續文
因百度百科詞條公式數量限制,行列式詞條內容剩餘部分展示在此詞條中。
基本性質
行列式的一些基本性質,可以由它的多線性以及交替性推出。
•在行列式中,一行(列)元素全為0,則此行列式的值為0。
行列式續•在行列式中,某一行(列)有公因子k,則可以提出k。
行列式續•在行列式中,某一行(列)的每個元素是兩數之和,則此行列式可拆分為兩個相加的行列式。
行列式續•行列式中的兩行(列)互換,改變行列式正負符號。
行列式續•在行列式中,有兩行(列)對應成比例或相同,則此行列式的值為0。
行列式續•將一行(列)的k倍加進另一行(列)里,行列式的值不變。
行列式續注意:一行(列)的k倍加上另一行(列),行列式的值改變。
行列式續將行列式的行列互換,行列式的值不變,其中行列互換相當於轉置。 這個性質可以簡單地記作
行列式續
行列式續例如:
•行列式的乘法定理:方塊矩陣的乘積的行列式等於行列式的乘積。
行列式續
行列式續特別的,若將矩陣中的每一行每一列上的數都乘以一個常數 r,那么所得到的行列式不是原來的 r倍,而是 r倍。
行列式續
行列式續
行列式續·以上的乘法公式還可以進一步推廣為所謂柯西–比內公式,從而使得只要兩個矩陣的乘積是方塊矩陣,就有類似於以上的結果:假設 A是一個矩陣,而 B是一個矩陣。如果 S是 中具有 m個元素的子集 ,我們記 A為 A中列指標位於 S中的子矩陣。類似地,記 B為 B中行指標位於 S中的子矩陣。那么
行列式續這裡求遍 中 m個元素的所有可能子集 S(共有C( n, m)個)。
如果 m= n,即 A與 B是同樣大小的方塊矩陣,則只有一個容許集合 S,柯西–比內公式退化為通常行列式的乘法公式。如過 m= 1則有 n容許集合 S,這個公式退化為點積。如果 m> n,沒有容許集合 S,約定行列式det( AB)是零。
行列式續·若 A是可逆矩陣, 。
行列式續
行列式續
行列式續·由行列式的乘法定理以及 可以知道,行列式定義了一個從一般線性群 到上 的群同態。
行列式續·若將方塊矩陣中的元素取共軛,得到的是矩陣的共軛矩陣。共軛矩陣的行列式值等於矩陣行列式值的共軛:
·若兩個矩陣相似,那么它們的行列式相同。這是因為兩個相似的矩陣之間只相差一個基底變換,而行列式描述的是矩陣對應的線性映射對體積的影響,而不是體積,所以基底變換並不會影響行列式的值。用數學語言來說,就是:
如果兩個矩陣 A與 B相似,那么存在可逆矩陣 P使得,所以
行列式續
行列式續·
·行列式是所有特徵值(按代數重數計)的乘積。這可由矩陣必和其若爾當標準型相似推導出。特殊地,三角矩陣的行列式等於其對角線上所有元素的乘積。
行列式續
行列式續·由於三角矩陣的行列式計算簡便,當矩陣的係數為域時,可以通過高斯消去法將矩陣變換成三角矩陣,或者將矩陣分解成三角矩陣的乘積之後再利用行列式的乘法定理進行計算。可以證明,所有的矩陣 A都可以分解成一個上三角矩陣 U、一個下三角矩陣 L以及一個置換矩陣 P的乘積:。這時,矩陣 A的行列式可以寫成:
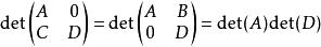
行列式續·分塊矩陣的行列式並不能簡單地表示成每個分塊的行列式的乘積組合。對於分塊的三角矩陣,仍然有類似的結論:,矩陣的行列式等於對角元素的行列式之乘積。
行列式續對於一般情況,若對角元素中有一個是可逆矩陣,比如說 A可逆,那么矩陣的行列式可以寫做
行列式續·矩陣的行列式和矩陣的跡數有一定的關聯,當矩陣的係數為域時,在定義了矩陣的指數函式後,有如下的恆等式:
行列式的展開
余因式
又稱“餘子式”、“余因子”。參見主條目余因式。
行列式續對一個 n階的行列式 M,去掉 M的第 i行第 j列後形成的 n-1階的行列式叫做 M關於元素 m的余因式。記作。
行列式續代數餘子式
行列式續M關於元素 m的 代數餘子式記作。
行列式關於行和列的展開
一個 n階的行列式 M可以寫成一行(或一列)的元素與對應的代數餘子式的乘積之和,叫作行列式按一行(或一列)的展開。
行列式續
行列式續這個公式又稱拉普拉斯公式,把 n維矩陣的行列式計算變為了 n個 n-1維的行列式的計算。 另一方面,拉普拉斯公式可以作為行列式的一種歸納定義:在定義了二維行列式後, n維矩陣的行列式可以藉助拉普拉斯公式用 n-1維的行列式來定義。這樣定義的行列式與前面的定義是等價的。
計算
行列式續
行列式續計算行列式的值是一個常見的問題。最簡單的方法是按照定義計算或按照拉普拉斯公式進行遞歸運算。這樣的算法需要計算次的加法,複雜度是指數函式。在實際的計算中只能用於計算階數很小的行列式。注意到拉普拉斯公式的性質,如果一行或一列裡面有很多個0,那么就可以把行列式按這一行或一列展開,這時數值為零的係數所對應的代數餘子式就不必計算了,因為最後要乘以0,這樣就可以簡化計算。然而更加簡便的算法是利用高斯消去法或LU分解法,把矩陣通過初等變換變成三角矩陣或三角矩陣的乘積來計算行列式的值。這些算法的複雜度都是n 級別,遠遠小於直接計算的複雜度。
行列式續
行列式續
行列式續
行列式續如果一個算法可以在時間內算出矩陣乘法,那么可以構造出一種時間內的行列式求值算法。這說明求矩陣的行列式的值和矩陣的乘法有相同的複雜度。於是,通過分治算法或者其它的方法,可以達到比更好的結果。比如,存在複雜度的行列式求值算法。
函式
由行列式的一般表達形式中可以看出,矩陣 A的行列式是關於其元素的多項式。因此行列式函式具有良好的光滑性質。
單變數的行列式函式
行列式續
行列式續
行列式續
行列式續
行列式續
行列式續
行列式續
行列式續設矩陣函式 為 ( k階連續可導)的函式,則由於行列式函式 只不過是矩陣 的某些係數的乘積,所以也是 的。其對 t的導數為 ,其中的每個 是矩陣 的第 i個行向量(也可以全部是列向量)。
矩陣的行列式函式
行列式續
行列式續
行列式續函式 是連續的。由此,n階一般線性群是一個開集,因為是開區間 的原像,而特殊線性群則是一個閉集,因為是閉集合 的原像。
行列式續
行列式續函式 也是可微的,甚至是光滑的( )。它在某個矩陣 A處的展開為
行列式續也就是說,在裝備正則範數的矩陣空間M()中,伴隨矩陣是行列式函式的梯度
行列式續特別當 A為單位矩陣時,
行列式續可逆矩陣的可微性說明一般線性群GL()是一個李群。
