簡介
電離層與磁層電離層(ionosphere)是地球大氣的一個電離區域。由於受地球以外射線(主要是太陽輻射)對中性原子和空氣分子的電離作用,距地表60千米以上的整個地球大氣層都處於部分電離或完全電離的狀態,電離層是部分電離的大氣區域,完全電離的大氣區域稱磁層。也有人把整個電離的大氣稱為電離層,這樣就把磁層看作電離層的一部分。除地球外,金星、火星和木星都有電離層。
電離層從離地面約60公里開始一直伸展到約1000公里高度的地球高層大氣空域,其中存在相當多的自由電子和離子,能使無線電波改變傳播速度,發生折射、反射和散射,產生極化面的鏇轉並受到不同程度的吸收。
在電離作用產生自由電子的同時,電子和正離子之間碰撞複合,以及電子附著在中性分子和原子上,會引起自由電子的消失。大氣各風系的運動、極化電場的存在、外來帶電粒子不時入侵,以及氣體本身的擴散等因素,引起自由電子的遷移。在55公里高度以下的區域中,大氣相對稠密,碰撞頻繁,自由電子消失很快,氣體保持不導電性質。在電離層頂部,大氣異常稀薄,電離的遷移運動主要受地球磁場的控制,稱為磁層。
電離層的主要特性由電子密度、電子溫度、碰撞頻率、離子密度、離子溫度和離子成分等空間分布的基本參數來表示。但電離層的研究對象主要是電子密度隨高度的分布。電子密度(或稱電子濃度)是指單位體積的自由電子數,隨高度的變化與各高度上大氣成分、大氣密度以及太陽輻射通量等因素有關。電離層內任一點上的電子密度,決定於上述自由電子的產生、消失和遷移三種效應。在不同區域,三者的相對作用和各自的具體作用方式也大有差異。
電離層的發現,不僅使人們對無線電波傳播的各種機制有了更深入的認識,並且對地球大氣層的結構及形成機制有了更清晰的了解。
研究簡史
阿普頓對電離層的研究19世紀時,為解釋地磁場的變化,C.F.高斯和開爾文等提出高空存在導電層的構想。
1896年,義大利青年馬可尼發明了無線電。1901年,跨越大西洋的無線電通信開通了。人們在猜想,無線電波是如何繞地球彎曲的表面傳播的?許多科學家認為在高空可能存在一個導電的電離層,它使無線電波在地面和電離層之間多次被反射,沿大地曲率傳播。但科學家們多年未能找到這個高空電離層。1902年,O.亥維賽和A.E.肯內利為了解釋無線電信號跨越大西洋傳播這一實驗事實,提出了高空存在能反射無線電波的“導電層”的假設,當時稱為肯內利-亥維賽層。
1924年,阿普頓,E.V.和M.A.F.巴尼特等通過天波干涉法對無線電波回波的接收,證實了電離層的存在。
1924年12月11日,英國物理學家阿普爾頓(E.V.Appleton,1892-1965)利用新英國廣播公司設在波內茅斯的發射台以恆定的速率發射周期性變頻信號,在牛津接收站接收到的信號顯示距地面90千米處存在一個反射層。據此,證實了電離層的存在。後來,阿普爾頓又發現:根據自由電子、離子的不同濃度及對電磁波反射的不同效果,電離層在垂直方向上呈分層結構。
1925年,G.布雷特和M.A.圖夫發明的電離層垂直探測儀,是地面探測電離層的基本設備,為後來積累了大量的實測資料。他們用這部雛型雷達測量了無線電脈衝從電離層垂直反射的時間,驗證了上述結論,為電離層研究起了重要的作用。
1926年,沃森-瓦特,R.A.首先提出“電離層”這一名稱。
1949年,首次在V-2火箭上安裝朗繆爾探針直接探測電離層,開創了直接探測的先例。
隨著對電離層及其對電波傳播影響的深入了解,1925~1932年,阿普爾頓和D.R.哈特里等人創立了磁離子理論,提出電磁波在電離層中傳播的色散公式(阿普頓-哈特里公式),為解決預報天波傳播最佳頻率等套用問題、為研究電波在電離層中的傳播奠定了理論基礎。
1931年,S.查普曼提出電離層形成理論的簡單(查普曼層理論),極大地推動了電離層的研究。電離層研究極大地促進了短波通信的發展。
形成
