概述
行列式行列式概念最早出現在解線性方程組的過程中。十七世紀晚期,關孝和與萊布尼茨的著作中已經使用行列式來確定線性方程組解的個數以及形式。十八世紀開始,行列式開始作為獨立的數學概念被研究。十九世紀以後,行列式理論進一步得到發展和完善。矩陣概念的引入使得更多有關行列式的性質被發現,行列式在許多領域都逐漸顯現出重要的意義和作用,出現了線性自同態和向量組的行列式的定義。
行列式的特性可以被概括為一個多次交替線性形式,這個本質使得行列式在歐幾里德空間中可以成為描述“體積”的函式。
歷史
行列式的概念最初是伴隨著方程組的求解而發展起來的。行列式的提出可以追溯到十七世紀,最初的雛形由日本數學家關孝和與德國數學家戈特弗里德·萊布尼茨各自獨立得出,時間大致相同。
早期研究
關孝和在《解伏題之法》中首次運用行列式的概念1545年,卡當在著作《大術》(Ars Magna)中給出了一種解兩個一次方程組的方法。他把這種方法稱為“母法”(regula de modo)。這種方法和後來的克萊姆法則已經很相似了,但卡當並沒有給出行列式的概念。
1683年,日本數學家關孝和在其著作《解伏題之法》中首次引進了行列式的概念。書中出現了、乃至的行列式,行列式被用來求解高次方程組。
1693年,德國數學家萊布尼茨開始使用指標數的系統集合來表示有三個未知數的三個一次方程組的係數。他從三個方程的系統中消去了兩個未知量後得到一個行列式。這個行列式等於零,就意味著有一組解同時滿足三個方程。由於當時沒有矩陣的概念,萊布尼茨將行列式中元素的位置用數對來表示:ij代表第i 行第j 列。萊布尼茨對行列式的研究成果中已經包括了行列式的展開和克萊姆法則,但這些結果在當時並不為人所知。
任意階數的行列式
1730年,蘇格蘭數學家科林·麥克勞林在他的《論代數》中已經開始闡述行列式的理論,記載了用行列式解二元、三元和四元一次方程的方法,並給出了四元一次方程組的一般解的正確形式,儘管這本書直到麥克勞林逝世兩年後(1748年)才得以出版。
約瑟夫·路易斯·拉格朗日1750年,瑞士的加布里爾·克萊姆首先在他的《代數曲線分析引論》給出了n 元一次方程組求解的法則,用於確定經過五個點的一般二次曲線的係數,但並沒有給出證明。其中行列式的計算十分複雜,因為是定義在奇置換和偶置換上的。
此後,關於行列式的研究逐漸增多。1764年,法國的艾蒂安·裴蜀的論文中關於行列式的計算方法的研究簡化了克萊姆法則,給出了用結式來判別線性方程組的方法。同是法國人的亞歷山德·西奧菲勒·范德蒙德(Alexandre-Théophile Vandermonde)則在1771年的論著中第一個將行列式和解方程理論分離,對行列式單獨作出闡述。這是數學家們開始對行列式本身進行研究的開端。
1772年,皮埃爾-西蒙·拉普拉斯在論文《對積分和世界體系的探討》中推廣了范德蒙德著作裡面將行列式展開為若干個較小的行列式之和的方法,發展出子式的概念。一年後,約瑟夫·路易斯·拉格朗日發現了的行列式與空間中體積的聯繫。他發現:原點和空間中三個點所構成的四面體的體積,是它們的坐標所組成的行列式的六分之一。
行列式在大部分歐洲語言中被稱為“determinant”(某些語言中詞尾加e或o,或變成s),這個稱呼最早是由卡爾·弗里德里希·高斯在他的《算術研究》中引入的。這個稱呼的詞根有“決定”意思,因為在高斯的使用中,行列式能夠決定二次曲線的性質。在同一本著作中,高斯還敘述了一種通過係數之間加減來求解多元一次方程組的方法,也就是現在的高斯消元法。
行列式的現代概念
詹姆斯·約瑟夫·西爾維斯特進入十九世紀後,行列式理論進一步得到發展和完善。奧古斯丁·路易·柯西在1812年首先將“determinant”一詞用來表示十八世紀出現的行列式,此前高斯只不過將這個詞限定在二次曲線所對應的係數行列式中。柯西也是最早將行列式排成方陣並將其元素用雙重下標表示的數學家(垂直線記法是阿瑟·凱萊在1841年率先使用的)。柯西還證明了行列式的乘法定理(實際上是矩陣乘法),這個定理曾經在雅克·菲利普·瑪利·比內(Jacque Philippe Marie Binet)的書中出現過,但沒有證明。
十九世紀五十年代,凱萊和詹姆斯·約瑟夫·西爾維斯特將矩陣的概念引入數學研究中[18]。行列式和矩陣之間的密切關係使得矩陣論蓬勃發展的同時也帶來了許多關於行列式的新結果,例如阿達馬不等式、正交行列式、對稱行列式等等。
與此同時,行列式也被套用於各種領域中。高斯在二次曲線和二次型的研究中使用行列式作為二次曲線和二次型劃歸為標準型時的判別依據。之後,卡爾·魏爾斯特拉斯和西爾維斯特又完善了二次型理論,研究了λ-矩陣的行列式以及初等因子。行列式被用於多重函式的積分大約始於十九世紀三十年代。1832年至1833年間卡爾·雅可比發現了一些特殊結果,1839年,歐仁·查爾·卡塔蘭(Eugène Charles Catalan)發現了所謂的雅可比行列式。1841年,雅可比發表了一篇關於函式行列式的論文,討論函式的線性相關性與雅可比行列式的關係。
定義方式
重要的數學概念和工具之一。它來源於求解線性方程組。由n2 個元素(數)αij(i,j=1,2,…,n)排成n行n列並寫成
(1)
的形式,它表示所有符合以下條件的項的代數和:
① 每項是n個元素的乘積,這n個元素是從(1)中每行取一個元素、每列取一個元素組成的,可記為
,
式中p1,p2,…,pn是1,2,…,n的一個排列。
② 每項
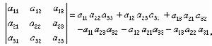
應帶正號或負號,以1,2,…,n的順序為標準來比較排列(p1p2…pn)的逆序數是偶或奇而決定。例如三階行列式中的項 α12α23α31排列(231)有2個逆序,即2在1之前;3在1之前,所以α12α23α31應帶正號;而α12α21α33中(213)的逆序為1,因為這時只有2在 1之前,所以應帶負號。
(1)稱為n階行列式,有時簡記為|αij|,其中αij稱為第i行第j列上的元素或元;當i=j時即αii,稱為主對角線(α11α22…αnn)上的元。
因為n個元的所有排列共有n!個,所以|αij|共有n!個項。由此可知,
式中
是對1,2,…,n的所有排列取和,±符號按上述規則確定。例如,

