定義
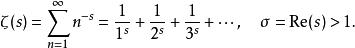
p級數定義. 對任意的正實數,稱下列級數
p級數
p級數
p級數
p級數
p級數
p級數
p級數
p級數
p級數
p級數
p級數為級數。顯然,當時,級數收斂,當,級數發散。當級數收斂時,記為級數收斂值。易知是上的光滑函式 。
特殊值
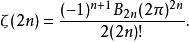
p級數1)對任意的正偶數,有
p級數
p級數
p級數其中,是第個伯努利數。對任意的正奇數,目前還沒有這樣的簡單表達式。
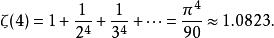
2)
p級數
p級數也稱為調和級數,應此,由上式可知調和級數是發散的。
3)
p級數4)
p級數5)
p級數6)
p級數歐拉乘積公式
p級數函式與素數之間有一重要的關係,即歐拉乘積公式,最早由數學家歐拉發現 。即為
p級數其中,表達式右邊為
p級數
p級數歐拉乘積公式表明函式和素數之間有千絲萬縷的聯繫。
由歐拉乘積公式,我們有
p級數
p級數
p級數當時,歐拉乘積公式左邊為調和級數,是發散的,歐拉乘積公式右邊為,這表明素數是無窮多個。除此之外,上述公式還有很多其它用處。如歐拉乘積公式可用於計算隨機選取的整數互質的漸近機率。
黎曼函式
p級數
p級數定義. 在複平面上,對任意,定義黎曼函式為
p級數或者由下述積分給出
p級數其中
p級數黎曼函式和黎曼猜想有關。而目前黎曼猜想是數學上還未解決的一個重要的猜想,其猜想是非平凡的零點的分布都位於複平面上 Re(s)=1/2 的直線上。進一步的了解參見黎曼猜想。