電離層大氣的電離主要是太陽輻射中紫外線和X射線所致。此外,太陽高能帶電粒子和銀河宇宙射線也起相當重要的作用。地球高層大氣的分子和原子,在太陽紫外線、Χ射線和高能粒子的作用下電離,產生自由電子和正、負離子,形成電漿區域即電離層。電離層從巨觀上呈現中性。電離層的變化,主要表現為電子密度隨時間的變化。而電子密度達到平衡的條件,主要取決於電子生成率和電子消失率。
電子生成率是指中性氣體吸收太陽輻射能發生電離,在單位體積內每秒鐘所產生的電子數。電子消失率是指當不考慮電子的漂移運動時,單位體積內每秒鐘所消失的電子數。帶電粒子通過碰撞等過程又產生複合,使電子和離子的數目減少;帶電粒子的漂移和其他運動也可使電子或離子密度發生變化。
形態
電離層形態是電離層中電子密度等基本參量的空間結構(高度和經緯度分布)及其隨時間(晝夜、季節和太陽活動周期)變化的情況。電離層可從低到高依次分為D層、E層和F層等,其中F層還可分為F1層和F2層。E層和F1層中,電子遷移作用較小,具有查普曼層的主要特性。層的臨界頻率П(其平方正比於峰值電子密度)與太陽天頂角ě近似地滿足由簡單層理論所導出的關係式П=ɑcosě(兆赫),式中ɑ和b為常數。這個關係式反映了電離層電子密度隨時間和地區變化的基本趨勢。在較高的F2層,電離輸運起著重要作用;在地球磁極,存在著外來帶電粒子的轟擊,形態更為複雜。D層和F1層的峰形一般並不很凸出。圖1為電離層電子密度的典型高度分布。
D層 離地面約50~90公里。白天,峰值密度NmD和相應高度hmD的典型值分別為10厘米和85公里左右。無線電波中的短波在該層受到較大的吸收。太陽活動最高年的吸收幾乎是最低年的兩倍。一年之中,NmD的夏季值大於冬季值,但在中緯地區,冬季有時會出現異常吸收。夜間,電離基本消失。
E層 離地面約90~130公里。白天,峰值密度NmE及其相應高度hmE的典型值分別為10厘米和115公里。NmE的晝夜、季節和太陽活動周期三種變化,大致符合簡單層理論公式,分別於中午、夏季和活動高年達到最大值;這時,公式中常量ɑ≈0.9(180 1.44R),b≈0.25,R為12個月內太陽黑子數流動平均值。夜間,NmE下降,hmE上升;NmE≈5×10厘米,hmE的變化幅度一般不超過20公里。
F層 離地面約130公里以上,可再分為F1和F2層。
① F1層(離地面約130~210公里):白天,峰值密度NmF1及其相應高度hmF1的典型值分別為2×10厘米和180公里。F1層峰形夜間消失,中緯度F1層只出現於夏季,在太陽活動高年和電離層暴時,F1層變得明顯。NmF1和hmF1的變化與E層類似,大致符合簡單層的理論公式,這時ɑ≈4.3 0.01R,b≈0.2。

② F2層(離地面約210公里以上):反射無線電信號或影響無線電波傳播條件的主要區域,其上邊界與磁層相接。白天,峰值密度NmF2及其相應高度hmF2的典型值分別為10厘米;夜間,NmF2一般仍達5×10厘米。在任何季節,NmF2的正午值都與太陽活動性正相關。hmF2與太陽活動性一般也有正相關關係,除赤道地區外,夜間值高於白天值。在F2層,地球磁場大氣各風系、擴散和其他動力學因素起著重要的作用,其形態變化不能用查普曼的簡單層理論來描述,於是F2層比起E層和F1層便有種種“異常”。所謂日變化異常是指F2層電子密度的最大值不是出現在正午(通常是在本地時間13時至15時),同時NmF2還具有半日變化分量,其最大值分別在本地時間上午10~11時和下午22~23時。季節異常是指F2層正午的電子密度在冬季要比夏季高。赤道異常是指F2層電子密度並不在赤道上空最大,它明顯地受地磁場控制,其地理變化呈“雙峰”現象,在磁緯±20度附近達到最大值。在高緯度地區,可觀測到許多與帶電粒子沉降有關的異常現象。其中,最為重要的是F層“槽”,這是地球背陽面上從極光圈開始朝向低緯寬約5~10度的低電子密度的帶區。
峰上固定高度的電子密度和電離層電子總含量的時間變化,與NmF2有類似之處。圖2為電離層各層的峰值密度Nm和相應高度hm在中緯度地區的平均晝夜變化。
除上述各均勻厚層外,電離層還存在著兩種較常見的不均勻結構:Es層即偶發E層(見Es層電波傳播)和擴展F層(見電離層不均勻體)。
