簡介
在數學中,反三角函式(偶爾也稱為弓形函式(arcus functions),反向函式(antitrigonometric functions)或環形函式(cyclometric functions))是三角函式的反函式(具有適當的限制域)。 具體來說,它們是正弦,餘弦,正切,餘切,正割和輔助函式的反函式,並且用於從任何一個角度的三角比獲得一個角度。 反三角函式廣泛套用於工程,導航,物理和幾何。
反餘弦函式(反三角函式之一)為餘弦函式y= cosx(x∈[-½π,½π])的反函式,記作y=arccosx或cosy=x(x∈[-1,1]).。由原函式的圖像和它的反函式的圖像關於一三象限角平分線對稱可知餘弦函式的圖像和反餘弦函式的圖像也關於一三象限角平分線對稱。
公式
用x表示自變數,用y表示因變數(函式值)時,餘弦函式
反餘弦函式的反函式叫做反餘弦函式,記作
反餘弦函式圖像
由原函式的圖像和它的反函式的圖像關於一三象限角平分線對稱,知餘弦函式的圖像和反餘弦函式的圖像也關於一三象限角平分線對稱。
反餘弦函式
反餘弦函式作圖:先畫出函式在上的圖像,用平板玻璃或透明紙描好圖像,翻轉過來。(如圖所示)
反餘弦函式圖像性質
定義域
反餘弦函式的定義域為
反餘弦函式值域
反餘弦函式的值域
反餘弦函式單調性
反餘弦函式是單調遞減函式。
證明。法一:
因為
反餘弦函式證畢。於是餘弦函式在該區間上為減函式。所以,由反函式的性質,反餘弦函式為減函式。
奇偶性
反餘弦函式是非奇非偶函式。
因為反餘弦函式圖像不關於y軸對稱,故不是偶函式;又因為反餘弦函式圖像不關於原點對稱,故不是奇函式。
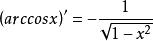
導函式
反正弦函式的導函式
反餘弦函式運算性質
反三角函式的三角函式如下式所示。 推導它們的一個快速方法是通過考慮直角三角形的幾何形狀,其長度為1的一側,長度x的另一側(0和1之間的任何實數),然後套用畢達哥拉斯定理和三角比。
反餘弦函式
反餘弦函式
反餘弦函式
反餘弦函式反三角函式之間的關係
互補角度:
反餘弦函式負參數:
反餘弦函式倒數參數:
反餘弦函式
反餘弦函式在微積分
反三角函式的導數
z的複數值的導數如下 :
反餘弦函式
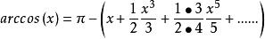
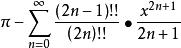
反餘弦函式無窮級數
反餘弦函式
反餘弦函式套用
找到一個直角三角形的角度
當三角形邊的長度已知時,當嘗試確定直角三角形的剩餘兩個角度時,反三角函式是有用的。 回想起正三角形的正確定義,例如,
反餘弦函式
反餘弦函式
反餘弦函式通常,斜邊是未知的,需要使用畢達哥拉斯定理在使用反正弦或反曲線之前進行計算:,其中h是斜邊的長度。 在這種情況下,反正切是有用的,因為斜邊的長度是不需要的。
反餘弦函式例如,假設當屋頂耗盡20英尺時,屋頂會下降8英尺。 屋頂與水平面形成一個角度θ,其中θ可以如下計算:
反餘弦函式數值精度
對於0和π附近的角度,秋水仙素受到病態調節,從而計算出計算機實現中精度降低的角度(由於位數有限). 類似地,對於π/ 2和π/ 2附近的角度,反正弦不準確。

