正文
雅可比行列式
雅可比行列式
雅可比行列式雅可比行列式是以 n個 n元函式 的偏導數為元素的行列式,常記為 。事實上,在函式都連續可微(即偏導數都連續)的前提之下,函式組的微分形式為 的係數矩陣(即雅可比矩陣)的行列式。
如果在一個連通區域內雅可比行列式處處不為零,它就處處為正或者處處為負。如果雅可比行列式恆等於零,則函式組是函式相關的,其中至少有一個函式是其餘函式的一個連續可微的函式。
證明
雅可比行列式
雅可比行列式
雅可比行列式
雅可比行列式
雅可比行列式
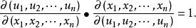
雅可比行列式若因變數 對自變數 連續可微,而自變數 對新變數 連續可微,則因變數 對新變數 連續可微,且
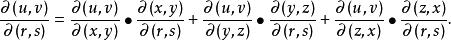
雅可比行列式這可用行列式的乘法法則和偏導數的連鎖法則直接驗證。偏導數的連鎖法則也有類似的公式。如當( u, v)對( x, y, z)連續可微,而( x, y, z)對( r,s)連續可微時,便有
雅可比行列式
雅可比行列式若上式中 r能回到 u,則
雅可比行列式這時必須有 。
雅可比行列式於是以此為係數行列式的聯立線性方程組中能把 解出來。
雅可比行列式
雅可比行列式
雅可比行列式
雅可比行列式由隱函式存在定理可知,在 對連續可微的前提下,只須 便足以保證 也對 連續可微。這樣,連續可微函式組便在雅可比行列式不等於零的條件之下,在每一對相應點 u與 x的鄰近範圍內建立起點與點之間的一個一對一的對應關係。
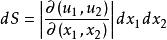
雅可比行列式在 n=2的情形,以Δ x₁,Δ x₂為鄰邊的矩形(Δ R)對應到( u₁, u₂)平面上的一個曲邊四邊形(Δ S),其面積Δ S關於Δ x₁,Δ x₂的線性主要部分,即面積微分是。這常用於重積分的計算中。
雅可比行列式如果在一個連通區域內雅可比行列式處處不為零,它就處處為正或者處處為負(其正負號標誌著 u-坐標系的鏇轉定向是否與 x-坐標系的一致)。如果雅可比行列式恆等於零,則函式組是函式相關的,其中至少有一個函式是其餘函式的一個連續可微的函式。