結構
太陽輻射使部分中性分子和原子電離為自由電子和正離子,它在大氣中穿透越深,強度(產生電離的能力)越趨減弱,而大氣密度逐漸增加,於是,在某一高度上出現電離的極大值。大氣不同成分,如分子氧、原子氧和分子氮等,在空間的分布是不均勻的。它們為不同波段的輻射所電離,形成各自的極值區,從而導致電離層的層狀結構。電離層在垂直方向上呈分層結構,一般劃分為D層、E層和F層,F層又分為F1層和F2層。最大電子密度約為10厘米,大約位於300千米高度附近。除正規層次外,電離層區域還存在不均勻結構,如偶發E層(Es)和擴展F。偶發E層較常見,是出現於E層區域的不均勻結構。厚度從幾百米至一二千米,水平延伸一般為0.1~10千米,高度大約在110千米處,最大電子密度可達10厘米。擴展F是一種出現於F層的不均勻結構,在赤道地區,常沿地磁方向延伸,分布於250~1000千米或更高的電離層區域。
電離層分層結構只是電離層狀態的理想描述,實際上電離層總是隨緯度、經度呈現複雜的空間變化,並且具有晝夜、季節、年、太陽黑子周等變化。由於電離層各層的化學結構、熱結構不同,各層的形態變化也不盡相同。
模式
電離層模式是電離層諸參量隨高度變化的數學描述。這種變化與地理位置、季節、地方時,以及太陽和地磁活動性有關。複雜的電離層形態給實際套用帶來極大困難,因此,人們在大量實測數據的基礎上,用較簡單的數學模式描述電離層形態和結構,以便在無線電通信和宇宙航行等工程設計中套用。研究最多的是對無線電波傳播有直接影響的電子密度模式。
①查普曼模式

②線性模式





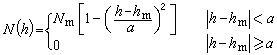
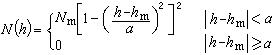
式中N(h)為離地面高度h處的電子密度;h0為起算高度;α為常數;ɑ為層的半厚度。這些模式只能描述電離層電子密度剖面的某一部分。為了完整地描述剖面,須在不同部分採用不同的數學表達式。
對F層峰值以下的電子密度剖面,可按照不同的實際套用,採用不同的組合模式。國際無線電諮詢委員會推薦用於短波場強計算的布雷德利-杜德奈模式,是拋物模式(F2層)-線性模式(F1層)-拋物模式(E層)的組合模式。模式參數可以從電離層觀測站所得到的特性參數推算出來。一般情況下,所得的電子密度分布與實際分布的高度差別小於20公里。其他的模式還有:餘弦模式(F2層)-正割模式(E-F層)-拋物模式(E層)的組合模式,可用於精度要求較高的射線追蹤計算;拋物模式(F2)層與多項式組合模式,便於從電離層垂測儀的頻率-高度圖計算F2層的峰值高度、峰處標高和等效峰下平板厚度。

包括F層峰值區域在內的電子密度剖面中,較典型的有本特模式和賓夕法尼亞州1號電離層模式。本特模式的高度範圍約從150公里到2000公里。峰值高度以下為拋物平方模式,峰值高度以上為拋物模式;更高的高度上為三個相接的指數模式。本特模式忽略剖面(特別是F部區域)的細節,著眼於精確地表達電離層電子含量。它適用於計算無線電波由於折射所造成的時延和方向的變化。賓夕法尼亞州1號電離層模式(120~1250公里)是在一個經驗所得的高度範圍內,模擬電離層的物理化學過程,通過調節電離反應速度和垂直電子流計算電子密度。這一模式主要用於研究輸運過程和風的衰減等理論問題。
國際無線電科學聯盟和美國空間研究委員會根據電離層的實測資料編製成《國際參考電離層》,它是一套專門的電腦程式,輸入數據為地理經度和緯度、月份、本地時間、太陽黑子數。輸出數據為電離層諸參量的垂直分布。圖3為輸出剖面示例。
由於來自外空,太陽和地球大氣本身的各種擾動源的激發,電離層還會產生相應的擾動變化和不規則結構,表現各種不同的形態(見電離層擾動、電離層不均勻體、電離層調變) 。
擾動
