定義
共軛復根一元二次方程
,若
,則該方程的根為2個共軛復根。
一元三次方程,當Δ=B-4AC>0時,方程有一個實根和一對共軛虛根。
原理
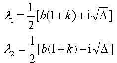
共軛復根根據一元二次方程求根公式韋達定理:
,當
時,方程無實根,但在複數範圍內有2個復根。復根的求法為
(其中
是複數,
)。
共軛復根由於共軛複數的定義是形如
的形式,稱
與
為共軛複數。
另一種表達方法可用向量法表達:x1=p×e^(+jΩ),x2=p×e^(-jΩ)。其中p=a^2+b^2,tanΩ=b/a。
共軛復根由於一元二次方程的兩根滿足上述形式,故一元二次方程在
時的兩根為共軛復根。
共軛復根根與係數關係:
,
。
(共軛複數)

