以2l為周期的函式的傅立葉級數
正弦級數和餘弦級數
正弦級數和餘弦級數設 是以 為周期的函式,則其傅立葉係數為
正弦級數和餘弦級數
正弦級數和餘弦級數所以,其傅立葉級數為
正弦級數和餘弦級數
正弦級數和餘弦級數
正弦級數和餘弦級數若函式 在 上按段光滑,則由收斂定理得
正弦級數和餘弦級數正弦級數與餘弦級數
奇函式的傅立葉級數—正弦函式
正弦級數和餘弦級數
正弦級數和餘弦級數
正弦級數和餘弦級數
正弦級數和餘弦級數
正弦級數和餘弦級數
正弦級數和餘弦級數
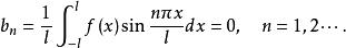
正弦級數和餘弦級數設 是以 為周期的奇函式,或是定義在 上的奇函式,則在 上, 是奇函式, 是偶函式。因此, 的傅立葉係數是
正弦級數和餘弦級數
正弦級數和餘弦級數
正弦級數和餘弦級數所以當 為奇函式時,它的傅立葉級數只含有正弦函式的項,即
正弦級數和餘弦級數
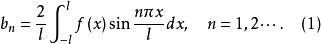
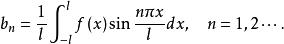
正弦級數和餘弦級數其中 如(1)所示。(2)式右邊的級數稱為正弦級數。
正弦級數和餘弦級數
正弦級數和餘弦級數當 ,則奇函式 所展開成的正弦級數為
正弦級數和餘弦級數其中
正弦級數和餘弦級數偶函式的傅立葉級數—餘弦級數
正弦級數和餘弦級數
正弦級數和餘弦級數
正弦級數和餘弦級數
正弦級數和餘弦級數
正弦級數和餘弦級數
正弦級數和餘弦級數
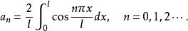
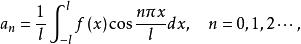
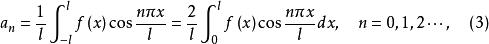
正弦級數和餘弦級數設 是以 為周期的偶函式,或是定義在 上的偶函式,則在 上, 是偶函式, 是奇函式。因此, 的傅立葉係數是
正弦級數和餘弦級數
正弦級數和餘弦級數
正弦級數和餘弦級數於是 的傅立葉級數只含有餘弦函式的項,即
正弦級數和餘弦級數
正弦級數和餘弦級數其中 如(3)所示。(4)式右邊的級數稱為餘弦級數。
正弦級數和餘弦級數
正弦級數和餘弦級數當 ,則偶函式 所展開成的餘弦函式為
正弦級數和餘弦級數其中
正弦級數和餘弦級數套用
正弦級數和餘弦級數
正弦級數和餘弦級數定義在 上的函式 展成正弦級數。
具體步驟 :
正弦級數和餘弦級數
正弦級數和餘弦級數
正弦級數和餘弦級數
正弦級數和餘弦級數(1)奇延拓:在 上補充定義得 ,使得 在 為奇函式。
正弦級數和餘弦級數(2)對 作周期延拓。
正弦級數和餘弦級數(3)將經過奇延拓與周期延拓後的函式 展成傅立葉級數
正弦級數和餘弦級數其中
正弦級數和餘弦級數
正弦級數和餘弦級數
正弦級數和餘弦級數定義在上的函式展成餘弦級數。
具體步驟:
正弦級數和餘弦級數
正弦級數和餘弦級數
正弦級數和餘弦級數
正弦級數和餘弦級數(1)偶延拓:在上補充定義得到,使得在為偶函式。
正弦級數和餘弦級數(2)對作周期延拓。
正弦級數和餘弦級數(3)將經過偶延拓與周期延拓後的函式展成傅立葉級數
正弦級數和餘弦級數其中
正弦級數和餘弦級數