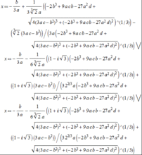
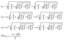
公式法(卡爾丹公式)
一元三次方程求根公式(如右圖所示)
若用A、B換元後,公式可簡記為:
x1=A^(1/3)+B^(1/3);
x2=A^(1/3)ω+B^(1/3)ω^2;
x3=A^(1/3)ω^2+B^(1/3)ω。
判別法
當△=(q/2)^2+(p/3)^3>0時,有一個實根和一對個共軛虛根;
當△=(q/2)^2+(p/3)^3=0時,有三個實根,其中兩個相等;
當△=(q/2)^2+(p/3)^3<0時,有三個不相等的實根。
推導
第一步:
ax^3+bx^2+cx+d=0(a≠0)
為了方便,約去a得到
x^3+kx^2+mx+n=0
令x=y-k/3 ,
代入方程(y-k/3)^3+k(y-k/3)^2+m(y-k/3)+n=0 ,
(y-k/3)^3中的y^2項係數是-k ,
k(y-k/3)^2中的y^2項係數是k ,
所以相加後y^2抵消 ,
得到y^3+py+q=0,
其中p=-k^2/3+m ,
q=(2(k/3)^3)-(km/3)+n。
第二步:
方程x^3+px+q=0的三個根為:
x1=[-q/2+((q/2)^2+(p/3)^3)^(1/2)]^(1/3)+
+[-q/2-((q/2)^2+(p/3)^3)^(1/2)]^(1/3);
x2=w[-q/2+((q/2)^2+(p/3)^3)^(1/2)]^(1/3)+
+w^2[-q/2-((q/2)^2+(p/3)^3)^(1/2)]^(1/3);
x3=w^2[-q/2+((q/2)^2+(p/3)^3)^(1/2)]^(1/3)+
+w[-q/2-((q/2)^2+(p/3)^3)^(1/2)]^(1/3),
其中w=(-1+i√3)/2。
×推導過程:
1、方程x^3=1的解為x1=1,x2=-1/2+i√3/2=ω,x3=-1/2-i√3/2=ω^2 ;
2、方程x^3=A的解為x1=A^(1/3),x2=A^(1/3)ω,x3=A^(1/3)ω^2 ,
3、一般三次方程ax^3+bx^2+cx+d=0(a≠0),兩邊同時除以a,可變成x^3+sx^2+tx+u=0的形式。
再令x=y-s/3,代入可消去次高項,變成x^3+px+q=0的形式。
設x=u+v是方程x^3+px+q=0的解,代入整理得:
(u+v)(3uv+p)+u^3+v^3+q=0 ①,
如果u和v滿足uv=-p/3,u^3+v^3=-q則①成立,
由一元二次方程韋達定理u^3和V^3是方程y^2+qy-(p/3)^3=0的兩個根。
解之得,y=-q/2±((q/2)^2+(p/3)^3)^(1/2),
不妨設A=-q/2-((q/2)^2+(p/3)^3)^(1/2),B=-q/2+((q/2)^2+(p/3)^3)^(1/2),
則u^3=A;v^3=B ,
u= A^(1/3)或者A^(1/3)ω或者A^(1/3)ω^2 ;
v= B^(1/3)或者B^(1/3)ω或者B^(1/3)ω^2 ,
但是考慮到uv=-p/3,所以u、v只有三組解:
u1= A^(1/3),v1= B^(1/3);
u2=A^(1/3)ω,v2=B^(1/3)ω^2;
u3=A^(1/3)ω^2,v3=B^(1/3)ω,
最後:
方程x^3+px+q=0的三個根也出來了,即
x1=u1+v1=A^(1/3)+B^(1/3);
x2=A^(1/3)ω+B^(1/3)ω^2;
x3=A^(1/3)ω^2+B^(1/3)ω。
一元三次方程求根公式
一元三次方程求根公式
一元三次方程求根公式
一元三次方程求根公式歷史
卡爾丹
歐拉一元三次方程x^3+px+q=0,(p,q∈R)的求根公式是1545年由義大利學者卡爾丹發表在《關於代數的大法》一書中,人們就把它叫做卡爾丹公式(有的數學資料叫"卡丹公式")。可是事實上,發現公式的人並不是卡爾丹(卡丹)本人,而是塔塔利亞(Tartaglia N.,約1499~1557)。發現此公式後,曾據此與許多人進行過解題競賽,他往往是勝利者,因而他在義大利名聲大震。醫生兼數學家卡丹得知塔塔利亞總是獲勝的訊息後,就千方百計地找塔塔利亞探聽他的秘密。當時學者們通常不急於把自己所掌握的秘密向周圍的人公開,而是以此為秘密武器向別人挑戰比賽,或等待懸賞應解,以獲取獎金。 儘管卡爾丹千方百計地想探聽塔塔利亞的秘密,但是在很長時間中塔塔利亞都守口如瓶。可是後來,由於卡丹一再懇切要求,而且發誓對此保守秘密,於是塔塔利亞在1539年把他的發現寫成了一首語句晦澀的詩告訴了卡丹,但是並沒有給出詳細的證明。 卡丹並沒有信守自己的誓言,1545年在其所著《重要的藝術》一書中向世人公開了這個解法。