電離層擾動(ionospheric disturbance)電離層結構偏離其常規形態的急劇變化,又稱電離層騷擾。像太陽耀斑、地磁暴等電離源的突變、非平衡態動力學過程、不穩定的磁流動力過程和某些人為因素包括颱風、地震和核爆炸等等,都可引起電離層擾動。它常嚴重影響電離層中無線電波傳播。
電離層電子濃度總含量(TEC)又稱電離層電子濃度柱含量、積分含量等,是單位面積內電離層電子濃度沿垂直高度的積分總含量,代表著在垂直方向上電離層電子的總數目。1個TEC單位的變化,對應的單頻GPS定位誤差為16cm。TEC隨時間和空間的變化非常明顯。在電離層暴期間,TEC會急劇變化,可對導航、定位、通訊等系統造成嚴重影響。
電離層突然騷擾
一種來勢很猛但持續時間不長(一般為幾分鐘至幾小時)的擾動,它僅發生在日照面電離層的D層。這種擾動由太陽耀斑引起,耀斑區發出的強烈遠紫外輻射和X射線,大約8分鐘後到達地球,使地球向陽面電離層特別是D層中的電子密度突然增大。這種現象稱為電離層突然騷擾。當發生這種騷擾時,從甚低頻到甚高頻的電波傳播狀態均有急劇變化。例如,由於D層電子密度增大,經過D層傳播的高頻無線電波突然受到強烈吸收,常出現短波通信中斷,稱為短波消失現象。來自天外的宇宙噪聲,由於D層吸收突然增加而強度突然減弱,稱為宇宙噪聲突然吸收。但從D層反射的長波和超長波信號突然變強,相位也發生突變,稱為突然相位異常現象;而接收遠處雷電產生的“天電干擾”的強度也明顯增強,稱為天電突增。甚高頻低電離層散射傳播信號也將增強。此外,耀斑期間,E層和F層底部的電子密度也突然增加,可引起短波頻率突然偏離現象。
電離層暴
持續時間為幾小時至近10天的常與磁暴相伴的強烈電離層擾動。太陽局部擾動除爆發出大量電磁輻射外,有時還輻射出大量帶電粒子流。粒子流到達地球一般要1~2天左右,它們與磁層和高層大氣相互作用,可使正常電離層(特別是F層)狀態遭到破壞,稱為F層騷擾。這種騷擾有負相(臨界頻率下降)、正相(臨界頻率上升)和雙相(臨界頻率有升有降)騷擾之分。騷擾時臨界頻率變化一般大於30%。太陽質子事件或磁層亞暴期間,極區電離層電離激增,會引起急始吸收、極光帶吸收、極蓋吸收和長波相位異常等現象。極光帶吸收是來自太陽擾動區的低能粒子流進入極區上空,使極光帶或者比它略寬的環帶(寬約6°~15°)內低電離層電離增加而引起碰撞增加,高頻電波被強烈吸收。這時常伴隨出現地磁場擾動和極光現象,在太陽活動峰年過後的兩三年內它的出現最為頻繁。極蓋吸收是太陽擾動或磁層亞暴時所產生的高能粒子沿地球磁力線沉降在極區高層大氣中,使磁緯64°以上的極蓋地區上空電離層D層的電離強烈增大,致使高頻電波被強烈吸收而中斷。它通常在形成太陽質子耀斑後幾十分鐘到幾十小時以後才發生,這時不一定出現地磁場擾動和極光現象。持續時間通常為1~3天,最長可達10天之久,在太陽活動峰年頻繁發生。在磁層亞暴主相期間,與粒子沉降相伴的強電場和電急流,使極區電離層發生極複雜的熱力學擾動、電磁場擾動和磁流動力擾動,並能波及到全球電離層。這種電離層暴的全球形態尚不十分清楚。由於電離層暴對電波傳播有嚴重的影響,不少國家都建立有電離層騷擾預報業務。
電離層行擾
暴時極區激發的、向赤道方向以600~700米/秒的速度水平傳播的大氣重力波擾動。周期為半小時至幾小時,東西向水平尺度可達幾千公里,傳播上千公里後波形變化不大。它可發生使F2層偏離正常值20%~30%的擾動,嚴重改變無線電波的傳播環境。此外,火山噴發、地震、颱風和雷暴可激發中尺度大氣重力波擾動;地面核試驗激發的重力波可影響幾千公里外的電離層;高空核實驗的各種電離輻射,更能顯著地破壞電離層;大功率短波雷達加熱等人工手段和空間飛行的釋放物,也能引起電離層擾動。這些自然因素和人為因素激發的電離層擾動,都是外空環境監測的主要對象。
和電波傳播
