方程的定義
在一個等式中,只含有一個未知數,且未知數的最高次數是5次的整式方程叫做一元五次方程。
方程標準型
一元五次方程形如 的方程是一元五次方程的標準型。
解法
天珩公式
一元五次方程
一元五次方程本公式判別法的缺點是僅可求解實係數的部分五次方程。重根判別式:
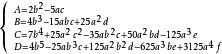
一元五次方程總判別式
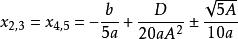
(1)若A=B=C=D=0,則方程有一個五重實根。
一元五次方程(2)若AD≠0,B=C=Δ=0,則方程有五個實根,其中有兩對二重根。
一元五次方程
一元五次方程,
(3)若B=C=0,Δ>0,則方程有一個實根和兩對不等共軛虛根。
一元五次方程
一元五次方程
一元五次方程
一元五次方程其中,
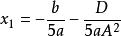
(4)若B=C=0,Δ<0,則方程有五個不等實根。
一元五次方程
一元五次方程
一元五次方程
一元五次方程其中,
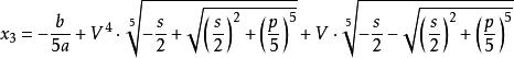
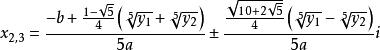
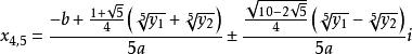
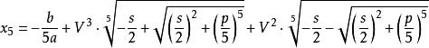
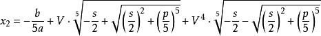
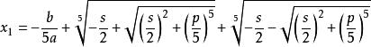
複數域內通用公式
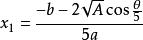
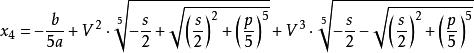
先將方程配方:方程兩邊同時除以a,後令y=x+b/5a,即x=y-b/5a,化為關於y的一元五次方程:
y +py +qy +ry+s=0
若滿足q=p -5r=0,則方程可用以下方法求解:
一元五次方程
一元五次方程
一元五次方程
一元五次方程
一元五次方程
一元五次方程
一元五次方程其中,V是1的一個五次方根且不為1。可取,
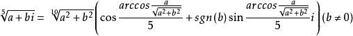
遇虛數開方時,可使用如下公式:
一元五次方程
一元五次方程
