概述
在三角學中,反餘弦被定義為一個角度,也就是反余值的反函式,然而餘弦函式不是雙射且不可逆的而不是一個對射函式(即多個值可能只得到一個值,例如1和所有同界角),故無法有反函式,但我們可以限制其定義域,因此,反餘弦是單射和滿射也是可逆的,另外,我們也需要限制值域,且限制值域時,不能和反正弦定義相同的區間,因為這樣會變成一對多,而不構成函式,所以我們將 反餘弦函式的值域定義在[0,π]。另外,在原始的定義中,若輸入值不在區間[-1, 1],是沒有意義的,但是三角函式擴充到複數之後,若輸入值不在區間[-1, 1],將傳回複數。
命名
反餘弦的數學符號是arccos,常記作cos 。在不同的程式語言和有些計算器則使用acos或acs。
定義
原始的定義是將餘弦函式限制在的反函式。
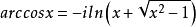
在復變分析中,反餘弦是這樣定義的:
反餘弦這個動作使反餘弦被推廣到複數。
性質
| 性質 | |
| 奇偶性 | 非奇非偶函式 |
| 定義域 | [-1,1] |
| 到達域 | [0,π] |
| 周期 | N/A |
| 特定值 | |
| x=0 | π/2 |
| x=+∞ | N/A |
| x=-∞ | N/A |
| 最大值 | π |
| 最小值 | 0 |
| 其它性質 | |
| 漸近線 | N/A |
| 根 | 1 |
反餘弦函式是一個定義在區間[-1,1]的嚴格遞減連續函式。
反餘弦
反餘弦
反餘弦其圖形是關於點對稱的,所以滿足;
反餘弦反餘弦函式的導數是:
反餘弦函式的不定積分是:
反餘弦
