基本介紹
定義
傳遞關係
傳遞關係
傳遞關係
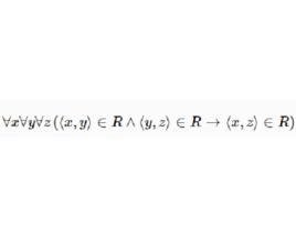
傳遞關係令R是A上的二元關係,對於A中任意的 ,若 ,且 ,則 ,則稱R具有 傳遞性(或稱R是 傳遞關係)。
傳遞關係R是A上的傳遞關係 。
例題解析
【 例1】設A={1,2,3,4},下列幾個是A 上的二元關係。
R={<1,1>,<1,2>,<2,1>,<2,2>,<3,4>,<4,1>,<4,4>};
R={<1,1>,<1,2>,<2,1>};
R={<1,1>,<1,2>,<1,4>,<2,1>,<2,2>,<3,3>,<4,1>,<4,4>};
R={<2,1>,<3,1>,<3,2>,<4,1>,<4,2>,<4,3>};
R=(<1,1>,<1,2>,<1,3>,<1,4>,<2,2>,<2,3>,<2,4>,<3,3>,<3,4>,<4,4>};
R={<3,4>}。
其中,哪些是傳遞關係?
傳遞關係
傳遞關係
傳遞關係
傳遞關係
傳遞關係
傳遞關係
傳遞關係解: 是傳遞的。對這些關係可以證明,若 和 屬於一個關係,則 也屬於這個關係,例如 傳遞的,因為 中只有<3,2>和<2,1>,<4,2>和<2,1>,<4,3>和<3,1>以及<4,3>和<3,2>是這樣的有序對,而<3,1>,<4,1>和<4,2>屬於。
傳遞關係同理可證是傳遞的。
傳遞關係雖然只有一個序對,但它沒有違反傳遞性的規則,故也是傳遞的。
傳遞關係
傳遞關係
傳遞關係不是傳遞的。因為,。
傳遞關係
傳遞關係
傳遞關係不是傳遞的,因為而。
傳遞關係
傳遞關係
傳遞關係不是傳遞的,因為,而。
傳遞關係在關係圖上特徵表現為如果結點u到v有邊,v到w有邊,則必有從u到w的邊。
傳遞關係的性質
傳遞關係設,則有:
傳遞關係
傳遞關係(1)若是傳遞的。則。
傳遞關係
傳遞關係(2)若是傳遞的,則是傳遞的。
傳遞關係
傳遞關係(3)若是傳遞的,則是傳遞的。
關係的判斷
綜上所述。判斷一個A上的二元關係具有哪些性質。可以從定義出發,或者觀察關係的關係圖和關係矩陣。對於一些簡單的特徵明顯的關係是容易判斷的,然而如何判斷任意一個關係具有哪些性質呢?下面給出判斷的形式化表示。
定理1 設R是A上的二元關係,則
傳遞關係(1) R是自反關係。
傳遞關係(2) R是反自反關係。
傳遞關係(3)R是對稱關係。
傳遞關係(4)R是反對稱關係。
傳遞關係(5)R是傳遞關係。
例2利用定理1判斷例1中各關係具有的性質。
傳遞關係解:5種性質都不具備,原因如下。
傳遞關係
傳遞關係
傳遞關係
傳遞關係(1),而,所以,故不具有自反性。
傳遞關係
傳遞關係(2),故不具有自反性。
傳遞關係
傳遞關係(3),故不是對稱的。
傳遞關係
傳遞關係(4),故不是反對稱的。
傳遞關係
傳遞關係(5),故不是傳遞的。
同理可以判斷:
傳遞關係是對稱的,不是自反的、反自反的、反對稱的、傳遞的;
傳遞關係是自反的、對稱的,不是反自反的、反對稱的、傳遞的;
傳遞關係是反自反的、反對稱的、傳遞的,不是自反的、對稱的;
傳遞關係是自反的、反對稱的、傳遞的,不是反自反的、對稱的;
傳遞關係是反自反的、反對稱的、傳遞的,不是自反的、對稱的 。
相關概念
二元關係
設A,B是兩個集合,R是A×B的任意一個子集,即
傳遞關係則稱R為從集合A到集合B的一個 二元關係,簡稱為從A到B的一個 二元關係。
傳遞關係若 稱R為 空關係。
若R=A×B,稱為 全關係。
傳遞關係當A=B時,稱二元關係 為A上的二元關係。
傳遞關係當A=B時,記 稱之為A上的恆等關係。
自反關係與反自反關係
傳遞關係
傳遞關係定義1令R是A上的二元關係,若對於A中的每個 都有 ,則稱R具有 自反性(或稱R是 自反關係)。
傳遞關係即R是A上的自反關係 。
傳遞關係
傳遞關係定義2令R是A上的二元關係,若不存在A中的 ,使得 ,則稱R具有 反自反性(或稱R是 反自反關係)。
傳遞關係即R是A上的反自反關係 。
自反的關係亦稱“具有反身性的關係”。對於類K中一個確定的關係R來說,若類K中任意的個體和它自身都具有關係R,則稱關係R在類K中為 自反的關係。若類K中沒有一個個體和它自己具有關係R,則稱關係R在類K中為 反自反的關係。若類K中有的個體和它自己具有關係R,而有的個體和它自己不具有關係R,則稱關係R在類K中為 非自反的 關係。例如,設類K為實數域,則等於關係“=”是自反的關係,大於關係“>”,小於關係“<”都是反自反的關係。“x的平方數是Y”的這種關係就是非自反的關係。因為0的平方數是0,1的平方數是1,即當x為0(或1)時,y也同時為0(或1),但當x為其它實數時,x的平方數y就不能再與x相同了。所以,“x的平方數是y”的這種關係就既不是自反的關係,也不是反自反的關係,而是非自反的關係 。

