基本介紹
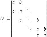
帶形行列式即形如
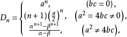
帶形行列式的n階行列式稱為帶形行列式,其中主對角線上的元素全是a,與主對角線平行的兩條線上的元素分別全為b和c,其餘的元素全是零。帶形行列式
帶形行列式式中
帶形行列式是二次方程x²-ax+bc=0的根 。
例題解析
以下例題的行列式都是帶形行列式。
【例1】計算下列行列式:
帶形行列式
帶形行列式分析 主對角線上元素全是x +y,與其平行的上方元素全是xy,而下方元素全是1.因此可試探利用拆項法或先從D,D尋求規律再用數學歸納法證明的方法 。
解法1拆項法。
帶形行列式按第一列把 拆成兩個行列式相加,然後對第一個行列式從第一列開始,每列都乘-y往下一列加,得
帶形行列式
帶形行列式再將 按另一種方法拆項,類似可得
帶形行列式由(1)x-(2)y,得
帶形行列式當x≠y時得
帶形行列式當x=y時,由(1)並進一步可得
帶形行列式
帶形行列式即(3)式也是對的 。
解法2 用數學歸納法證明。
帶形行列式即先計算特殊的 ,從中得出結論再用數學歸納法證明一般結論的方法,此法往往是有效的。
由直接驗算易知:
帶形行列式
帶形行列式於是推測 (4)
假設當n<k時(4)式成立,下證n=k時(4)式成立。
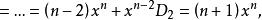
對D按第一行展開,得
帶形行列式
帶形行列式但由歸納假設,將 代人上式, 得
帶形行列式
帶形行列式
帶形行列式即(4)式對n=k也成立,得證 。
【例2】計算下列行列式:
帶形行列式解 :在上題中取x=y=1即得
帶形行列式另證法如下:對D按第一行(或列)展開,得遞推公式
帶形行列式
帶形行列式由此得 據此又得
帶形行列式