他在此書中寫道:"這一解法來自於一位最值得尊敬的朋友--布里西亞的塔塔利亞。塔塔利亞在我的懇求之下把這一方法告訴了我,但是他沒有給出證明。我找到了幾種證法。證法很難,我把它敘述如下。"從此,人們就把一元三次方程的求根公式稱為卡丹公式。 塔塔利亞知道卡丹把自己的秘密公之於眾後,怒不可遏。按照當時人們的觀念,卡丹的做法無異於背叛,而關於發現法則者是誰的附筆只能被認為是一種公開的侮辱。於是塔塔利亞與卡丹在米蘭市的教堂進行了一場公開的辯論。 許多資料都記述過塔塔利亞與卡丹在一元三次方程求根公式問題上的爭論,可是,名為卡丹公式的一元三次方程的求解方法,確實是塔塔利亞發現的;卡丹沒有遵守誓言,因而受到塔塔利亞及許多文獻資料的指責,卡丹錯有應得,但是卡丹在公布這一解法時並沒有把發現這一方法的功勞歸於自己,而是如實地說明了這是塔塔利亞的發現,所以算不上剽竊;而且證明過程是卡丹自己給出的,說明卡丹也做了工作。卡丹用自己的工作對塔塔利亞泄露給他的秘密加以補充,違背誓言,把秘密公之於世,加速了一元三次方程求根公式的普及和人類探索一元n次方程根式解法的進程。不過,公式的名稱,還是應該稱為方塔納公式或塔塔利亞公式;稱為卡丹公式是歷史的誤會。 一元三次方程應有三個根。塔塔利亞公式給出的只是一個實根。又過了大約200年後,隨著人們對虛數認識的加深,到了1732年,才由瑞士數學家歐拉找到了一元三次方程三個根的完整的表達式。
塔爾塔利亞是義大利人,出生於1500年。他12歲那年,被入侵的法國兵砍傷了頭部和舌頭,從此說話結結巴巴,人們就給他一個綽號"塔爾塔利亞"(在義大利語中,這是口吃的意思),真名反倒少有人叫了,他自學成才,成了數學家,宣布自己找到了三次方程的的解法。有人聽了不服氣,來找他較量,每人各出30道題,由對方去解。結果,塔爾塔利亞30道三次方程的解全做了出來,對方卻一道題也沒做出來。塔爾塔利亞大獲全勝。這時,義大利數學家卡丹出場,請求塔爾塔利把解方程的方法告訴他,可是遭到了拒絕。後來卡丹對塔爾塔利假裝說要推薦他去當西班牙炮兵顧問,並稱自己有許多發明,唯獨無法解三次方程而內心痛苦。還發誓,永遠不泄漏塔爾塔利亞解一元三次方程式的秘密。塔爾塔利亞這才把解一元三次方程的秘密告訴了卡丹。六年以後,卡丹不顧原來的信約,在他的著作《關於代數的大法》中,將經過改進的三次方程的解法公開發表。後人就把這個方法叫作卡丹公式,塔爾塔利亞的名字反而被湮沒了,正如他的真名在口吃以後被埋沒了一樣。
塔爾塔利亞對卡丹的背信行為非常惱怒,互相寫信指罵對方。最終在一個不明的夜晚,卡丹派人秘密刺殺了塔爾塔利亞。
至於一元四次方程ax^4 +bx^3 +cx^2 +dx+e=0求根公式由卡丹的學生費拉里找到了。
關於三次、四次方程的求根公式,因為要涉及複數概念,複數是指能寫成如下形式的數a+bi,這裡a和b是實數,i是虛數單位(即-1開根)。 由義大利米蘭學者卡當在十六世紀首次引入,經過達朗貝爾、棣莫弗、歐拉、高斯等人的工作,此概念逐漸為數學家所接受。 複數有多種表示法,諸如向量表示、三角表示,指數表示等。它滿足四則運算等性質。它是複變函數論、解析數論、傅立葉分析、分形、流體力學、相對論、量子力學等學科中最基礎的對象和工具。
阿貝
伽羅華一元三次、四次方程求根公式找到後,人們在努力尋找一元五次方程求根公式,三百年過去了,但沒有人成功,這些經過嘗試而沒有得到結果的人當中,不乏有大數學家。
後來年輕的挪威數學家阿貝爾於1824年所證實, n次方程(n≥5)沒有公式解。不過,對這個問題的研究,其實並沒結束,因為人們發現有些n次方程(n≥5)可有求根公式。那么又是什麼樣的一元n次方程才沒有求根公式呢?
不久,這一問題在19世紀上半期,被法國天才數學家伽羅華利用他創造的全新的數學方法所證明,由此一門新的數學分支"群論"誕生了。
計算方法
下面介紹一個三次方求根計算方法:
X(n+1)=Xn+[A/X^2-Xn)1/3
n,n+1是下角標,A被開方數。
例如,A=5,5介於1的3次方至2的3次方之間。X0可以取1.1;1.2;1.3;1.4;1.5;1.6;1.7;1.8;1.9;2.0我們可以隨意代入一個數,例如2,那么:
第一步,2+[5/(2×2)-2]×1/3=1.7=X1;
第二步,1.7+[5/(1.7×1.7)-1.7]×1/3=1.71=X2;
第三步,1.71+[5/(1.71×1.71)-1.71]×1/3=1.709=X3;
每次多取一位數。公式會自動反饋到正確的數值。
置換群解法
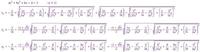
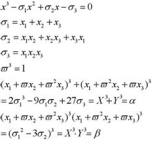
一元三次方程 係數和根的關係如下:
一元三次方程求根公式求出X,Y,後有
一元三次方程求根公式這是個線性方程,其中
一元三次方程求根公式為原方程的三個根!

