盛金簡介
范盛金解一元三次方程問題是世界數學史上較著名且較為複雜而又有趣味的問題,虛數概念的引進、複數理論的建立,就是起源於解三次方程問題。1545年,義大利學者卡爾丹(Cardano,1501—1576,有的資料譯為卡爾達諾)發表了三次方程X^3+pX+q=0的求根公式,卡爾丹是第一個把負數寫在二次根號內的數學家,並由此引進了虛數的概念,後來經過許多數學家的努力發展成了複數的理論。
用根式解一元三次方程,雖然有著名的卡爾丹公式,並有相應的判別法,但是使用卡爾丹公式解題比較複雜,缺乏直觀性。
三次方程套用廣泛,如:電力工程、水利工程、建築工程、機械工程、動力工程、化學工程、生物工程、航天工程、軟體工程、軍事工程、國防科學技術、電子科學與技術、數學研究、數學教學、數學文化、數學思維品質培養、數學史教育、數學美學教育等,這些領域都有用到解三次方程問題。
1969年,范盛金讀國中時學習和掌握了解一元二次方程的知識後便開始對解一元三次方程問題感興趣。
1978年,范盛金當中學數學教師後,便開始思考著如何研究出比卡爾丹公式更實用的求根公式問題。
1988年,范盛金經過深入研究和探索,用數學美的方法,推導出一套用重根判別式A=b^2-3ac;B=bc-9ad;C=c^2-3bd和總判別式Δ=B^2-4AC構成最簡形式的、方便記憶的、解題效率高的,且體現數學有序、對稱、和諧與簡潔美的,比卡爾丹公式更實用的一元三次方程求根公式——盛金公式,並建立了簡明的、直觀的、實用的新判別法——盛金判別法,同時提出了盛金定理,盛金定理清晰地回答了解三次方程的疑惑問題,且很有趣味。
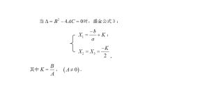
特別是:當Δ=B^2-4AC=0時,盛金公式③:X⑴=-b/a+K;X⑵=X⑶=-K/2,其中K=B/A,(A≠0)。簡明易記,不存在開方(此時的卡爾丹公式仍存在開立方)。盛金公式③手算解題效率高。
盛金公式③被稱為超級簡便的公式。
盛金公式與判別法及定理形成了一套完整的、簡明的、實用的、具有數學美的解三次方程的理論體系,對研究解高次方程問題及提高解三次方程的效率作出了貢獻。
盛金生平
范盛金,曾用名范聖芝。湖南常寧人,男,漢族,1955年1月8日生,1970年3月參加工作,1991年7月海南師範學院數學系(函授)畢業,1994年10月加入中國共產黨。
范盛金主持金富士公司春晚聯歡,公布一名員工抽中二等幸運獎(25寸彩電)。1970年3月—1976年2月,先後在廣州軍區海南生產建設兵團四師十團九連、武裝連當戰士(海南生產建設兵團於1975年改制為海南農墾,團級單位改制為農場),1976年2月後,在海南國營龍江農場雄英隊當工人、炊事班長。
經歷了“文化大革命”的十年動亂後,1978年,中國迎來了科學的春天,中國的教育開始走上正軌,也就是1978年6月,正值金色年華(23歲)的范盛金經考試和培訓後於1978年9月走上了教育工作崗位,先後在海南國營龍江農場雄英中學、查山中學、東方中學任化學教師、數學教師、兼任理科教研組長。
范聖芝當中學教師後改名為范盛金。盛,旺盛;金,金色。意為要珍惜旺盛的金色年華,更加勤奮地學習和研究。
范盛金(2012年,近距離攝於東莞石龍現代廣場)
范盛金(2012年,攝於東莞石龍火車站)1988年上半年,33歲的范盛金完成盛金公式的推導,盛金公式解題法於1989年12月發表,那年范盛金是35歲,也正是旺盛的金色年華。
加入黨組織後,因工作需要,1996年5月,被組織上安排從事政工工作,任海南國營龍江農場五區政工幹事、助理政工師,兼任27隊黨支部書記。
2001年6月,范盛金的弟弟在廣東惠州市創建一家五金精密表業廠,他於2001年7月辭去國企單位工作,前往廣東惠州協助弟弟辦廠,任行政人事主管,負責行政人事、後勤的管理工作。他弟弟的工廠各方面都走上正軌後,為了避免家族式的管理帶來的弊病,2001年11月後,到廣東省東莞市金富士食品有限公司先後任人事部主管、行政部經理。
東莞市石碣電視台於2002年4月15日到東莞市金富士食品有限公司採訪了范盛金和錄製節目,並作“做文明員工,創文明企業”的專題報導。
2002年8月,由范盛金牽頭組織、策劃、布置的東莞市金富士食品有限公司參展東莞市2002年民營經濟博覽會(首屆民博會),榮獲2002年民營經濟博覽會組委會頒發的“最佳展商獎”。
2011年11月中旬,黃岡立傳教育發布訊息:“數學家范盛金從2011年11月起任黃岡立傳教育形象代言人,並領銜黃岡立傳教育的教研工作。”黃岡立傳教育是東莞市八大品牌教育機構之一。
范盛金(攝於招生信息封面)《南方都市報》(2011年11月30日)“2011年東莞金牌教育評薦獲獎特刊”報導:“南都‘東莞金牌教育評薦活動’圓滿結束,共有13家學校和培訓機構棒金”。“其中獲得金牌課外輔導機構的有黃岡立傳教育、……”。“黃岡立傳教育——金牌課外輔導機構。頒獎詞:依託湖北黃岡教育資源,在教育人鄭志超的帶領下,由著名數學家范盛金等頂尖名師領銜,黃岡立傳教育讓各分校的學生成績進步率達到98%,優秀率達到80%,在東莞課外輔導行業中譜寫了一個傳奇。”
