就不是“最小的正對偶數”。確實是這樣,在實數系統中,並不存在這類的數。
另外一種構造標準實數的替代品的方法,是使用部目理論和替代的邏輯,而不是集合論和經典的邏輯(一種特殊情況)。例如,在光滑無窮小分析中,就存在沒有倒數的無窮小。
非標準分析因包含了一個有完整無窮小序列的記數系統而眾所周知,它提供了一個不同的,也許是更加直觀的,對微積分的處理。A.H.Lightstone在1972年提供了一個非標準小數展開式的發展,其中每一個位於(0,1)之內的擴展的實數,都有一個唯一的擴展的小數展開式:數列0.ddd...;...ddd...,由擴展的自然數作索引。在這種形式中,0.333...有兩種自然的展開式,都不與1/3相差無窮小:
0.333...;...000...不存在,而
0.333...;...333...正好等於1/3。
組合博弈論也提供了替代的實數,無窮的藍-紅Hackenbush就是一個相關的例子。1974年,ElwynBerlekamp描述了一個Hackenbush字串與實數的二進制展開式之間的對應關係,由數據壓縮的想法所促動。例如,Hackenbush字串LRRLRLRL...的值是0.0101012...=1/3。然而,LRLLL...的值(對應著0.111...2)則與1相差無窮小。兩個數的差是超實數1/ω,其中ω是第一個無窮序數;相關的博弈是LRRRR...或0.000...2。
打破減法的慣例
另外一種也可以使以上證明不成立的方法,就是1−0.999...根本就不存在,因為減法並不一定就是可能的。具有加法運算但沒有減法運算的數學結構包括可交換半群、可交換么半群,以及半環。里奇曼考慮了兩種這類的系統,使得0.999...<1。
首先,里奇曼把非負的“小數”定義為字面上的小數展開式。他定義了字典序和一種加法運算,注意到0.999...<1僅僅因為在個位數0<1,但對於任何一個有限小數x,都有0.999...+x=1+x。所以“小數”的一個獨特之處,是等式兩邊不能同減一個數;另外一個獨特之處,就是沒有“小數”對應著1⁄3。把乘法也定義了以後,“小數”便形成了一個正的、全序的、可交換的半環。
在定義乘法的過程中,里奇曼還定義了另外一種記數系統,他稱之為“切割D”,它是小數的戴德金切割的集合。通常用這種定義便可以得出實數,但對於小數d他既允許切割(−∞,d),又允許“主切割”(−∞,d]。這樣做的結果,就是實數與“小數”“不舒服地住在一起”。這個系統中也有0.999...<1。在切割D中不存在正的無窮小,但存在一種“負的無窮小”──0−,它沒有小數展開式。里奇曼得出結論,0.999...=1+0−,而方程“0.999...+x=1”則沒有解。
p進數
問到關於0.999...的時候,初學者常常相信應該有一個“最後的9”,也就是說,相信1−0.999...等於一個正數,可以寫為“0.000...1”。不管那有沒有意義,目標都是明確的:把1加在0.999...中的最後的9上,就會把所有的9變成0,並在個位數留下一個1。如果考慮到其它的原因,這種想法便不成立了,這是因為在0.999...中,並不存在“最後的9”。對於包含最後的9的無窮多個9,我們必須從別的地方去尋找。
4進整數(黑點),包括數列(3,33,333,...)收斂於−1。10進數的類似等式,是...999 = −1。p進數是在數論中引起興趣的又一個記數系統。像實數那樣,p進數可以從有理數通過柯西序列得到;但是,這種結構使用了另外一種度量,0與p之間的距離比0與1的距離還要近,而0與pn的距離又比0與p的距離近。對於素數p來說,p進數便形成了一個域,而對於其它的p,包括10來說,則形成了一個環。所以在p進數中可以進行算術,這種記數系統也不存在無窮小。
在10進數中,類似於小數展開式的事物位於小數點的左面。10進展開式...999確實有一個最後的9,而沒有第一個9。我們可以把1加在個位數上,這樣進位之後就只剩下0了:1+...999=...000=0,所以...999=−1。[54]另外一種推導用到了等比級數。“...999”所指的無窮級數在實數中不收斂,但在10進數中收斂,所以我們可以使用大家熟悉的公式:
數學(與前面的級數比較。)第三種推導是一個七年級學生髮明的,他對老師所講的0.999...=1的極限證明感到懷疑,但因而產生了靈感,把以上乘以10的證明套用在相反的方向上:如果x=...999,則10x=...990,因此10x=x−9,所以x=−1。
作為一個最後的延伸,由於0.999...=1(在實數中),而...999=−1(在10進數中),那么我們可以“盲目、大膽地擺弄符號”,把兩個等式相加起來,得出:...999.999...=0。這個等式在10進展開式中和標準小數展開式中都是沒有意義的,但假如我們研究出一種“雙小數”的理論,其中小數點左面和右面都可以無限延伸,那么這個等式便是有意義和正確的。
相關問題
芝諾悖論,特別是奔跑者悖論,使人聯想起了0.999...等於1的表面上的悖論。奔跑者悖論可以建立一個數學模型,然後就可以像0.999...那樣,用等比級數的方法來解決。然而,我們不確定這種數學的論述是不是提到了芝諾所探索的形上學的問題。
除以零出現在0.999...的一些討論中,也引起了爭論。大部分作者都願意定義0.999...,但幾乎都不去定義除以零,這是因為它在實數系統中不可能有意義。然而,在某些其它的記數系統中,除以零則是有定義的,例如複數分析,其中擴展的複平面,也就是黎曼球面,在無窮遠處“有一個點”。在這裡,1/0便定義為無窮大;實際上,這個結果有深遠的意義,可以套用在工程和物理學中的許多問題上。有些著名的數學家在兩個系統發展起來之前就提出了這樣的一個定義。
-0是另外一個記數的多餘特徵。在諸如實數的記數系統中,“0”表示加法單位元,既不是正數又不是負數,“−0”的解釋是0的相反數,這便迫使了−0=0。然而,在某些科學的套用中,使用了獨立的正零和負零,大多數常見的計算機記數系統就是這樣的(例如儲存在符號和大小或一的補數的格式中的整數,或由IEEE二進制浮點數算術標準所指定的浮點數)。
