簡介
按照一定的規則,由排成正方形的一組(n個)數(稱為元素)之乘積形成的代數和,稱為n階行列式。
n階行列式例如,四個數a、b、c、d所排成二階行式記為 ,它的展開式為ad-bc。
n階行列式九個數a,a,a;b,b,b;c,c,c排成的三階行列式記為 ,它的展開式為abc+abc+abc-abc-abc-abc. 行列式起源於線性方程組的求解,在數學各分支有廣泛的套用。在代數上,行列式可用來簡化某些表達式,例如表示含較少未知數的線性方程組的解等。
在1683年,日本的關孝和最早提出了行列式的概念及它的展開法。萊布尼茲在1693年(生前未發表)的一封信中,也宣布了他關於行列式的發現。
定義
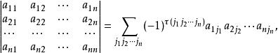
定義1 n階行列式
n階行列式等於所有取自不同行不同列的n個元素的乘積
n階行列式
n階行列式
n階行列式
n階行列式的代數和,這裡 是1,2,...,n的一個排列,每一項都按下列規則帶有符號:當 是偶排列時帶有正號,當 是奇排列時帶有負號。這一定義可寫成
n階行列式
n階行列式
n階行列式
n階行列式這裡 表示對所有n級排列求和, 表示排列 的逆序數。
由定義1立即看出,n階行列式是由n! 項組成的。
n階行列式的性質
性質1 行列互換,行列式不變。
性質2 把行列式中某一行(列)的所有元素都乘以一個數K,等於用數K乘以行列式。
性質3 如果行列式的某行(列)的各元素是兩個元素之和,那么這個行列式等於兩個行列式的和。
性質4 如果行列式中有兩行(列)相同,那么行列式為零。(所謂兩行(列)相同就是說兩行(列)的對應元素都相等)
性質5 如果行列式中兩行(列)成比例,那么行列式為零。
性質6 把一行(列)的倍數加到另一行(列),行列式不變。
性質7 對換行列式中兩行(列)的位置,行列式反號。
n階行列式的計算
首先給出代數餘子式的定義。
定義2 在行列式
n階行列式中划去元素a所在的第i行第j列,剩下的(n-1) 個元素按原來的排法構成一個n-1階的行列式M,稱M為元素a的餘子式,A=(-1) M稱為元素的代數餘子式。
定理 設
n階行列式A表示元素a代數餘子式,則下列公式成立:
n階行列式
n階行列式范德蒙德行列式
行列式
n階行列式稱為n級的范德蒙德(Vandermonde)行列式。可以證明:對任意的 n(n≥2),n階范德蒙德行列式等於a,a,...,a這n個數的所有可能的差a-a(1≤j<i≤n)的乘積。