范盛金(東莞石龍現代廣場)
范盛金(2012年,攝於東莞石龍公交站)
范盛金(東莞石龍現代廣場全景)
范盛金(2012年攝於東莞石龍匯聯步行街)
范盛金(2012年攝於東莞石龍匯聯步行街文化廣場)
范盛金(2012年攝於東莞石龍匯聯步行街外景)
范盛金(東莞石龍公車)慈祥父母
生父:陳光富,1925年5月25日生,江西省(泰和縣)小龍鎢礦退休幹部;
養父:范雲豐,1924年3月6日生,廣東省(始興縣)石人嶂鎢礦退休工人;
母親:譚輝容,1930年12月17日生,廣東省(始興縣)石人嶂鎢礦家屬。
范盛金的母親譚輝容原來是出身一個地主家庭,由於他的外公好賭,被幾個人有預謀地配合與他外公開賭,瓜分了他外公的田地和林山,一夜之間,譚輝容由一個地主富家小姐落為貧窮農家女兒。
譚輝容的父親賭博輸掉財產後,她由一個地主家庭落為貧農家庭。解放初期(1950年8月)劃成份時被劃為貧農成份,成了出身根紅苗正的家庭,歷次運動也就沒有成為批鬥對象,這也許是因禍得福。由父母包辦,譚輝容給了一個中農家庭的陳光富做童養媳,陳光富就是范盛金的生父。
1955年1月8日,范盛金出生後,取名叫陳芝生。芝,芝麻,芝麻開花節節高;芝,芝蘭,芝蘭有秀。意為前程美好,品德高尚,成為優秀子弟。
由於文化的差距與思想觀念以及性格的不合,加之是舊社會父母包辦的婚姻,在陳芝生滿一歲那年,陳光富與譚輝容離婚。幾個月後,譚輝容帶著陳芝生嫁給了廣東省石人嶂鎢礦工人范雲豐,陳芝生隨養父姓,改名范聖芝。
范雲豐是廣東省石人嶂鎢礦的開礦元老,雖然是工人,但深受幹部職工的尊敬。開礦初期,范雲豐與60名湖南籍的新工人到石人嶂鎢礦參加工作,新工人一致選舉范雲豐當隊長,在大躍進的年代,范雲豐帶領新工人拚命工作,由於大躍進的年代勞動保護條件還不是很好,范雲豐患上了職業病(矽肺病)。1967年,組織上照顧把他調到地面安排到礦辦農場當負責人,1968年礦辦農場其實就是五七幹校勞動基地。當時正是“文革”高潮,有些被打倒靠邊站的走資派下放礦辦農場勞動,范雲豐對他們一視同仁,並幫助解決一些實際困難,如安排一些體力強度不是很重的工作,這在當時是要冒著被打成保皇派的風險,因為當時的運動形勢是經常開會批鬥走資派,工人們的思想比較激進。好些工人要求范雲豐上台代表工人發言批鬥走資派,但他沒有上台發過一次言,一直保持沉默。他心裡明白,組織和領導對他是關懷的,只有感恩,沒有理由發言批鬥他們。
1969年,根據有關政策規定,年僅45歲的范雲豐享受全職休養和良好的醫療護理待遇。在接近70歲時,范雲豐很感激地說:“我很感謝黨,給了我良好的醫療護理待遇,人生70古來稀,得這種病的人能活到70歲不多,我很滿足了”。1994年3月4日,范雲豐在廣東省石人嶂鎢礦職工醫院羅壩療養所安詳謝世,享年70歲。
范盛金的生父陳光富現已85歲高齡,身體健康,思維敏捷。兒子在父親眼裡再成熟仍然是兒子,有時他寫信給范盛金談做人的道理,如做人心胸要寬,要嚴於律已,要寬以待人,要高風亮節;尤其愛談健身的知識,如吃什麼對身體有益,可以常吃,吃什麼對身體不利,儘量少吃,以及一些輕微常見病的個人處理的一些方法和經驗體會;有時還會談點馬列哲學。范盛金讀信時,最欣賞他生父的字型,陳光富寫的字主幹有骨有節,收筆飄逸,似如青松勃發的神采。范盛金平時也有練字,他覺得自己寫的字還算過得去,可是與他生父寫的字相比,范盛金就覺得自己寫的字顯得平淡而無神韻。
譚輝容原來是廣東省石人嶂鎢礦職工,范盛金的弟弟出生後,譚輝容辭職在家照顧和培養孩子。譚輝容是范盛金的第一任全職教師,使范盛金從小就受到了良好的親職教育。
范盛金的母親現已80歲高齡,是一位慈祥而又思維敏捷的老人,有時范盛金和他的母親在市場買點水果之類的東西,她老人家在算數方面清晰準確,范盛金很欽佩地開玩笑說:“在市場買東西,算數我還不如我媽媽,虧我還是一個數學高手呢。”
中學恩師
語文老師、班主任:朱源星,1966年畢業於海南師範學院中文系。教師立法第一人。原廣東省人大教科文衛委員會黨支部書記、辦公室主任;
數學老師:羅建強,1966年畢業於華南師範學院數學系。原廣東省石人嶂鎢礦職工子弟中學教師。
1968—1970年,仍然是“文化大革命”動亂的高潮期,全國的學校不能正常上課。范聖芝所在的廣東省石人嶂鎢礦職工子弟中學也一樣不能正常上課,有許多學生的學業荒費了。那時,石人嶂鎢礦職工子弟中學開展“三三制”活動,即中學生要有三分之一的時間到農村與貧下中農三同(同吃、同住、同勞動),接受貧下中農再教育,開展憶苦思甜活動;三分之一的時間到工廠與工人同學習、同勞動(同學習就是開展早請示、晚匯報活動,具體的做法就是上班之前工人們用半個小時在毛主席像前向毛主席請示,下班後工人們用半個小時在毛主席像前向毛主席匯報);三分之一的時間在學校,在學校要開展革命大批判活動,開展跳忠字舞活動,要開展建校勞動,真正用來上課學習知識的時間很少。那個忠字海洋的革命年代,對科學知識確實是淡化了,大氣候環境不好,學生要學到一點知識確實是不容易。學生要學到一點知識只有靠自覺和有良好的親職教育。
