預備知識
數項級數的定義
收斂級數
收斂級數
收斂級數給定一個數列 ,對它的各項依次用“+”號連線起來的表達式 “ ” 稱為數項級數,或稱為無窮級數,也可以簡稱為級數,其中 稱為數項級數的通項。
收斂級數
收斂級數上述數項級數常寫作: ,或者簡單記作 。
數項級數的前n項和
收斂級數
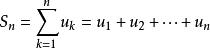
收斂級數數項級數的前 n 項和記作 ,且有 。
部分和數列
收斂級數
收斂級數
收斂級數稱數列 ,即數列 為數項級數 的部分和數列。
定義
收斂級數
收斂級數
收斂級數
收斂級數
收斂級數
收斂級數
收斂級數
收斂級數
收斂級數若數項級數 的部分和數列 收斂於 (即 ),則稱數項級數 收斂,即 為收斂級數,且稱 為數項級數 的和,記作 。
收斂級數分條件收斂級數和絕對收斂級數兩大類,其性質與有限和(有限項相加)相比有本質的差別,例如交換律和結合律對它不一定成立,收斂級數概念是柯西於1821年引進的。
基本性質
性質1
收斂級數
收斂級數
收斂級數
收斂級數設 k 為常數,如果級數 收斂於 ,則級數 也收斂,且收斂於 。
收斂級數
收斂級數
收斂級數證明:設級數 和 的部分和分別為 ,
收斂級數則有 ,
收斂級數
收斂級數
收斂級數於是 ,這就表明級數 也收斂,且收斂於 。
收斂級數
收斂級數
收斂級數
收斂級數註:由關係式 可知,如果數列 沒有極限且 ,那么 也沒有極限。由此我們得到結論:級數的每一項同乘一個不為零的常數後,它的收斂性不變。
性質2
收斂級數
收斂級數
收斂級數
收斂級數
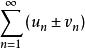
收斂級數如果級數 、 分別收斂於 ,則級數 也收斂,且收斂到 。
收斂級數
收斂級數
收斂級數證明:設級數 與 的部分和分別為 ,
收斂級數
收斂級數則級數 的部分和為 ,
收斂級數
收斂級數
收斂級數於是 ,這就表明了級數 收斂,且收斂於 。
注意:性質2說明,兩個收斂級數逐項相加或逐項相減之後仍為收斂級數。
性質3
在級數中去掉、加上或改變有限項,不會改變級數的收斂性。
證明:我們只需證明“在級數的前面部分去掉、加上有限項,不會改變級數的收斂性”,因為其他情形(即在級數中去掉、加上或改變有限項的情形)都可以看成在級數的前面部分先去掉有限項,然後再加上有限項的結果。
收斂級數以去掉k項為例,設級數為 ,
收斂級數去掉前 k 項,得到新的級數 ,
收斂級數
收斂級數
收斂級數記原級數前 k+n 項的和為 ,前 k 項和為 ,去掉前 k 項得到的新級數的前 n 項和為 ,
收斂級數則有 。
收斂級數
收斂級數
收斂級數易得當 時, 與 同時有極限,或者同時沒有極限,
收斂級數
收斂級數即級數 與 同時收斂或同時發散。
類似的,可以證明在級數前面加上有限項,不會改變級數的收斂性。
性質4
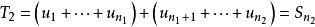
收斂級數若級數 收斂,則對此級數的項任意加括弧後所得的級數
收斂級數仍然收斂,且其和不變。
收斂級數
收斂級數
收斂級數證明:設級數 的前 n 項部分和 ,加括弧後所成的級數的前 k 項的和為 ,則有:
收斂級數,
收斂級數,
...
收斂級數,
收斂級數
收斂級數
收斂級數
收斂級數
收斂級數可見,數列是數列的一個子數列。由數列的收斂性以及收斂子列與其子列的關係可知:數列必定收斂,且有。這說明了加括弧後所成的級數收斂,且其和不變。
注意:如果加括弧後所成的級數發散,則原級數也發散。
性質5
收斂級數如果級數收斂,則必有。
級數收斂性
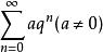
等比級數(幾何級數)
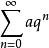
收斂級數等比級數 :
收斂級數
收斂級數
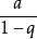
收斂級數(1)當 時,收斂,且收斂於;
收斂級數
收斂級數(2)當時,發散。
p級數
收斂級數p級數:
收斂級數(1)當 p>1 時,收斂;
收斂級數(2)當 p ≤1時,發散。

