定義
行列式的概念是從解線性方程組的需要中引進來的。所謂線性方程組是指未知項的最高次數是一次的方程組,其中最簡單的是在中學時學習的二元線性方程組:
二階行列式
二階行列式
二階行列式
二階行列式
二階行列式
二階行列式其中 表示第 個方程中第 個未知數的係數, 表示第 個方程的常數項。
二階行列式
二階行列式
二階行列式用加減消元法來解該方程組,第一、二式分別乘以 和 ,然後相減,消去未知數 ,得到
二階行列式
二階行列式同理,消去未知數 ,得到
二階行列式
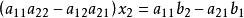
二階行列式當時,方程組有唯一解
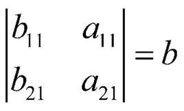
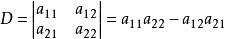
二階行列式為了便於記憶,引入如下記號
二階行列式
二階行列式
二階行列式
二階行列式稱為二階行列式,其中稱為這個行列式第行第列的元素。
二階行列式是四個數排成兩行兩列,用一種稱為對角線法則計算得出的數,從左上角到右下角上元素相乘,取正號,右上角和左下角上元素相乘,取負號,兩個乘積的代數和就是二階行列式的值。
套用
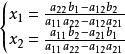
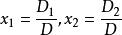
利用二階行列式,我們可以方便的求解上述方程組。
二階行列式當時,上述方程組的解可以寫成:
二階行列式
二階行列式
二階行列式
二階行列式其中分別是用常數項代替中的第一、二列而得到的二階行列式,即
二階行列式歷史起源
歷史上,最早使用行列式概念的是17世紀德國數學家萊布尼茲,後來瑞士數學家克萊姆於1750年發表了著名的用行列式解線性方程組的克萊姆法則,首先將行列式的理論脫離開線性方程組的是數學家范德蒙,1772年他對行列式作出連貫的邏輯闡述.
法國數學家柯西於1841年首先創立了現代的行列式概念和符號,包括行列式一詞的使用,但他的某些思想和方法是來自高斯的。在行列式理論的形成與發展的過程中做出過重大貢獻的還有拉格朗日、維爾斯特拉斯、西勒維斯特和凱萊等數學家。

