內容簡介
雷達氣象學雷達氣象學的主要內容包括三部分:
基礎理論方面
包括雲和降水粒子對雷達波的散射(見雲和降水看子的微波散射);微波經過大氣、雲和降水粒子時的衰減(見雲和降水中看的微波衰減);氣象條件對雷達波傳播的影響,如大氣折射、大氣不均勻結構的散射等(見無線電波在對流層中的折射、電磁波在湍流個大氣中的傳播)。
套用方面
包括雷達測量降水和雲中的含水量;天氣系統(特別是中小尺度系統)的雷達回波在天氣分析預報上的套用(見氣象雷達回波),在雲和降水物理探測研究上的套用(見微波大氣遙感);都卜勒雷達和各種波長的新型雷達在風的水平結構和鉛直結構、鉛直氣流速度、降水粒子譜、晴空回波、大氣湍流等的探測研究中的套用(見氣象都卜勒雷達、調頻連續波雷達)。
技術方面
包括各種氣象雷達資料的處理和傳輸等。
發展
氣象分析圖20世紀40年代雷達開始用於降水天氣過程的探測,這一時期主要是建立雷達氣象學的理論基礎的階段;50年代是從定性研究轉入定量研究的階段,其中包括定量測雨和定量顯示反射率,以及對雷達信號脈動、偏振等現象的研究。50年代後期和60年代初期,許多國家建立了天氣雷達站網,促進了雷達氣象學的進一步發展。60年代及其以後,雷達氣象學在多方面得到了新的發展:氣象雷達方程精度的改進;晴空回波在理論研究和探測技術上得到新的進展,由湍流不均勻介質散射理論,給出了散射強度和湍流結構的關係,為大氣結構、晴空湍流、大氣波動、熱對流、大氣風場、鉛直氣流速度等的探測和研究,開闢了新的途徑。同時,氣象雷達在資料的實時處理和觀測結果的傳輸方面也取得了很大進展,並出現了定量探測的數字天氣雷達網。近20年來最突出的發展是,氣象都卜勒雷達在大氣遙感探測和研究工作中的套用,如探測降水雲內和晴空大氣中水平風場和鉛直風場、降水滴譜和大氣湍流等。都卜勒雷達還為龍捲的探測和短時間預報提供了有效的工具。在完成多部雷達聯合組網實時定量探測的基礎上,可利用雷達測雨的觀測資料,結合衛星觀測,進行更大範圍的降水預報。
基礎理論
雲和降水粒子在微波輻射作用下將產生電極化和磁極化,並按入射波的頻率振盪,振盪的電極子和磁極子向四周散射與入射波頻率相同的電磁波。 粒子對入射波能量的散射強度,除了同入射波的強度、波長、偏振等有關外,還同粒子的介電性質、形狀、大小、取向(對非球性粒子而言)等有關。雷達接收的回波強度,同雲和降水粒子的後向散射的強弱有關。在氣象上常用後向散射截面(也叫雷達花粉管截面)表示後向散射能力,它是一個等效面積。入射到這個截面上的電波能量如果均勻地向各方向散射,雷達天線接收的實際回波功率,相當於該截面的後向散射功率。
雲和降水粒子對雷達波的散射,是雲和降水雷達回波的物理基礎(見氣象雷達回波)。液體雲滴、大多數雨滴和包括低密度雪花在內的一些固體降水粒子,都可以看成球形粒子。根據G.米的理論(見大氣散射),對平面入射波來說,球形粒子的後向散射截面σ ,除了同入射波的波長λ有關之外,還同粒子的復折射率m(m =n-iχ。 其中n為折射率, χ為與吸收有關的量,
)和直徑d 有關。米散射理論的公式很複雜,但當d?λ時,可簡化成瑞利公式(又稱瑞利近似):

套用波長10厘米的雷達時,所有球形省份液體雲滴和雨滴的σ 值,都可用瑞利公式來計算;對於波長3厘米的雷達,瑞利公式只適用於直徑在2毫米以下的球形雨滴。波長35~102厘米範圍內的雷達,大多數雨滴可以使用瑞利公式。而對於球形冰粒,瑞利公式的適用條件是d<0.16λ。
由瑞利公式可見:波長愈短,球形粒子的後向散射能力愈強。粒子直徑增大,σ 將按其六次方的關係迅速增大。雨滴比雲滴大得多,其後向散射能力比雲滴要大得多,故在雲和降水中,雷達回波的能量主要是由為數不多的大粒子所產生的。對於波長為 3~10厘米的雷達波,這些粒子的σ 值和喣(m29+1)/(m2+2) 喣2的數值有關。雲和降水粒子在下降過程中, 性質不同的粒子, 其喣(m2+1)/(m2+2)喣2 值也不同:①水滴,約為0.93;②冰粒,約為0.197;③冰粒下降到0°C層以下,表面融化而成水包冰粒,隨著水膜的出現和增厚,融化冰球的值由 0.197迅速增大到接近0.93;④在較均勻的冰、水粒子混合的情況下,此值隨著水的比例增加而增大,但增大得較慢。