行列式有多種定義方式,實質上不同的大致有三類:除上述的完全展開式定義外,常見的還有歸納定義和公理化定義等。
基本性質
任一行列式都有以下性質:①行列式A中某行(或列)用同一數k乘,其結果等於kA。②行列式A等於其轉置行列式AT(AT的第i行為A的第i列)。③若n階行列式|αij|中某行(或列);行列式則|αij|是兩個行列式的和,這兩個行列式的第i行(或列),一個是b1,b2,…,bn;另一個是с1,с2,…,сn;其餘各行(或列)上的元與|αij|的完全一樣。④行列式A中兩行(或列)互換,其結果等於-A。⑤把行列式A的某行(或列)中各元同乘一數後加到另一行(或列)中各對應元上,結果仍然是A。
行列式的計算
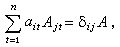
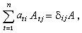
簡單的行列式根據定義或基本性質容易計算。 一般方法是把它按行(或列)展開化為低階行列式來計算。如n階行列式A按第i行(或列)展開:
是從|αij|中划去第i行和第j列後得到的行列式即n-1階子式,稱為αij的餘子式;Aij稱為αij的代數餘子式。在上式中把Ait(或Ati)換成Ajt(或Atj),i≠j,即第i行(或列)中各元與第j行(或列)中各元的代數餘子式相乘,其結果為零。以上結果可綜合寫成: 


范德蒙德行列式

行列式的乘積
根據拉普拉斯展開式,兩個n階行列式|αij|與|bij|的乘積是n階行列式|сij|,即
行列式
行列式
行列式的套用
克萊姆規則是用行列式求解線性方程組的一種方法。設有線性方程組
(2)

xi=Di/D (i=1,2,…,n), (3)
式中Di是將D中第i列中元素αi1,αi2,…,αin分別用b1,b2,…,bn替換得到的行列式。 平面解析幾何中過兩點(x1,y1)和(x2,y2)的直線方程可用行列式表達如下:
兩兩互異,交於一點的充分必要條件是 






和
之間的聯繫 
它在隱函式論的研究中也是不可缺少的。
上面行列式|αij|中的元 αij假定都是數;如果αij都在一個域中,上面得到的結果仍能成立。1943年,迪厄多內發表了《非可換體行列式》一文,在非可換域即體上建立了所謂非可換行列式理論,大致具備上述行列式基本性質,並把克萊姆規則推廣到係數是體中元素的線性方程組上。 歷史上,最早使用行列式是在17世紀G.W.萊布尼茨與G.-F.-A.de洛必達時代。後來G.克萊姆於1750年發表了著名的克萊姆規則。A.-L.柯西於1841年首先創立了現代的行列式概念及其符號,但他的某些思想卻來自C.F.高斯。數學分類導航
| 數學是研究現實世界中數量關係和空間形式的科學。簡單地說,是研究數和形的科學。由於生活和勞動上的需求,即使是最原始的民族,也知道簡單的計數,並由用手指或實物計數發展到用數字計數。基礎數學的知識與運用總是個人與團體生活中不可或缺的一塊。其基本概念的精煉早在古埃及、美索不達米亞及古印度內的古代數學文本內便可觀見。從那時開始,其發展便持續不斷地有小幅的進展,直至16世紀的文藝復興時期,因著和新科學發現相作用而生成的數學革新導致了知識的加速,直至今日。 | |||
| 代數 | 函式 | 級數 | 定理 |
| 方程 | 幾何學 | 數學家 | 統計學 |
| 博弈論 | 數學史 | 範疇論 | 速算 |
| 套用數學 | 離散數學 | 數學軟體 | 數理邏輯 |
| 數學書籍 | 數學猜想 | 數學競賽 | 拓撲學 |
| 數學研究所 | 數學組織 | 數學獎項 | 數學中未解決的問題 |

