大氣折射
正文
包圍地球的大氣層從地面一直延伸到幾千公里高度,從下到上可分為對流層、平流層、電離層和磁層四層。無線電波在大氣層中傳播時,由於在各層中的傳播速度變化而產生的效應稱為大氣折射,它對雷達定位、都卜勒測速、通信、導航都有影響。所測得的目標角度、距離、高度都存在大氣折射誤差。大氣折射誤差可根據大氣結構計算求出,稱為大氣折射誤差修正。射線理論是研究大氣折射的基本理論。當無線電波在不均勻介質中傳播且其內部反射可忽略時,可用幾何光學近似方法對其進行研究。略去地磁場影響,電離層和對流層均為四維(三維空間與時間)不均勻各向同性介質,其中射線是由費馬原理推導出的偏微分方程組描述的空間曲線。對四維不均勻大氣的大量測量結果表明,通常大氣隨離地高度的變化比沿球面方向的變化大1~3個量級。因此,在大氣折射誤差修正中,可假設大氣層是球面分層,這時射線服從球面斯涅耳定律。
由於大氣折射指數分布不同,射線在空間彎曲的方向和程度也有所不同。按射線曲率半徑 ρ(彎向地面為正,背向地面為負)與地球半徑ɑ之比的大小,折射可分為正折射(ρ/ɑ>0)、負折射(ρ/ɑ<0)、標準折射(ρ/ɑ=4)和超折射(ρ/ɑ<1)。無線電波在對流層和下電離層(其電子密度小於電離層電子密度最大值)中傳播時通常產生正折射;在上電離層中傳播時產生負折射;當折射指數梯度dn/dh<-157×10-6km-1、射線仰角為0°時,產生超折射。在考慮大氣折射效應時,採用等效地球半徑的概念。根據球面斯涅耳定律,如果半徑為ɑ的地球用半徑ɑθ=Kɑ的等效地球代替,則無線電波射線可視為在真空中以直線傳播,其中

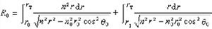
直接根據球面斯涅耳定律與幾何關係,可求得較精確的大氣折射誤差。大氣折射使雷達定位的目標仰角測量誤差為


nTrTcosθT=n0r0cosθ0
求得。式中nT為目標點的折射指數(見圖)。
大氣折射

與目標真實速度v的關係為
=-f0nT(vxl+vym+vzn)/c
由於大氣層是假定為球面分層、大氣結構具有隨機起伏且探測有誤差等原因,大氣折射誤差修正具有不準確性,即大氣折射誤差修正存在殘差。測得的對流層折射率【N=(n-1)×106】誤差約為5N-單位,它所引起的殘差為用較精確方法算得的對流層折射誤差量的3%~5%;電離層結構誤差引起的殘差為電離層折射誤差量的25%。大氣隨機起伏用湍流強度和湍流尺度表征,湍流強度為零點幾到幾個N-單位,平均湍流尺度為十幾米到一千多米。它所引起的隨機殘差比大氣折射誤差小1~2量級。大氣折射誤差修正殘差主要是系統誤差,它可用模型表示:距離誤差殘差在高仰角時與測得仰角餘割成正比,在低仰角時是測得仰角餘割的三次代數式;仰角誤差殘差在高仰角時與測得仰角餘切成正比,在低仰角時是測得仰角餘切的三次代數式。
參考書目
B. R.Bean and E.J.Dutton, Radio Meteorology,Dover Pub.,New York,1968.