所慶幸的是,范聖芝的養父范雲豐很有遠見,他認為“文革”的教育模式是害人子弟,他的養父言語不多,為人處事穩重,深知“文革”不能隨意發表個人觀點,否則言語有失會上綱上線,弄不好會成為批鬥對象,只有管教好自己的孩子,規定不許自己的孩子參加文革大串聯活動,晚上不許出門,偶爾看電影要有家長陪同方可(那個年代私人家庭沒有電視),晚上必須在家讀書、看書、學習,不明白的問題向老師請教。
更慶幸的是他有兩位好老師,語文老師、班主任朱源星,數學老師羅建強。
1969年夏季,石人嶂鎢礦職工子弟中學的學生在班主任朱源星老師的帶領下,來到礦區附近的始興縣頓崗鎮寨東大隊與貧下中農“三同”一個月,接受貧下中農再教育,開展憶苦思甜活動。在“三同”一個月的日子裡,朱老師與范聖芝同睡一床,這在幾十個學生中,顯得朱老師對范聖芝更為關愛。范聖芝勤學好問,白天與貧下中農同勞動,晚上睡覺前向朱老師請教寫作知識,朱老師耐心輔導,范聖芝寫的一篇談憶苦思甜的感想作文在用到“舊社會天下烏鴉一般黑,地主階級殘酷剝削貧下中農,……。”朱老師說:“把舊社會比喻為天下烏鴉一般黑,這個詞用得好。”經朱老師輔導修改後,范聖芝寫的這篇談憶苦思甜的感想作文在班上作為範文。
范聖芝對數學知識更是有濃厚的興趣,上數學課他特別認真聽講,做作業工整,每次作業的評語都打一個“好”(作業本至今保存完好,是珍貴的紀念物)。那時,反對分數掛帥,作業一般不打分,只有測試才打分。測試的題量不多,一般只有5道題左右,每題20分左右,范聖芝每次測試都達95—100分,數學成績全班長期排名第一。其他同學大多數不及格,0分的也不少(基礎不好的學生很容易得0分,因為都是大題,沒有選擇與填空題)。測試不及格或得0分,不會受到老師任何批評,多數學生也不會以此為恥,反而覺得無所謂,很正常,因為那時紅衛兵小將可以造老師的反,當時處在“文革”的大氣候環境,上層視有造反精神的紅衛兵小將思想最紅,學習成績不是重要的。
范聖芝碰到不懂的數學問題就向羅老師請教,羅老師精心輔導,讓范聖芝掌握了解二次方程的知識和三角函式的知識。范聖芝好奇心強,問:“掌握解二次方程的知識後,下一步就可以學會和掌握解三次方程的知識了?”然而,羅老師說:“解三次方程問題,就是大學數學系的學生也不容易撐握。”范聖芝找到課外讀物,對卡爾丹公式有了一定的了解和認識,用卡爾丹公式解三次方程確實是解題過程較複雜,不太好掌握,解題速度較慢。能否找到比卡爾丹公式更實用的解三次方程的公式呢?這個問題一直埋藏在他的心裡。那時他還沒有能力解決這個問題,但他知道,只要紮實打好數學基礎,才有能力探研著名難題。因而范聖芝把學習數學當成樂趣,為了探研出比卡爾丹公式更實用的公式而紮實地打好數學基礎。
1975年,祖國大地的廣播頻繁地播放毛主席的“世上無難事,只要肯登攀”這句名詩。范聖芝銘記這句名詩,把“世上無難事,只要肯登攀”作為座右銘。
1978年,祖國迎來了科學的春天,23歲的范聖芝走上中學數學教師的工作崗位,正是旺盛的金色年華,他倍加珍惜金色年華,加倍努力學習和研究。
范盛金當中學數學教師後,探討出了中學生容易掌握的卡爾丹公式的簡潔證明方法,撰寫了:“運用韋達定理證明卡爾丹公式之探討”發表在《教學月刊》(中學理科版),1990年第3期(國內統一刊號:CN33-1046),范盛金,運用韋達定理證明卡爾丹公式之探討。
卡爾丹公式是世界著名的公式,具有權威性,可是用卡爾丹公式解三次方程確實是比較複雜,范盛金相信權威,但他不迷信權威,如何能找到比卡爾丹公式更實用的一元三次方程求根公式?范盛金潛入數學的海洋,數學的海底世界豐富多彩,數學美無處不存在,范盛金構想著用數學美的方法來研究和推導出比卡爾丹公式更為實用的一元三次方程求根公式,並為實現這個構想而努力探索。
1986年,范盛金提出猜想,可以用
重根判別式:
A=b^2-3ac;
B=bc-9ad;
C=c^2-3bd,
總判別式:
Δ=B^2-4AC。
來構成簡明實用的一元三次方程新求根公式,並建立新判別法。
為了解決這個猜想,范盛金借用計算器(當時用的是比較低檔的計算器,沒有用科學計算器,那時海南農場沒有科學計算器出售,因為沒有人去用它)用一些數據來進行分析。計算器可是幫了大忙,從一些數據中產生了靈感,從而判斷存在簡明實用的一元三次方程新求根公式,問題是如何找到和證明。
1988年,范盛金實現了這一構想,完成了一元三次方程新求根公式即盛金公式的推導,並建立了新判別法即盛金判別法,同時提出了盛金定理。
大學恩師
數學教授:黃國泰,原海南省教育廳長;
數學教授:符霖,原海南師範學院教授;
數學老師:汪一湘,原《海南師範學院學報》(自然科學版)責任編輯。
1987年12月上旬,范盛金把研究得出的結論“新判別法和新公式”寄到《海南師範學院學報》編輯部,並說明推導過程較複雜,因此沒有寄來,諮詢是否有發表的意義。1988年元月18日,編輯部汪一湘老師復函:
范聖芝同志:
你好!你寄來的“一元三次方程的根的新判別法及其新解法”一文已收閱。我們認為該判別法是有一定意義的。但是我們沒有收到新判別法和新公式的證明,因而不知道你的論斷是否有依據。因此,請你把結果的依據一併證明(不論多繁雜,也不要理篇幅)寄給編輯部。多謝!
