簡介
當流體由於某種原因,處於一種非平衡狀態時,流體系統會通過某種機理,自發地產生一種過程,使流體趨向一個新的平衡態。比如,當流體各層間的速度不同時,粘性切應力將引起流層間動量傳遞,使各層速度趨向均勻。當流體各處溫度不同時,流體內將發生傳熱,使其溫度趨向均勻。當流體各處的密度不同時,擴散造成的質量傳遞使流體各處的密度趨向均勻。流體的這種自發地由非平衡態向平衡態轉變的性質,通常稱為流體的傳遞性質。
流體的傳遞性質,主要指動量傳遞、能量傳遞和質量傳遞。在巨觀上,這三種傳遞表現為粘滯現象、導熱現象和擴散現象,並遵循各自的規律。這種傳遞性質產生的原因是分子的無規則熱運動和分子間的相互碰撞。分子在無規則運動的過程中,將原先所在區域的流體巨觀性質輸運到另一區域,再通過分子間的相互碰撞,交換和傳遞各自的物理量,從而形成新的平衡。
動量傳遞
當流體流動時,若相鄰各層流體的速度不同,相鄰兩層流體間將互施作用力以阻礙流體層之間的相對運動,這種現象稱為粘滯現象。這種抵抗流體元形變的力稱為粘性應力。
牛頓粘性定律
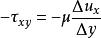
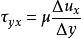
流體的粘滯現象遵循牛頓粘性定律。1687年,艾薩克·牛頓發表了一項有關剪下流動的實驗結果。該實驗裝置為兩塊浸沒在粘性流體中的平板。兩板平行放置,相距h由於平板面積足夠大,故平板四周邊界的影響可以忽略。固定下平板不動,使上平板在其自身平面內以恆定速度“向右運動,則上下兩平板間微元的速度分布如圖1.4所示。
傳遞性質
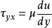
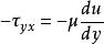
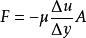
傳遞性質該實驗結果指出:對於多數流體,y = c平面的負方向側流體施加給正方向流體的粘性作用力F與速度梯度 和作用面積A成正比,即:
傳遞性質式中:
傳遞性質——垂直於速度梯度的粘性力的作用面積,該面與速度梯度垂直,m ;
傳遞性質——比例係數,稱為流體的動力粘性係數,簡稱粘度,Pa·s;
傳遞性質負號表示若 ,則y = c平面下方流體施加給該面上方流體粘性力的方向與x軸的負方向相同。
傳遞性質
傳遞性質
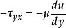
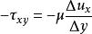
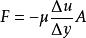
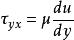
傳遞性質單位面積上的粘滯力稱為粘性應力,以 表示。則y = c平面正方向側流體對負方向側流體的粘性應力沿x軸方向的分量為 ,負方向側流體對正方向側流體的粘性應力沿x軸方向的分量為 。
傳遞性質
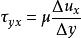
傳遞性質許多情況下,u和y的關係並非線性,可以用速度梯度 代替 ,於是有
傳遞性質
傳遞性質這就是著名的牛頓粘性定律。
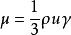
流體的動力粘性係數
動力粘性係數是流體的重要物理性質之一,它是流體組成和狀態((壓力、溫度)的函式。利用氣體動力學理論可粗略推算流體的動力粘性係數與流體分子運動微觀量之間的關係,即
傳遞性質式中
傳遞性質——流體的動力粘性係數,Pa·s;
傳遞性質——流體的密度,kg/m ;
傳遞性質——分子運動平均速度,m/s;
傳遞性質——分子運動平均自由程,m。
液體的動力粘性係數較氣體要大得多。隨溫度升高,液體分子間吸引力減小,動力粘性係數也減小。而氣體則隨溫度的增高,熱運動加劇,動量交換加快,粘性增大。通常情況下,壓力對粘性的影響很小,但在高壓作用下流體的動力粘性係數隨壓強的增加而增加。
牛頓型流體與非牛頓型流體
凡遵循牛頓粘性定律的流體稱為牛頓型流體,否則為非牛頓型流體。所有氣體和大多數低相對分子質量的液體均屬牛頓型流體,如水、空氣等;而某些高分子溶液、油漆、血液等則屬非牛頓型流體。非牛頓流體與牛頓流體具有不同的流動特性。
理想流體與粘性流體
自然界中存在的流體都具有一定的粘性,稱為實際流體或粘性流體。粘性的存在給流體運動的數學描述和處理帶來很大困難。因此,當流體的粘性較小(如水、空氣等),或各層流體運動的相對速度也不大時,所產生的粘性應力較之其他的作用力(如慣性力等)可忽略不計,這時可近似地把流體看成是無粘性的,以方便地求出流體運動規律。這種粘性係數等於零的流體稱為理想流體或無粘性流體。理想流體雖然事實上不存在,但這種抽象模型卻有著重大的理論和實際意義:在一些粘性並不起重要作用的情況下(如考慮繞流物體的升力問題),忽略粘性可簡化問題,所得到的結果與實際出入也不大;在粘性影響不可忽視的情況下(如繞流物體的大雷諾數流動),也可先採用理想流體模型分析遠離固體器壁處的運動規律,再考慮粘性對固體器壁附近流場的影響,最後加以修正。許多粘性流體力學問題往往都是以理想流體的運動規律為基礎,再進一步研究分析解決的。
能量傳遞
傳遞性質
傳遞性質
傳遞性質
傳遞性質
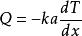
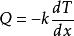
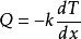
傳遞性質導熱現象遵循傅立葉(Fourier)定律。如圖1.5所示,設在流體中相距為 的上下平面上,溫度分別穩定地保持為 和 ,且 > ,由於分子的熱運動,將有熱量從上方到下方傳遞,且滿足
傳遞性質式中::
Q——單位時間內通過面積A的熱量,W;
傳遞性質A——熱量通過最多的面積,該面與溫度梯度垂直,m ;
k——流體的導熱係數,W/(m·K)。
負號表示熱量傳遞的方向與溫度升高的方向相反。
單位時間內通過單位面積的熱流量稱為熱流密度口(或稱面積熱流量),單位為W/m 。當物體的溫度僅在x方向發生變化時,熱流密度的表達式為
傳遞性質這就是傅立葉導熱定律。
質量傳遞
當流體的密度分布不均勻時,流體的分子會從高密度處向低密度處遷移,這種現象就是流體的擴散。流體的擴散包括自擴散和互擴散兩類。其中自擴散是指在單組分流體中,因流體自身密度差所引起的擴散;互擴散則是指在包含多組分的混合流體中,因各組分各自的濃度差而在其他組分中所引起的擴散。在解決實際的傳質問題時,互擴散比自擴散的作用更為重要。
傳遞性質
傳遞性質如圖1.6所示,假定流體的密度分布函式為 ,其梯度為 。由於分子的熱運動,流體將從上方向下方擴散,這種流體的擴散遵守菲克定律,即
傳遞性質式中
傳遞性質
傳遞性質——流體沿y軸方向的質量擴散通量(單位時間內通過單位面積的物質質量),kg/(m ·s);
D ——流體的擴散係數,m /s,量綱為L /t。
對於含有A、B兩種組分的混合流體,其菲克定律可表示為
傳遞性質
傳遞性質
傳遞性質式中,和分別表示組分A在組分B中的質量擴散通量和擴散係數。類似粘度係數和熱傳導係數,可以推算流體的擴散係數,即
傳遞性質