雷達目標截面積
正文
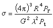
目標向雷達接收天線方向散射電磁波能力的量度。它是一個等效的面積,當這個面積所截獲的雷達照射能量各向同性地向周圍散射時,在單位立體角內的散射功率,恰好等於目標向接收天線方向單位立體角內散射的功率。雷達目標截面積具有面積的量綱,常用單位是平方米或平方波長。用σ 表示雷達目標截面積, 則可寫為




雷達目標截面積
雷達目標截面積
雷達目標截面積是目標向雷達接收天線方向散射電磁波能力的量度。





雷達目標截面積
雷達目標截面積雷達截面積(Radar cross-section,RCS)是指雷達的反射截面積,雷達探測的原理是發射電磁波照射到物體表面在反射回接收天線,而雷達波照射...
影響雷達截面積RCS的因素 雷達探測距離 不同物體的RCS大小 相關條目雷達探測的對象一般稱為雷達目標。凡能散射電磁波的物體都可以作為雷達的目標。空中交通管制雷達以飛機作為目標;艦載雷達以船艦、浮標、海岸線等作為目標;地圖測...
雷達目標和雜波 正文 配圖 相關連線中文釋義:雷達散射面積也稱雷達散射截面 注釋:雷達目標和散射的能量可以表示為一個有效面積和入射功率密度的乘積。 雷達目標反射面積RCS可從電磁散射理論方...
雷達氣象學是用氣象雷達進行大氣探測和研究雷達波與大氣相互作用的學科。它是大氣物理學、大氣探測和天氣學共同研究的一個分支。
內容簡介 發展 基礎理論 雷達方程 種類《雷達系統》是中航雷達與電子設備研究院在國防工業出版社2005年出版圖書,該書可以供從事雷達和雷達對抗專業的工程技術人員使用,有可作為雷達和電子工程專業...
基本信息 簡介 目錄為了有效對抗反艦飛彈的威脅 ,必須大力發展艦載雷達無源干擾技術。經過半個多世紀的發展 ,艦載雷達無源干擾技術已經相當成熟 ,達到很高的水平。
雷達無源干擾技術 正文 配圖 相關連線這是雷達目標截面積的實驗定義式。 這是實驗測定雷達目標截面積的基本公式。 雷達目標截面積的這一定義與距離無關。
天基雷達(Space Based Radar,SBR)又稱為星載雷達或太空雷達,是指以太空飛行器為工作平台的交會雷達、合成孔徑雷達或預警雷達。天基雷達一般以...
簡介 主要特點 功能套用 平台和軌道 天基雷達的體制