海南師範學院學報編輯部
汪一湘
元月18日
范聖芝是1981年改名范盛金,范盛金這個名已經用了7年,范盛金是想用過去的名范聖芝來作為筆名發表這篇論文。范盛金的朋友開玩笑建議用范盛金這個名,因為有實用價值的數學公式在實際套用中人們會冠上發明者的名,應該要有一個好聽的名,聖芝公式不好聽,盛金公式較好聽。范盛金覺得有道理,後來就用范盛金這個名發表這篇論文。
在投稿諮詢之前,范盛金不認識汪一湘老師,也不認識黃國泰教授和符霖教授。1989年寒假期間,黃國泰教授和符霖教授來函授班上數學課,這樣才開始認識。因為之前范盛金曾寫信到《海南師範學院學報》編輯部諮詢發表論文(新公式與新判別法)之事,當時黃國泰教授主管《海南師範學院學報》(自然科學)的工作(汪一湘老師是責任編輯),所以黃國泰教授已經知道了范盛金,但黃教授還沒有見過范盛金,黃教授第一次到函授班為學員上數學課時,第一個問題就是:“請問哪一位是范盛金?”有的同學回答:“范盛金還沒有到。”平時范盛金是很守時的,不巧因交通的原因,范盛金這次遲到了五分鐘。課後范盛金的同學把這件事告訴了范盛金,同學們說:“黃教授很關心你,上課的第一件事就是問哪一位是范盛金。”范盛金聽了後很感動,知道這是黃教授對他的關心,是對人才的關注,是對科研的支持。課間休息時,范盛金把研究情況向黃教授作了匯報,黃教授很支持。范盛金還向黃教授談了關於研究根式解一元五次方程問題的想法,黃教授說:“要邊學習,邊研究;邊研究,邊學習。要謙虛。如果找到了根式表達的一元五次方程的一般式求根公式,那么就證明了阿貝爾定理有漏洞。”黃教授給范盛金的啟發教育,使范盛金受益良多。符教授在繁忙的工作中抽空對范盛金的這篇論文審稿並按發表論文的格式要求作了具體的修改和指導並與黃教授推薦發表。
1989年元月13日汪一湘老師給范盛金的復函:
范盛金老師:
你好!你的“一元三次方程的新求根公式和新判別法”一文的第二次修改稿早已收到,並已揀字排版,由於印刷廠方面的原因,稿件不能及時印出,估計開學後不久就能和你見面,望諒。我們這次的稿子很擠,頁數高達一百多頁(平時只有80多頁),按理是優先本校教師,考慮到你的熱情和鑽研科學的精神,我們增頁,以示鼓勵。望你更上一層樓。
關於寄一些書的問題,由於新華書店也很少有高等教育的書,因此很難如願。如果你有空來海口,屆時我再給你想辦法借一些給你。
祝好!
汪一湘
13/元月
“一元三次方程的新求根公式和新判別法”一文排版後,汪一湘老師親自校對。汪老師在一次意外的事故離開了我們,范盛金心裡一直銘記汪老師對他的幫助和關懷,精心地保管好汪老師給他的信件,作為最珍貴的永久紀念。
學術成就
范盛金研究出比世界著名的卡爾丹公式解題法更為實用的“三次方程新解法——盛金公式解題法”:
盛金公式1
盛金公式2
盛金公式3
盛金公式4
盛金判別法
盛金定理公式特點
范盛金(2011年)當Δ=0(d≠0)時,使用卡爾丹公式解題仍存在開立方。與卡爾丹公式相比較,盛金公式的表達形式較簡明,使用盛金公式解題較直觀、效率較高;盛金判別法判別方程的解較直觀。重根判別式A=b^2-3ac;B=bc-9ad;C=c^2-3bd是最簡明的式子,由A、B、C構成的總判別式Δ=B^2-4AC也是最簡明的式子(是非常美妙的式子),其形狀與一元二次方程的根的判別式相同;盛金公式②中的式子(-B±(B^2-4AC)^(1/2))/2具有一元二次方程求根公式的形式,這些表達形式體現了數學的有序、對稱、和諧與簡潔美。
盛金判別法具有一元二次方程根的判別法的表達形式,簡明易記、解題直觀,所體現的數學美,令人驚嘆!
