運算規則
向量表示的多邊形有向面積計算法則是依靠行列式來計算。
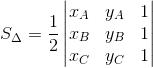
例如,△ABC有向面積可表示為
有向面積三角形有向面積可表示為這樣的三階行列式。n邊形的面積可表示為像這樣的N階行列式。
利用行列式運算法則即可得到有向面積。
性質
有向面積可以是正的,可以是負的,這取決於圍成封閉圖形的向量。
如果三角形OAB三個頂點呈逆時針排列則面積為正,順時針排列則為負,三點共線時 ,面積為0。。
有向面積是平面解析幾何的向量體系中的概念,表示既有有方向又有大小的面積。和普通的標量面積相對。
向量表示的多邊形有向面積計算法則是依靠行列式來計算。
例如,△ABC有向面積可表示為
有向面積三角形有向面積可表示為這樣的三階行列式。n邊形的面積可表示為像這樣的N階行列式。
利用行列式運算法則即可得到有向面積。
有向面積可以是正的,可以是負的,這取決於圍成封閉圖形的向量。
如果三角形OAB三個頂點呈逆時針排列則面積為正,順時針排列則為負,三點共線時 ,面積為0。。
近年來,我們研究了有向距離、有向面積定值的一些問題,得到了一些比較好的結果,並揭示了這些結果與一些著名的幾何結論,如Menelans定理、Newton定...
內容簡介 作者簡介 圖書目錄三角形面積坐標是一種自然坐標,在有限元分析中一般用它來構造三角形單元的插值函式。隨著有限元理論的發展,也出現了四邊形單元的面積坐標等方法和理論。
定義 點的面積坐標符號接觸面積是一個計算超過界限灰度值的象素總和。 物理意義 摩擦力大小和接觸面積無關,和實際接觸面積成正比,而實際接觸面積又與壓強成正比,所以固體物質不管橫...
實際套用 接觸面積對波傳播規律及節理力學特性影響 考慮接觸面積影響的粗糙節理滲流分析李向群 (1978年6月~1998年8月22日)海南瓊山人。1996年12月入伍,廣州軍區某集團軍“塔山守備英雄團”九連一班戰士。1998年8月5日,他...
人物生平 個人榮譽 人物評價 人性之光商品房的銷售面積是指購房者所購買的套內或單元內建築面積和自己應該分攤的公用建築面積的總和。
商品房銷售面積的規定 商品房銷售面積計算方法 套內建築面積售房與建築面積售房的異同雷達目標截面積是目標向雷達接收天線方向散射電磁波能力的量度。
雷達目標截面積 正文 配圖 相關連線宗地面積亦稱土地面積,是指一宗地權屬界址線範圍內的土地面積。
概念 規定 第一條 第二條 第三條集中供熱面積指在報告期末符合集中供熱標準的供熱單位(企業),向城市各類房屋建築物、構築物及其它設施供熱的建築面積。
套內面積全名套內建築面積,是由以下三部分組成的:套內使用面積+套內牆體面積+陽台建築面積。銷售房屋,如果按套內面積計算,對業主和開發商都有一定的有利因素...
科學分類 銷售 相關知識