定義
絕對收斂級數
絕對收斂級數
絕對收斂級數若任意數項級數的各項的絕對值組成的級數是收斂的,則稱級數是絕對收斂級數。
性質
1)絕對收斂的級數是收斂的,但是,收斂的級數不一定是絕對收斂的(非絕對收斂的收斂級數稱為條件收斂級數);
絕對收斂級數2)若級數絕對收斂,則任意交換它的各項順序後所得的新級數也絕對收斂,且其和不變;
絕對收斂級數
絕對收斂級數
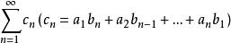
絕對收斂級數3)若級數和都絕對收斂,其和分別為A與B,則級數也絕對收斂,其和等於AB。
判別法
1)比較判別法
絕對收斂級數
絕對收斂級數設,
絕對收斂級數
絕對收斂級數
絕對收斂級數①若級數收斂,則級數也收斂,即絕對收斂;
絕對收斂級數
絕對收斂級數
絕對收斂級數②若級數發散,則級數也發散,即非絕對收斂。
2)比較判別法的極限形式
絕對收斂級數設
絕對收斂級數
絕對收斂級數
絕對收斂級數①若,則級數與級數同時斂散;
絕對收斂級數
絕對收斂級數
絕對收斂級數②若,則級數收斂時,級數也收斂;
絕對收斂級數
絕對收斂級數
絕對收斂級數③若,則當級數發散時,級數也發散。
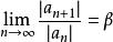
3)比值判別法
絕對收斂級數設
絕對收斂級數
絕對收斂級數①當時,級數絕對收斂;
絕對收斂級數
絕對收斂級數
絕對收斂級數
絕對收斂級數
絕對收斂級數②當時,級數發散,級數也發散。特別地,當時,級數發散;
絕對收斂級數③當時,比值判別法失效(即無法通過比值判別法判斷級數是否絕對收斂)。
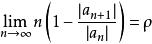
4)Raabe判別法
絕對收斂級數設
絕對收斂級數
絕對收斂級數①當時,級數收斂;
絕對收斂級數
絕對收斂級數②當時,級數發散。