盛金公式具有可靠性、直觀性、簡潔性、準確性、高效性、廣泛性、實用性。
特別是盛金公式③,簡明易記,不存在開方(此時的卡爾丹公式仍存在開立方),手算解題效率高。
盛金公式③被稱為超級簡便的公式。
發表刊物
“三次方程新解法——盛金公式解題法”於1989年12月發表在《海南師範學院學報(自然科學版)》(第2卷,第2期;1989年12月,中國海南。國內統一刊號:CN46-1014),第91—98頁。范盛金,一元三次方程的新求根公式與新判別法。(NATURALSCIENCEJOURNALOFHAINANTEACHERESCOLLEGE,HainanProvince,China.Vol.2,No.2;Dec,1989),Anewextractingformulaandanewdistinguishingmeansontheonevariablecubicequation.FanShengjin.PP•91—98.
精彩例題
例1:解方程X^3-67.4X^2+1417.92X-9539.712=0
(用科學計算器輔助運算)
解:a=1,b=-67.4,c=1417.92,d=-9539.712。
A=289;B=-9710.4;C=81567.36,
Δ=0。
根據盛金判別法,此方程有三個實根,其中兩個相等。
套用盛金公式③求解。
K=—33.6。
把有關值代入盛金公式③,得:
X⑴=33.8;X⑵=X⑶=16.8。
經檢驗,結果正確。
盛金公式④是漂亮的三角式,解題直觀、準確。
而此時,卡爾丹公式存在虛數性,雖然可轉換為三角式解題,但不直觀。
例2:解方程X^3-70.5X^2+1533.54X-10082.44=0
(用科學計算器輔助運算)
解:a=1,b=-70.5,c=1533.54,d=-10082.44。
A=369.63;B=-17372.61;C=219308.8716,
Δ=-22444974.63<0。
根據盛金判別法,此方程有三個不相等的實根。
套用盛金公式④求解。
θ=90°。
把有關值代入盛金公式④,得:
X⑴=12.4;X⑵=34.6;X⑶=23.5。
經檢驗,結果正確。
盛金定理清晰地回答了盛金公式解三次方程中的疑惑問題。如:
盛金定理8:當Δ<0時,盛金公式④一定不存在A≤0的值。(此時,適用盛金公式④解題)。
盛金定理9:當Δ<0時,盛金公式④一定不存在T≤-1或T≥1的值,即T出現的值必定是-1<T<1。
盛金定理表明:盛金公式始終保持有意義。任意實係數的一元三次方程都可以運用盛金公式直觀求解。
例3:判別方程X^3-1.3X^2+0.9X-9.7=0的解
解:a=1,b=-1.3,c=0.9,d=-9.7。
A=-1.01<0。
根據盛金定理5:當A<0時,則必定有Δ>0。
根據盛金判別法,當Δ>0時,方程有一個實根和一對共軛虛根。
范盛金在研究解三次方程問題的基礎上,進而深入研究解五次方程問題。
根式解一元五次方程問題是世界數學史上的最著名難題之一。根據阿貝爾定理,一般五次方程不存在根式表達的求根公式。范盛金對解五次方程問題進行了深入探索與研究,給出了可化為(X+r)^5=R的求根公式,並提出了具有數學美的一般式一元五次方程求根公式的猜想表達式。
范盛金給出的“可化為(X+b/(5a))^5=R的一元五次方程之求根公式”如下:
一元五次方程:aX^5+bX^4+cX^3+dX^2+eX+f=0
(a,b,c,d,e,f∈R,且a≠0)
重根判別式:
A=2b^2—5ac;
B=c^2—2bd;
C=d^2—2ce;
D=2e^2—5df。
當A=B=C=D=0時,公式⑴:
X⑴=X⑵=X⑶=X⑷=X⑸=-b/(5a)=-c/(2b)=-d/c=-2e/d=-5f/e。
一元五次方程求根公式1當A=B=C=0,D≠0時,公式⑵:
X⑴=(-b+Y^(1/5))/(5a);
X(2,3)=(-b+Y^(1/5)(-1+√5)/4)/(5a)±Y^(1/5)√(5+√5)√2i/4/(5a);
X(4,5)=(-b+Y^(1/5)(-1-√5)/4)/(5a)±Y^(1/5)√(5-√5)√2i/4/(5a)。
其中Y=(be—25af)(5a)^3,i^2=-1。
一元五次方程求根公式2與三角式這種表達式體現了數學的有序、對稱、和諧與簡潔美。
無論a、b、R為任何實數,展開(X+b/(5a))^5=R,都可以用公式⑵直觀求解。
重根判別式最簡記憶符號:5a…2b…c…d…2e…5f。
由最簡記憶符號可快速得出重根判別式:
A=2b^2—5ac;B=c^2—2bd;C=d^2—2ce;D=2e^2—5df。
[精彩例題]
例1、解方程1024X^5+3840X^4+5760X^3+4320X^2+1620X+243=0
解:a=1024,b=3840,c=5760,d=4320,e=1620,f=243。
∵A=B=C=D=0,∴此方程有一個五重實根。
套用公式⑴解得:
X(1)=X(2)=X(3)=X(4)=X(5)=-3/4。
經檢驗,結果正確(檢驗過程略)。
例2、解方程X^5+15X^4+90X^3+270X^2+405X—1419614=0
解:a=1,b=15,c=90,d=270,e=405,f=-1419614。