在d?λ的情況下,水滴的σ 值約為同體積冰粒的5倍;而當冰粒增大到一定程度,例如d≥λ時,按米理論計算,可知冰粒的σ 值反而比同體積的水滴大,並且可以大一個量級。
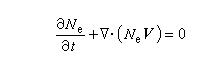
雷達方程
雷達探測雲和降水時,接收到的回波功率與雷達特性參數、目標距離、雲或降水目標的物理性質等之間的關係式。它是雷達氣象學的重要理論基礎,是雷達定量測量降水和雲中含水量,推測雲和降水的物理特性,選擇氣象雷達參數等的基本方程。
對於發射功率為 Pt,波長為λ,脈衝波的空間長度為h,天線增益為G(表示天線定向發射的能力),以及水平和垂直波束角寬度分別為θ和φ的雷達,其基本氣象雷達方程為
(圖)雷達氣象學當雲和降水粒子為球形且直徑比雷達波長小得多的情況下,其後向散射截面,可以用瑞利公式代入(見雲和降水粒子的微波散射),這時,氣象雷達方程可寫成:
(圖)雷達氣象學當粒子直徑大到和雷達波長相近或大於雷達波長時,不能套用瑞利公式,這時氣象雷達方程一般可寫成:
(圖)雷達氣象學種類
雷射雷達系統凡是不具有都卜勒性能的雷達稱為非相干雷達或常規氣象雷達,具有都卜勒性能的雷達稱為相干雷達或都卜勒雷達。
主要的氣象雷達有:
測雲雷達。是用來探測未形成降水的雲層高度、厚度以及雲內物理特性的雷達。其常用的波長為1.25厘米或0.86厘米。工作原理和測雨雷達相同,主要用來探測雲頂、雲底的高度。如空中出現多層雲時,還能測出各層的高度。由於雲粒子比降水粒子小,測雲雷達的工作波長較短。測雲雷達只能探測雲比較少的高層雲和中層雲。對於含水量較大的低層雲,如積雨雲、冰雹等,測雲雷達的波束難以穿透,因而只能用測雨雷達探測。
測雨雷達。又稱天氣雷達,是利用雨滴、雲狀滴、冰晶、雪花等對電磁波的散射作用來探測大氣中的降水或雲中大滴的濃度、分布、移動和演變,了解天氣系統的結構和特徵。測雨雷達能探測颱風、局部地區強風暴、冰雹、暴雨和強對流雲體等,並能監視天氣的變化。
測風雷達。用來探測高空不同大氣層的水平風向、風速以及氣壓、溫度、濕度等氣象要素。測風雷達的探測方式一般都是利用跟蹤掛在氣球上的反射靶或應答器,不斷對氣球進行定位。根據氣球單位時間內的位移,就能定出不同大氣層水平風向和風速。在氣球上同時掛有探空儀,遙測高空的氣壓、溫度和濕度。
圓極化雷達。一般的氣象雷達發射的是水平極化波或垂直極化波,而圓極化雷達發射的是圓極化波。雷達發射圓極化波時,球形雨滴的回波將是向相反方向鏇轉的圓極化波,而非球形大粒子(如冰雹)對圓極化波會引起退極化作用,利用非球形冰雹的退極化性質的回波特徵,圓極化雷達可用來識別風暴中有無冰雹存在。
調頻連續波雷達。它是一種探測邊界層大氣的雷達。有極高的距離解析度和靈敏度,主要用來測定邊界層晴空大氣的波動、風和湍流(見大氣邊界層)。
氣象都卜勒雷達。利用都卜勒效應來測量雲和降水粒子相對於雷達的徑向運動速度的雷達。甚高頻和超高頻都卜勒雷達。利用對流層、平流層大氣折射率的不均勻結構和中層大氣自由電子的散射,探測1~100公里高度晴空大氣中的水平風廓線、鉛直氣流廓線、大氣湍流參格的故事發生數、大氣穩定層結和大氣波動等的雷達。
在研究試驗的雷達中還有雙波長雷達和機載都卜勒雷達等。70年代以來,利用一個運動著的小天線來等效許多靜止的小天線所合成的一個大天線的合成孔徑雷達的新發展,必將加速機載都卜勒雷達今後的發展進程。機載都卜勒雷達的機動性很強,可以用來取得解析度很高的對流風暴嗒的負擔感動 的都卜勒速度分布圖。

