實數的倒數
倒數[數學學科術語]
倒數[數學學科術語]
倒數[數學學科術語]
倒數[數學學科術語]1.求一個分數的倒數,例如 ,我們只須把 這個分數的分子和分母交換位置,即得 的倒數為 ;
倒數[數學學科術語]
倒數[數學學科術語]
倒數[數學學科術語]
倒數[數學學科術語]2.求一個整數的倒數,只須把這個整數看成是分母為1的分數,然後再按求分數倒數的方法即可得到。如12,即 ,再把 這個分數的分子和分母交換位置,把分子做分母,分母做分子,則有,即12倒數是 ;
3.說明:倒數是本身的數是1和-1,正數的倒數是正數,負數的倒數是負數,0沒有倒數;
倒數[數學學科術語]
倒數[數學學科術語]
倒數[數學學科術語]
倒數[數學學科術語]4.把0.25化成分數,即 ,再把 這個分數的分子和分母交換位置,把原來的分子做分母,原來的分母做分子.則是 ,再把 化成整數,即4.所以0.25是4的倒數。也可以說4是0.25的倒數.也可以用1去除以這個數,例如0.25,1/0.25等於4,所以0.25的倒數4;
倒數[數學學科術語]
倒數[數學學科術語]
倒數[數學學科術語]
倒數[數學學科術語]5.求 倒數的 約分問題。在求倒數過程中,可約分的要約分,如,約分以後成,最後將其分子分母調換位置,得到,即為的倒數;
因此 乘積是1的兩個數 互為倒數。
圖1.倒數的單位元投影演示
數論倒數
倒數[數學學科術語]而在數論中,還有數論倒數的概念,如果兩個數a和b,它們的乘積關於模m餘1,那么我們稱它們互為關於模m的數論倒數。比如 ,所以3是2關於5的數論倒數.數論倒數在中國剩餘定理中非常重要。而輾轉相除法提供了計算數論倒數的方法。
群論中倒數
近世代數中有群,域,環等概念,其中定義了抽象的乘法運算和單位元.同樣的,關於其乘法如果有乘法逆,同樣可以看成是倒數。
特點
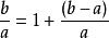
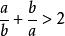
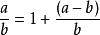
倒數的特點:一個正實數(1除外)加上它的倒數 一定大於2。
倒數[數學學科術語]
倒數[數學學科術語]
倒數[數學學科術語]
倒數[數學學科術語]
倒數[數學學科術語]
倒數[數學學科術語]
倒數[數學學科術語]
倒數[數學學科術語]
倒數[數學學科術語]
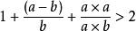
倒數[數學學科術語]理由: , 為倒數當 時 一定大於1,可寫為 因為 ,又因為 ,所以 ,所以 ,所以 ,所以一個正實數加上它的倒數一定大於2。
倒數[數學學科術語]當 時也一樣。
同理可證,一個負實數(-1除外)加上它的倒數一定小於-2。
倒數[數學學科術語]
倒數[數學學科術語]
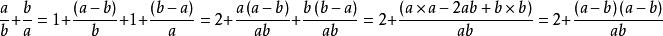
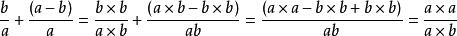
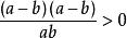
倒數[數學學科術語]求證:a,b均為非1正實數,且a不等於b,和互為倒數,。
倒數[數學學科術語]
倒數[數學學科術語]
倒數[數學學科術語]
倒數[數學學科術語]
倒數[數學學科術語]
倒數[數學學科術語]
倒數[數學學科術語]
倒數[數學學科術語]證明:因為,,所以,又因為a,b均為非1正實數,且a不等於b,所以,,所以,所以,即。
解題
在四則混合運算中,有時會用到倒數來解題,正規解起來很麻煩。
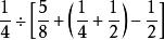
倒數[數學學科術語]例如:計算
第一種方法:
倒數[數學學科術語]解:原式的倒數=
倒數[數學學科術語]=
倒數[數學學科術語]=
倒數[數學學科術語]=
倒數[數學學科術語]=.
倒數[數學學科術語]所以,原式=.
第二種方法:
倒數[數學學科術語]解:=
倒數[數學學科術語]=
它的倒數為
倒數[數學學科術語]
倒數[數學學科術語]= 因為此處0不可以作為除數,顧用乘法代替。
倒數[數學學科術語]=
倒數[數學學科術語]=
倒數[數學學科術語]所以,原式=.
負倒數
倒數[數學學科術語]
倒數[數學學科術語]乘積為-1的兩個實數互為負倒數,實數x的負倒數記為或。一個實數的倒數和其負倒數是相反數,0沒有倒數或負倒數。
![倒數[數學學科術語] 倒數[數學學科術語]](/img/c/b62/nBnauM3XwYDM4ATN1czM0IDN0UTMyITNykTO0EDMwAjMwUzL3MzL0YzLt92YucmbvRWdo5Cd0FmL0E2LvoDc0RHa.jpg)