∵A=0;B=0;C=0,D≠0,∴此方程有一個實根和兩對共軛虛根。
套用公式⑵求解。
Y=(be—25af)(5a)^3=4437053125;Y^(1/5)=85。
把有關值代入公式⑵,得:
X(1)=14;
X(2,3)=(-29-17×5^(1/2))/4±17(5-5^(1/2))^(1/2)2^(1/2)i/4;
X(4,5)=(-29+17×5^(1/2))/4±17(5+5^(1/2))^(1/2)2^(1/2)i/4。
這是根式表達的精確結果。為了方便用韋達定理檢驗,取近似結果為宜,就是:
X(1)=14;
X(2,3)=-16.7532889±9.992349289i;
X(4,5)=2.253288904±16.16796078i。
經檢驗,解得的結果正確(檢驗過程略)。
一元五次方程求根公式的猜想三角式范盛金提出簡明的、具有數學美的一般五次方程求根公式的猜想表達式是:
一元五次方程aX^5+bX^4+cX^3+dX^2+eX+f=0
(a,b,c,d,e,f∈R,且a≠0)
猜想求根公式:
X(1)=(-b+(Y1)^(1/5)+(Y2)^(1/5)+(Y3)^(1/5)+(Y4)^(1/5))/(5a);
X(2,3)=(-b+((Y1)^(1/5)+(Y2)^(1/5))M+((Y3)^(1/5)+(Y4)^(1/5))N
±(((Y1)^(1/5)-(Y2)^(1/5))G+((Y3)^(1/5)-(Y4)^(1/5))H)i)/(5a);
X(4,5)=(-b+((Y1)^(1/5)+(Y2)^(1/5))N+((Y3)^(1/5)+(Y4)^(1/5))M
±(((Y1)^(1/5)-Y(Y2)^(1/5))H+((Y3)^(1/5)-(Y4)^(1/5))G)i)/(5a),
其中:
i^2=-1,
M=(-1+5^(1/2))/4;
N=(-1-5^(1/2))/4,
G=(5+5^(1/2))^(1/2)2^(1/2)/4;
H=(5-5^(1/2))^(1/2)2^(1/2)/4。
Y1、Y2、Y3、Y4是方程Y^4+PY^3+QY^2+RY+S=0的解。
(P、Q、R、S是由重根判別式構成)
一元五次方程的猜想求根公式范盛金提出的這個猜想求根公式的特點是:
只要推導出一元四次方程Y^4+PY^3+QY^2+RY+S=0,根式解一般五次方程問題便得到解決,因為解一元四次方程有費拉里公式,這個猜想具有科學性。
完整地解決根式解五次方程的問題,仍需漫長的過程。
范盛金用數學美的方法把複雜的數學問題變為簡單和直觀化,被譽為解高次方程的數學美大師。
盛金自評
★解三次方程問題是世界數學史上的著名問題,虛數概念的引進、複數理論的建立,就是起源於解三次方程問題。長期以來,解三次方程問題是熱門話題。現在的高中生及大學生大多數不會求解三次方程,有些學生只能解一些相當簡單的三次方程,複雜一點的三次方程就解不出了,原因是他們沒有掌握(並不知道)實用的三次方程求根公式。盛金公式對研究解三次方程問題將發揮積極作用。——摘自范盛金自評
★由最簡記憶符號3a…b…c…3d,可快速地得到重根判別式A=b^2-3ac;B=bc-9ad;C=c^2-3bd,由A、B、C構成總判別式Δ=B^2-4AC,重根判別式與總判別式的表達式最簡(非常美妙)。從最簡記憶符號3a…b…c…3d來判斷,盛金公式與判別法的表達式最簡,因此,不存在比盛金公式與判別法更簡表達式的三次方程求根公式與判別法。——摘自范盛金自評
★盛金公式解題法不僅僅是表現在解題直觀、效率高,尤其對人的智力開發即啟發人運用基礎知識進行創新思維有著深遠的意義。——摘自范盛金自評
★盛金公式與判別法及定理形成了一套完整的、簡明的、實用的、具有數學美的解三次方程的理論體系,對研究解高次方程問題有一定的意義。——摘自范盛金自評
社會評價
★盛金公式ㄉ岀現代表中國人民ㄉ聰明才智,有能力解決數學史上ㄉ難題,是可喜可賀ㄉ大事,希望多出現像范盛金這樣ㄉ智慧型人物,在數學史上為中國人民爭取光榮。——摘自台灣省一網民評價
★盛金公式的程式實現比卡爾丹公式方便得多。——摘自一網民評價
★這(指盛金公式)就是傳說中的超級簡便的一元三方程的求根公式。——摘自一網民(中學生)評價
★盛金公式與判別法簡潔優美。——摘自一網民評價
★范盛金太油菜了(太有才了)。——摘自一網民評價
★范盛金是個牛人。——摘自一網民評價
★在不方便用數學軟體的情況下,確實很實用。這(指盛金公式)是一個好公式,能在1989年搞出來確實很厲害。——摘自一網民評價
★三次方程在電力、水力等方面用的很多。用逼近法明顯不如用盛金定理,定理對資源消耗極小且精度極高,這是逼近法無法比肩的。——摘自“人大附中吧”一網民的評價
★架空送電線路設計計算軟體,用盛金公式替代了牛頓疊代法求解三次方程,效率更高。
★在Excel中解一元三次方程,採用盛金公式比較好用Excel來轉化其算法。
★盛金公式與判別法在教學中(大學)的套用:
1、可激發學生的創新意識和創新思維。
2、可方便學生解決三次方程方面的實際問題。
3、可讓學生更為熟練地掌握和操作科學計算器。
4、可讓學生受到數學美的薰陶,激發學生的學習熱情與興趣。
5、普遍受到好評,如:盛金公式與判別法及定理簡潔、優美、易記,解題直觀、準確、高效,非常好用!
