歷史
中國唐朝數學家王孝通在武德九年(626年)前後所著的《緝古算經》中建立了25個三次多項式方程和提出三次方程實根的數值解法。
波斯數學家歐瑪爾·海亞姆(1048年-1123年)通過用圓錐截面與圓相交的方法構建了三次方程的解法。他說明了怎樣用這種幾何方法利用三角法表得到數字式的答案。
中國南宋的數學家秦九韶在他1247年編寫的《數書九章》一書中提出了高次方程的數值解法秦九韶算法,提出“商常為正,實常為負,從常為正,益常為負”的原則。
在十六世紀早期,義大利數學家費羅找到了能解一種三次方程的方法,也就是形如{\displaystyle x^{3}+mx=n\,}的方程。事實上,如果我們允許{\displaystyle m\,},{\displaystyle n\,}是複數,所有的三次方程都能變成這種形式,但在那個時候人們不知道複數。
尼科洛·塔爾塔利亞被認為是最早得出三次方程式一般解的人。1553年他在一場數學競賽中解出所有三次方程式的問題。隨後卡爾丹諾拜訪了塔爾塔利亞請教三次方程式解法並得到了啟發。卡爾丹諾注意到塔爾塔利亞的方法有時需要他給複數開平方。他甚至在《數學大典》里包括了這些複數的計算,但他並不真正理解它。拉斐爾·邦貝利(Rafael Bombelli)詳細地研究了這個問題,並因此被人們認為是複數的發現者。
解法
設方程為
一元三次方程一般形式為
三次方程,
三次方程
三次方程
三次方程其中 和 ( )是屬於一個域的數字,通常這個域為 R或 C。
三次方程則有
X·X·X=-d/a;
X·X+X·X+X·X=c/a;
X+X+X=-b/a。
解法思想
一元三次方程解法思想是:通過配方和換元,使三次方程降次為二次方程求解。
解法發現
中國南宋偉大的數學家秦九韶在他1247年編寫的世界數學名著《數書九章》一書中提出了數字一元三次方程與任何高次方程的解法“正負開方術”,提出“商常為正,實常為負,從常為正,益常為負”的原則,純用代數加法,給出統一的運算規律,並且擴充到任何高次方程中去。這個方法比幾百年以後歐洲數學家所提出的計算方法要高明許多。現在,這種方法被後人稱為“秦九韶程式”。世界各國從國小、中學到大學的數學課程,幾乎都接觸到他的定理、定律和解題原則。
歐洲三次方程解法的發現是在16世紀的義大利,那時,數學家常常把自己的發現秘而不宣,而是向同伴提出挑戰,讓他們解決同樣的問題.想必這是一項很砥礪智力,又吸引人的競賽,三次方程的解法就是這樣發現的.
最初,有一個叫菲奧爾的人,從別人的秘傳中學會了解一些三次方程,便去向另一個大家稱為塔爾塔利亞的人挑戰.塔爾塔利亞原名豐塔納,小時因臉部受傷引起口吃,所以被人稱為塔爾塔利亞(意為"口吃者").他很聰明,又很勤奮,靠自學掌握了拉丁文,希臘文和數學.這次他成功解出了菲奧爾提出的所有三次方程,菲奧爾卻不能解答他提出的問題.當時很有名的卡爾丹於是懇求他傳授解三次方程的辦法,並發誓保守秘密,塔爾塔利亞才把他的方法寫成一句晦澀的詩交給卡爾丹.後來卡爾丹卻背信棄義,把這個方法發表在1545年出版的書里.在書中他寫道:"波倫亞的費羅差不多在三十年前就發現了這個方法,並把它傳給了菲奧爾.菲奧爾在與塔爾塔利亞的競賽中使後者有機會發現了它.塔爾塔利亞在我的懇求下把方法告訴了我,但保留了證明.我在獲得幫助的情況下找出了它各種形式的證明.這是很難做到的."卡爾丹的背信棄義使塔爾塔利亞很憤怒,他馬上寫了一本書,爭奪這種方法的優先權.他與卡爾丹的學生費拉里發生了公開衝突。最後,這場爭論是以雙方的肆意謾罵而告終的。
三次方程解法發現的過程雖不愉快,但三次方程的解法被保留了下來。
由於卡爾丹在1545年首先發表了三次方程X +pX+q=0的解法,因此數學資料稱此解法為“卡爾丹公式”並沿用至今。
