定義
若數項級數各項的符號都相同,則稱它為同號級數。對於同號級數,只需研究各項都是由正數組成的級數,稱它為正項級數。如果級數的各項都是負數,則它乘以-1後就得到一個正項級數,它們具有相同的斂散性。
正項級數
正項級數換句話說,若 ,則稱 級數 為 正項級數。
收斂性判別
部分和數列判別法
正項級數
正項級數
正項級數
正項級數正項級數的部分和數列 是單調增加的數列即: , 收斂的充要條件是有界,因此有:
正項級數
正項級數
正項級數
正項級數
正項級數正項級數 收斂的充要條件是:它的部分和數列 有界,即存在某正數 ,對於一切正整數 有 。
比較原則
正項級數
正項級數
正項級數
正項級數
正項級數設 和 是兩個正項級數,如果存在某正數 ,使得對一切 都有 ,則有:
正項級數
正項級數(1)若級數 收斂,則級數 也收斂;
正項級數
正項級數(2)若級數發散,則級數也發散。
比式判別法(達朗貝爾判別法)
正項級數
正項級數
正項級數設 為正項級數,且存在某正常數 及常數 。
正項級數
正項級數
正項級數(1)若對一切 ,成立不等式 ,則級數 收斂;
正項級數
正項級數
正項級數(2)若對一切 ,成立不等式 ,則級數 發散。
比式判別法的極限形式:
正項級數
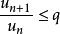
正項級數設 為正項級數,且 ,則有:
正項級數
正項級數(1)當 時,級數 收斂;
正項級數
正項級數
正項級數(2)當 或 時,級數 發散。
正項級數
正項級數
正項級數
正項級數
正項級數
正項級數注意:若 ,這時用比式判別法不能對級數的斂散性做出判別,因為它可能是收斂的,也可能是發散的,例如級數 和 ,他們的比式極限都是 ,但 是收斂的, 卻是發散的。
根式判別法(柯西判別法)
正項級數
正項級數
正項級數設 為正項級數,且存在某正常數 及正常數 。
正項級數
正項級數
正項級數(1)若對一切 ,成立不等式 ,則級數 收斂;
正項級數
正項級數
正項級數(2)若對一切 ,成立不等式 ,則級數 發散;
柯西判別法的極限形式:
正項級數
正項級數
正項級數
正項級數設
為正項級數,且,則:(1)當時,級數收斂;
正項級數
正項級數(2)當 ,級數 發散。
正項級數
正項級數
正項級數
正項級數
正項級數
正項級數注意:若 ,這時用根式判別法不能對級數的斂散性做出判別,因為它可能是收斂的,也可能是發散的,例如級數 和 ,他們的比式極限都是 ,但 是收斂的, 卻是發散的。
積分判別法
積分判別法是利用非負函式的單調性和積分性質,並以反常積分為比較對象來判斷正項級數的斂散性。
正項級數
正項級數
正項級數
正項級數設 為 上非負減函式,那么正項級數 與反常積分 同時收斂或同時發散。
典例
p級數
正項級數
正項級數
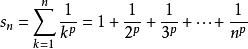
正項級數討論 級數 的收斂性,其中常數 。
解:分兩種情況討論,
正項級數
正項級數
正項級數
正項級數
正項級數(1)當 , 級數的各項大於等於調和級數 的對應項,即 ,由於調和級數發散,因此根據比較判別法可知,此時 級數發散。
正項級數
正項級數
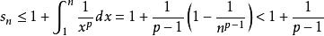
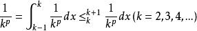
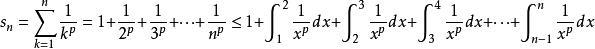
正項級數(2)當 時,記 級數的部分和為: .
正項級數
正項級數
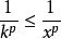
正項級數當 時,取 ,則有 ,所以有:
正項級數
正項級數從而
正項級數即有 。
正項級數
正項級數
正項級數
正項級數
正項級數這表明當時, 級數的部分和有界。因此,當時,級數收斂。
例2
正項級數討論正項級數的斂散性。
解:
正項級數
正項級數
正項級數(1)當時,對一切都有,因此級數發散。
正項級數
正項級數
正項級數
正項級數
正項級數(2)當時,對一切都有,而為收斂的等比數列,因此級數收斂。

