基本介紹
(1)對一個n階行列式添加k行和k列(k為正整數),且每行(列)各含有n個元素,而添加行列的交叉處補零所得到的(n+k)階行列式,叫做 加邊行列式。例如,行列式
加邊行列式和
加邊行列式都是二階行列式
加邊行列式的加邊行列式 。
(2)行列式降一階,其項數急劇減少,我們總是喜歡用降階法處理問題,但是有時用升階法反而方便。對於n階行列式D增加一行,一列,就變成n+1階行列式△,由於增加的一行一列常常在邊上,稱△為n的 加邊行列式。構造出來的這個加邊行列式與原來的行列式值相等,而且這個加邊行列式容易計算 。
例題解析
加邊行列式
加邊行列式
加邊行列式
加邊行列式
加邊行列式
加邊行列式
加邊行列式
加邊行列式
加邊行列式
加邊行列式
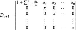
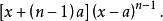
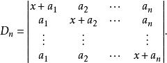
加邊行列式【例1】計算行列式: 解:D加邊成以下的n+1階行列式第一行乘以-1後分別加到其餘各行,再從第2,3,…,n+1列分別提取x-a,然後各列都加到第一列上,得當x=a時,Dn=0,以上結論也是對的。【例2】計算行列式: 解:將行列式升階 這是一個箭形行列式,當x不等於0時有 當x=0時,上述結果顯然也成立 。