以下介紹的三次方程X +pX+q=0的解法,就是上文中提到的卡爾丹公式解法。
公式解法
一元三次方程求根公式用通常的演繹思維是作不出來的,用類似解一元二次方程的求根公式的配方法只能將型如ax^3+bx^2+cx+d=0的標準型一元三次方程形式化為x +px+q=0的特殊型。
一元三次方程的求解公式的解法只能用歸納思維得到,即根據一元一次方程、一元二次方程及特殊的高次方程的求根公式的形式歸納出一元三次方程的求根公式的形式。歸納出來的形如 x +px+q=0的一元三次方程的求根公式的形式應該為x=A +B 型,即為兩個開立方之和。歸納出了一元三次方程求根公式的形式,下一步的工作就是求出開立方裡面的內容,也就是用p和q表示A和B。方法如下:
(1)將x=A +B 兩邊同時立方可以得到
(2)x =(A+B)+3(AB) (A +B )
(3)由於x=A +B ,所以(2)可化為 x =(A+B)+3(AB) x,移項可得
(4)x -3(AB) x-(A+B)=0,和一元三次方程和特殊型x +px+q=0作比較,可知
(5)-3(AB) =p,-(A+B)=q,化簡得
(6)A+B=-q,AB=-(p/3)
(7)這樣其實就將一元三次方程的求根公式化為了一元二次方程的求根公式問題,因為A和B可以看作是一元二次方程的兩個根,而(6)則是關於形如ay+by+c=0的一元二次方程兩個根的韋達定理,即
(8)y1+y2=-(b/a),y1*y2=c/a
(9)對比(6)和(8),可令A=y1,B=y2,q=b/a,-(p/3)=c/a
(10)由於型為ay+by+c=0的一元二次方程求根公式為
y1=(-b+(b-4ac) )/(2a)
y2=(-b-(b-4ac) )/(2a)
可化為
(11)y1=-(b/2a)-((b/2a)-(c/a))
y2=-(b/2a)+((b/2a)-(c/a))
將(9)中的A=y1,B=y2,q=b/a,-(p/3)=c/a代入(11)可得
(12)A=-(q/2)-((q/2)+(p/3)
B=-(q/2)+((q/2)+(p/3))
(13)將A,B代入x=A +B 得
(14)x=-(q/2)-((q/2)+(p/3)) ) +(-(q/2)+((q/2)+(p/3)) )
式 (14)只是一元三方程的一個實根解,按韋達定理一元三次方程應該有三個根,不過按韋達定理一元三次方程只要求出了其中一個根,另兩個根就容易求出了。
注意此處的三次方程是實數域的。
三角函式解
三次方程
三次方程,其中。
三次方程若令,則
三次方程
三次方程
三次方程缺陷
三次方程三次方程x -7x+6=0
用因式分解法得
(x-1)(x-2)(x+3)=0
三個根為1,2,-3
套用公式求出的A,B為虛數,將得到非常複雜的算式,導致無法計算出解。
其他解法
因式分解法
因式分解法不是對所有的三次方程都適用,只對一些三次方程適用.對於大多數的三次方程,只有先求出它的根,才能作因式分解.當然,因式分解的解法很簡便,直接把三次方程降次.例如:解方程x -x=0
對左邊作因式分解,得x(x+1)(x-1)=0,得方程的三個根:x=0,x=1,x=-1。
另一種換元法
對於一般形式的三次方程,先用上文中提到的配方和換元,將方程化為x +px+q=0的特殊型.令x=z-p/3z代入並化簡,得:z-p/27z+q=0。再令z=w代入,得:w+p/27w+q=0.這實際上是關於w的二次方程.解出w,再順次解出z,x。
盛金公式解法
三次方程套用廣泛。用根號解一元三次方程,雖然有著名的卡爾丹公式,並有相應的判別法,但使用卡爾丹公式解題比較複雜,缺乏直觀性。范盛金推導出一套直接用a、b、c、d表達的較簡明形式的一元三次方程的一般式新求根公式,並建立了新判別法.