電離層對電波傳播的影響與人類活動密切相關,如無線電通訊、廣播、無線電導航、雷達定位等。受電離層影響的波段從極低頻(ELF)直至甚高頻(VHF),但影響最大的是中波和短波段。電離層作為一種傳播介質使電波受折射、反射、散射並被吸收而損失部分能量於傳播介質中。3~30兆赫為短波段,它是實現電離層遠距離通訊和廣播的最適當波段,在正常的電離層狀態下,它正好對應於最低可用頻率和最高可用頻率之間。但由於多徑效應,信號衰落較大;電離層暴和電離層突然騷擾,對電離層通訊和廣播可能造成嚴重影響,甚至訊號中斷。300千赫至3兆赫為中波段,廣泛用於近距離通訊和廣播。
無線電的誕生
百年前,三聲短促而且微弱的訊號,向世界宣布了無線電的誕生。一九〇一年,紮營守候在訊號山(Signal Hill 位於加拿大東南角)的義大利科學家馬可尼,終於接收到了從英格蘭發出的跨過大西洋的無線電訊號,這個實驗向世人證明了無線電再也不是僅限於實驗室的新奇東西,而是一種實用的通訊媒介。此後短波用作全球性的國際通訊媒介便開始發達起來了。
和地震預測
在地震多發區,其上空的電離層常常異常,這是由俄羅斯及日本的學者組成的研究小組通過多年對電離層電子濃度的觀測發現,最近得出的結論,它將對人類研究地震形成及地震前期預報提供幫助。他們分析了由原蘇聯發射的一顆衛星在五年半時間內對電離層觀測得到的相關數據和全球各地的地震發生記錄,並進行了比較 。電離層擾動,就像一盆水放在地面上,即使沒有風吹,自己內部有泡泡也會導致水面不平靜,因此,跟蹤大氣電離層電子濃度的變化可預測地震的發生,能夠最大限度地減少地震帶來的人員傷亡和財產損失。比較公認的地震影響電離層的理論有兩種:一是地震區產生的內重力波對電離層的影響,二是地震區的異常垂直電場進入電離層從而引起電離層擾動。
研究發現
參與共同研究工作的是日本宇宙開發事業團及俄羅斯科學院航空宇宙監測科學中心通過多年研究發現,地震前震中上空大氣電離層電子濃度發生著急劇改變。過去曾有科學家指出地震與電離層變化之間有聯繫,也有在地震發生的前後觀測到地磁波的存在和電離層的變化等相關記錄,但在關於“地面上的電磁波是不是會對電離層產生影響”這一問題,人們普遍存在懷疑。此次,科學家們將一九七七至一九七九年的記錄數據進行分析,發現包括日本在內的太平洋西部地震多發區,在這段時間內共發生了一百五十次以上的里氏五級以上大地震,而這些地區的上空電離層的電子密度也遠遠高於平常密度。而那些很少發生地震的地區,電離層的電子相對較低。
監測方法
電離層中電子濃度的變化比較複雜,參與研究工作的日本專家兒玉哲哉指出,假如增加觀測電離層的衛星數量,那么準確預報地震將不會再是一句空話。但藉助於美國的GPS和俄羅斯的“格洛納斯”全球衛星系統就可以監測電離層狀態的變化 。該方法對預測短期地震很有價值,條件是大氣電離層電子濃度的變化應該是周期性測量得到的。為了周期性的觀測大氣電離層的狀態,俄研究人員使用了無線電信號,衛星釋放出的雙頻無線電信號可以被地面站接收到。在衛星定位系統雙頻信號的基礎上,科研人員研製出了計算信號參數變化的算法,並編制了電腦程式。
2009年3月,國內首個根據大氣電離層變化來監測地震的探測試驗站在聊城地震水化試驗站建成 。
得到驗證
研究人員指出,跟蹤大氣電離層電子濃度變化預測地震的這種方法在2004年9月16日至22日發生在俄羅斯加里寧格勒的地震事件中得到了驗證。這次地震是在同一地方以2.5小時為間隔發生的,地面衛星信號接收站距離震中在260千米到320千米之間。觀測數據表明,震前的3至5個晝夜的時間內電離層電子濃度在增長,而在震前2個晝夜的時間內電子濃度的最大值大大下降了,電離層電子濃度急劇下降只發生在震中附近,位於震中1100千米的地面設備記錄的信號沒有任何改變。因此,可以認為,電離層電子濃度的急劇下降是由於地震效應引起的,電離層的這種狀態就是要發生地震的徵兆 。以往的研究結果顯示,對於5級以上的地震,在地震附近地區一般會出現電離層擾動,機率約為74.1%。
汶川地震震前異常
從2008年5月5日到15日,汶川以東至日本沖繩、南至海南南部地區的電離層出現明顯擾動,電離層TEC出現了明顯增加,而平時,這樣的增加很少能看到。5月9日的擾動,則是“往水中扔了一塊石頭”,後來發生大地震的所在地附近出現了大範圍的電離層參數異常增加。