一些大學生在網上談學習盛金公式解題法的心得與體會:
★這個公式(盛金公式)太好用了!雖然不知道推導過程。但是我再(在)自己的作業中引用了這樣的公式。值得吃驚的是國外的那個老師反而下了一跳,問我怎么有這樣的結論?——摘自一名大學生(2007年)在網上談學習盛金公式解題法的心得與體會
★3日前上課突然要解1元3次方程(當時用分解因式法做到出黎),先發覺自己讀佐10幾年書,如果比人問起“1元3次方程點求解啊?”都系口啞啞,所以我決心要學識1套系統既方法,黎應付解1元3次既問題。(分解因式固然簡單,可惜適用範圍非常有限,我唔滿足)經過2日既努力,終於比我發現佐1個萬能既解法,就系盛金公式。呢套公式表面上睇起身好繁雜,不過其實好簡單,好容易上手。而通過適度既練習,我依家已經基本上熟悉曬成個方法,可以用距黎解題啦,哈哈哈。最後,膜拜嚇范盛金,創造佐呢套萬能既系統方法!
Table2008發表於2010-4-2318:37
就幾適合我用咯。
可以通過盛金判別式黎知道方程根既情況,由范盛金提出。
簡單黎講,就系先通過盛金判別式黎判斷某1元3次方程根既情況(有1個3重根,1個實根加1對共軛虛根,3個不同實根,同埋1個實根加1個兩重根,呢4種情況),然後每種情況有對應既1條盛金公式求解(所以盛金公式有4條)。
Table2008發表於2010-4-2321:25
以上是粵語文字,翻譯成國語文字為:
3日前上課突然要解一元三次方程(當時用分解因式法能解出來),才發覺自己讀了十幾年書,如果被人問起“一元三次方程如何求解啊?”都是啞口無言。所以我決心要學會一套系統的方法,來應付解一元三次(方程)的問題。(分解因式固然簡單,可惜適用範圍非常有限,我不滿足)經過兩天的努力,終於被我發現了一個萬能的解法,就是盛金公式。這套公式表面上看起來好繁雜,不過其實好簡單,好容易學會。而通過適度的練習,我現在已經基本上熟悉了整個方法,可以用他來解題啦,哈哈哈。最後,對范盛金表示敬意,創造出了這套萬能的系統方法!Table2008發表於2010-4-2318:37
(盛金公式解題法)就很適合我用呀。
可以通過盛金判別式來知道方程根的情況,由范盛金提出。
簡單來講,就是先通過盛金判別式來判斷某一元三次方程根的情況(有一個三重根,一個實根和一對共軛虛根,三個不同實根,以及一個實根和一個兩重根,這四種情況),然後每種情況有對應的一條盛金公式求解(所以盛金公式有四條)。Table2008發表於2010-4-2321:25——摘自一名廣東大學生在網上與網友聊天談學習盛金公式解題法的心得與體會。
專家評價
盛金公式解題直觀、準確、效率高,具有實用性、廣泛性,在實際套用中受到專家好評。如:
★我們電力工程上在架空線狀態方程中,運用一元三次方程較多,我不僅上網查過多種公式,好多是有問題的,根本就解得不到準確值,在一些經典文章包括已發表的雜誌上,好多只是列出公式,未經過實際數據的測算,好多公式,作者說絕對準確,但一經測算就有問題了,我運用盛金公式後,第一次得到了準確數據!我覺得盛金公式具有廣泛性,而且所得數據準確!——摘自山西省電力公司送變電工程公司王建平(電力工程專家)評價
學者、專家在科研的課題中遇到解三次方程的實際問題時(有些是非常複雜的三次方程),他們採用盛金公式、盛金判別法、盛金定理求解。如:
★《江西化工》(2008(1)),《探討求解Vanderwaals方程程式設計》作者:劉小理,李芳(南昌理工學院生物環境工程系;計算機系)。“求解vanderwaals方程涉及到求一元三次方程的解,手工計算比較複雜,該文提出了用電腦程式求解實際氣體摩爾體積vanderwaals方程的程式設計方法。”“……此方程為一個一元三次方程,有多種方式可以解該一元三次方程,如:二分法,牛頓疊代法,卡丹公式等等,但以往的解題比較複雜,缺乏直觀性,我們這裡採用盛金公式,並將電腦程式設計套用到該方程的求解過程中,使計算結果更準確和迅速。……歷經幾十年,提出了近百種狀態方程,其中最經典的為vanderweals方程。但方程數學處理十分麻煩,隨著科學技術的日益發展,以及計算機技術的普及,如何將計算機技術套用於化學領域,從而開創一個完全嶄新的研究方面,已成為目前計算機與化學交叉學科的研究重點。本文作了一點探討,本文提出的程式設計方法,思路明確程式簡單,實用效果較好,用戶在使用時,只要輸入P,T值,就可立即得到Vm的值。”
★《江西化工》(2008(2)),《化工開發和設計中Redlich-Kwang方程程式設計探討》作者:劉小理,李芳(南昌理工學院生物環境工程系;計算機系)。“化工開發和設計中如何準確快速求算真實氣體的摩爾體積是當前化工科研的熱點領域。本文提出了用RK方程求解真實氣體摩爾體積的電腦程式。程式簡單,結果準確。”“化工開發和設計中經常遇到求算各種真實氣體在一定P,T時的摩爾體積問題。一般程式為根據離散的P-V-T實驗數據,經狀態方程函式化後,建立狀態方程,然後求解狀態方程。……我們應該看到,狀態方程都是非常複雜的數學方程,參與運算的數據往往非常繁雜,……目前,如何將計算機技術套用到化工技術開發和設計領域中已成為化工科研的熱點。……此方程為一元三次方程,……我們這裡採用盛金公式,並將電腦程式設計套用到該方程的求解過程中,使計算結果更準確和迅速。……根據盛金公式……使用盛金公式當中的重根判別式……”。“……本文提出的程式設計方法,思路明確程式簡單,實用效果好。用戶只要查出有關的臨界參數,加上需測試的P,T值,輸入計算機就可立即得到V值。”