盛金公式
一元三次方程aX +bX +cX+d=0,(a,b,c,d∈R,且a≠0)。
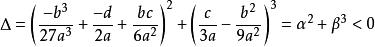
重根判別式:A=b -3ac;B=bc-9ad;C=c -3bd,
總判別式:Δ=B -4AC。
當A=B=0時,盛金公式①:
X=X=X=-b/(3a)=-c/b=-3d/c。
當Δ=B -4AC>0時,盛金公式②:
X=(-b-(Y) -(Y) )/(3a);
X=(-2b+(Y) +(Y) )/(6a)±i3 ((Y) -(Y) )/(6a),
其中Y=Ab+3a(-B±(B -4AC) )/2,i =-1。
當Δ=B -4AC=0時,盛金公式③:
X=-b/a+K;
X=X=-K/2,
其中K=B/A,(A≠0)。
當Δ=B -4AC<0時,盛金公式④:
X=(-b-2A cos(θ/3))/(3a);
X=(-b+A )(cos(θ/3)±3 sin(θ/3))/(3a),
其中θ=arccosT,T=(2Ab-3aB)/(2A ),(A>0,-1<T<1)。
盛金判別法
①:當A=B=0時,方程有一個三重實根;
②:當Δ=B -4AC>0時,方程有一個實根和一對共軛虛根;
③:當Δ=B -4AC=0時,方程有三個實根,其中有一個兩重根;
④:當Δ=B -4AC<0時,方程有三個不相等的實根。
盛金定理
當b=0,c=0時,盛金公式①無意義;當A=0時,盛金公式③無意義;當A≤0時,盛金公式④無意義;當T1時,盛金公式④無意義。
當b=0,c=0時,盛金公式①是否成立?盛金公式③與盛金公式④是否存在A≤0的值?盛金公式④是否存在T1的值?盛金定理給出如下回答:
盛金定理1:當A=B=0時,若b=0,則必定有c=d=0(此時,方程有一個三重實根0,盛金公式①仍成立)。
盛金定理2:當A=B=0時,若b≠0,則必定有c≠0(此時,適用盛金公式①解題)。
盛金定理3:當A=B=0時,則必定有C=0(此時,適用盛金公式①解題)。
盛金定理4:當A=0時,若B≠0,則必定有Δ>0(此時,適用盛金公式②解題)。
盛金定理5:當A0(此時,適用盛金公式②解題)。
盛金定理6:當Δ=0時,若B=0,則必定有A=0(此時,適用盛金公式①解題)。
盛金定理7:當Δ=0時,若B≠0,盛金公式③一定不存在A≤0的值(此時,適用盛金公式③解題)。
盛金定理8:當Δ<0時,盛金公式④一定不存在A≤0的值。(此時,適用盛金公式④解題)。
盛金定理9:當Δ<0時,盛金公式④一定不存在T≤-1或T≥1的值,即T出現的值必定是-1<T<1。
顯然,當A≤0時,都有相應的盛金公式解題。
注意:盛金定理逆之不一定成立。如:當Δ>0時,不一定有A<0。
盛金定理表明:盛金公式始終保持有意義。任意實係數的一元三次方程都可以運用盛金公式直觀求解。
當Δ=0(d≠0)時,使用卡爾丹公式解題仍存在開立方。與卡爾丹公式相比較,盛金公式的表達形式較簡明,使用盛金公式解題較直觀、效率較高;盛金判別法判別方程的解較直觀。重根判別式A=b^2-3ac;B=bc-9ad;C=c^2-3bd是最簡明的式子,由A、B、C構成的總判別式Δ=B^2-4AC也是最簡明的式子(是非常美妙的式子),其形狀與一元二次方程的根的判別式相同;盛金公式②中的式子(-B±(B^2-4AC)^(1/2))/2具有一元二次方程求根公式的形式,這些表達形式體現了數學的有序、對稱、和諧與簡潔美。

