基本介紹
各向同性介質(isotropic medium)是指任意點的各個方向上,滲透性、壓縮性和抗剪強度等物理力學性質相同的介質。在地震勘探中,各向同性介質各點在不同方向具有相同的地震波傳播速度。
各向同性介質
各向同性介質在彈性理論的研究中,通常把固體的性質分為 各向同性和 各向異性。凡彈性性質與空間方向無關的固體,稱為 各向同性體,反之則稱為各向異性體。岩石彈性性質的方向性取決於組成岩石、礦物質點的空間方向性及礦物質點的排列結構和岩石成分。礦物質點的方向性由礦物結晶體的結構決定,但是從晶體的線度來說它遠遠小於地震波波長,因此由晶體引起的各向異性完全可以被忽略。對礦物質點排列的結構來說,沉積比較穩定的沉積岩大都由均勻分布的礦物質的集合體所組成,即使在橫向上有變化也是極為緩慢的,較少表現出岩石各向異性的性質。實際上,為了研究問題的方便,也常常把實際地層介質看成是各向同性介質模型,較少使用各向異性介質模型。近年來,對定向裂隙介質的研究大為增加,出現了一種稱為“橫各向同性”介質的簡化各向異性介質模型。在一般的各向異性介質中,彈性係數達21個之多。在橫各向同性介質中,獨立的彈性係數減少為5個。在各向同性介質中,彈性係數只有2個: 和 (拉梅係數),它們不隨空間方向變化。這樣將固體介質當作各向同性來研究,可以大大簡化求解彈性力學的問題 。
在地震勘探中,大部分工作是在沉積比較穩定的沉積岩地區,巨觀上看大部分沉積岩都是由均勻分布的礦物質所組成的,如砂岩、頁岩、灰岩等。因此,在一個局部範圍內可以把沉積岩看為各向同性介質。正是由於可以把岩石近似看作各向同性的彈性介質,所以可以用彈性波的理論來研究地震波的傳播問題,從而使問題得以簡化 。
相關概念
各向同性性
各向同性(isotropism)是物體的物理性質與方向無關的性質。是某些物質的一種特性。具有各向同性特性的物體,稱為“ 各向同性體”,這種物體的物理性質在各個方向上都是一致的。例如,具有立方結構的單晶,其電阻率是各向同性的。通常對於由液體以及許多空間上混亂取向的小晶粒組成的集合體,可以近似的當作各向同性的介質來處理。當採用彈性理論來研究地震波的傳播、構造應力場時,往往忽略地殼介質的各向異性,而假定它是各 向同性體,即認為介質的楊氏模量、 剪下模量、泊松比、拉梅常數等彈性常數不隨方向而變化。這樣的假定雖與實際有一定差距,但能使計算大大簡化,又能滿足使用要求,故被廣泛採用。
各向同性介質模型
各向同性介質模型(isotropic medium model)是指介質的彈性性質及在介質中地震波傳播速度不依傳播方向而改變的介質模型。在利用地震勘探方法研究地震波運動學特徵時,一般將地震波傳播介質模型簡化為 各向同性介質模型及 層狀介質模型。當這種簡化模型引起顯著錯誤不能使用時,則採用不均勻介質模型,直至採用各向異性介質模型。
光在各向同性介質中的傳播
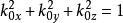
根據有關確定晶體中光波傳播特性的思路,可將波法線菲涅耳方程通分、整理,得到
各向同性介質
各向同性介質
各向同性介質
各向同性介質代入各向同性介質或立方晶體的主介電係數應滿足的關係式,並注意到,該式簡化為
各向同性介質
各向同性介質
各向同性介質由此得到重根。這就是說,在各向同性介質中,沿任意方向傳播的光波折射率都等於主折射率,或者說,光波折射率與傳播方向無關。
圖1 各向同性介質或立方晶體中各矢量的關係在各向同性介質或立方系晶體中傳播的光波電場結構如圖1所示。在各向同性介質或立方系晶體中,沿任意方向傳播的光波,允許有兩個傳播速度相同的線性不相關的偏振態(兩偏振方向正交),相應的振動方向不受限制,並不局限於某一特定的方向上。
各向同性介質中的平面聲波
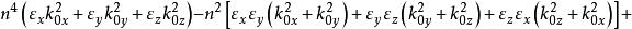
對於各向同性介質,彈性勁度常數的形式為:
各向同性介質
各向同性介質在各向同性介質中可以存在三種類型的平面聲波。
第一個類型的波是在x方向偏振,沿z方向傳播的橫波,它的傳播速度:
各向同性介質第二個類型的波是在y方向偏振,沿z方向傳播的橫波,它的傳播速度:
各向同性介質第三個類型的波是在z方向偏振,沿z方向傳播的縱波,它的傳播速度:
各向同性介質
各向同性介質
各向同性介質
各向同性介質為介質密度,從上面三式可以得出結論:在各向同性介質中,沿任何方向都可以傳播偏振方向相互垂直的三類平面波,其中兩個是橫波,或稱為剪下波,波速都為,另一個是縱波,傳播速度為。