★《機械工程學報》第44卷第2期(2008年2月),《環件徑軸向軋制毛坯尺寸設計方法》(國家自然科學重點基金、國家重大科技專項、國家及凝固技術國家重點實驗室自主研究課題資助項目)作者:郭良剛,博士,博士後,副教授,碩士研究生導師;楊 合,博士,教授,博士研究生導師,長江學者,國家傑出青年科學基金獲得者;金堅誠(西北工業大學凝固技術國家重點實驗室,西安)。“環件軋制是一種先進的零件軋制近淨成形工藝技術,由於其連續局部多道次異步軋制成形的特點,具有省力、節能、節材、優質(特別是具有良好的組織與表面質量)、高效等技術優勢,因而在航空、航天、風電、高鐵與汽車等高端製造領域日益得到廣泛的套用。……”文中有一個關於k的一元三次不等式:“……,根據盛金公式、判別法及定理,通過計算機數值求解不等式,可得k的取值範圍。”
★《特種設備安全技術》2008年第5期,《球形儲罐充液高度的快速計算》,作者:喻文(廣州市特種承壓設備檢測研究院)。摘要:“工程中經常需要根據球形儲罐充裝係數計算其充液高度。作者套用一元三次方程的一種新型解法‘盛金公式’,並借用OfficeExcel軟體的計算功能,提出一種根據球形儲罐的充裝係數來求解充液高度的快速計算方案。”
★《新疆大學學報(自然科學版)》第26卷第1期(2009年2月),《M/M2/1運算元的另一個特徵值》(國家自然科學基金資助項目)作者:1、賈輝(碩士研究生,研究方向:可靠性分析與信息網路);2、賽力克波力·巴扎爾漢(1、新疆大學數學與系統科學學院;2、塔城地區師範學校數理化教研室)。……本文用以下盛金公式……。……盛金公式討論方程的根……,從而方程有三個實根……。
★《工程力學》第26卷第8期(2009年8月),《淺圓倉散料側壓力的極限分析上限方法》(國家自然科學基金重點項目)作者:付建寶,博士生;年廷凱,副教授,博士;欒茂田,教授,博士,博導;楊慶,教授,博士,博導)(大連理工大學海岸和近海工程國家重點實驗室;大連理工大學土木水利學院岩土工程研究所)。文中有一個複雜的一元三次方程:“……,是一個三次方程,本文採用盛金公式求解。”
★《華南理工大學學報》(自然科學版)(第38卷第6期2010年6月),《NURBS圖形雷射雕刻算法及其嵌入式實現》(國家自然科學基金資助項目;廣東省教育部產學研結合計畫項目)作者:王世勇,博士生;李迪(華南理工大學機械與汽車工程學院)。文中有一個複雜的一元三次方程:“……,該方程是一元三次方程,有3個根,但不相等的實根個數可能是1、2或3個。利用盛金公式可以直接由方程係數判定不相等實根的個數並計算實根大小。”“NURBS曲線通常採用遞歸形式表達,該表達形式易於由參變數u計算x或y坐標,但難以在已知x或y的條件下計算出所對應的參變數u,且不直觀。為此,文中推導了顯式有理多項式形式的NURBS曲線表達式,利用該表達式並結合盛金公式可容易計算出掃描線與圖形輪廓的交點。”
★《岩土力學》(201031(z1)),《土工袋加固原理與極限強度的分析研究》(國家十一五科技支撐計畫課題)作者:白福青,劉斯宏,王艷巧(河海大學水利水電工程學院)。文中有一個一元三次方程:“……,根據范盛金公式可求解上述一元三次方程。
★《機電工程》第27卷第6期(2010年6月),《超高頻感應加熱電源逆變器負載拓樸的研究》作者:岳金偉(碩士研究生);陳輝明(教授,碩士生導師);王正仕(浙江大學,電氣工程學院)。文中有一個複雜的三次方程:“……由盛金公式可得,當△=B^2—4AC>0時,3階齊次線性微分方程有一個實根和兩個共軛復根,……。”
★《電子學報》第12期(2010年12月),《基於目標散射相似性的POLSAR圖像無監督地物散射分類新方案》作者:陳強(博士生);蔣詠梅(副教授);陸軍(博士,副教授,碩士生導師);匡綱要(博士,教授)(國防科技大學電子科學與工程學院)。5.2運算性能分析……對於每個像素來說,求解H和Alpha參數需要先計算T的特徵值λ,其中求解特徵值需計算一個一元三次方程,利用盛金公式計算,……。
★《長江大學學報(自然科學版)》2011年第06期,《35KV及以下架空線檔距計算中應力方程的最佳化求解》,作者:呂智。摘要:“主要論述了在35KV及以下架空線路檔距計算中套用盛金公式法求解應力方程的最佳化方法。使用該方法既減輕了計算的複雜度,縮短了計算時間,又能使計算結果更準確,更符合實際工程項目的套用需要。”
在解一元三次方程的問題上,雖然有著名的卡爾丹公式,但是卡爾丹公式解題法存在複雜性,相比之下,盛金公式解題法簡明、直觀、清晰、準確、實用、高效,因而學者、專家在科研的課題中遇到解三次方程的實際問題時,盛金公式解題法被廣泛採用。
(以上資料來源於“百度百科範盛金詞條”)

