簡介
黃原膠黃原膠通常是經由玉米澱粉所製造,由甘藍黑腐病野油菜黃單胞菌以碳水化合物為主要原料,經好氧發酵生物工程技術,切斷1,6-糖苷鍵,打開支鏈後,在按1,4-鍵合成直鏈組成的一種酸性胞外雜多糖。1952年由美國農業部伊利諾伊斯州皮奧里爾北部研究所分離得到的甘藍黑腐病黃單胞菌,並使甘藍提取物轉化為水溶性酸性胞外雜多糖而得到。
黃原膠是白色或淺黃色的粉末,具有優良的增稠性、懸浮性、乳化性和水溶性,並具有良好的熱、酸鹼穩定性,所以被廣泛套用於各種食品中。
物理化學性質
黃原膠結構式CASNO.:11138-66-2
中文別名:漢生膠;黃單胞菌多糖;昔嘌呤樹膠;黃膠、漢生膠;黃原膠來源甘藍黑腐病黃單胞菌;甘藍黑腐病黃單胞菌膠;黃單胞多糖;黃單胞桿菌胞多糖;黃桿菌膠;苫膠
英文名稱:Xanthangum
英文別名:GALACTOMANNANE;GLUCOMANNAN;GLUCOMANNANMAYO;GUMXANTHAN;KONJACGLUCOMANNAN;RHODOPOL23;XANTEMPO(TM);XANTHAN;xanthangumfromxanthomonascampestris;XANTHAM;XanthanGumXanthomonascampestris;xanthangumXc;Xanthangumpharma;XANTHANGUMFORFOOD&PHARMACEUTICALAPPLICATION;XanthanGumPure;XANTHANGUM,FCC;XANTHANGUM,NF;XANTHATEGUM;XanthanGummi
分子式:C35H49O29
結構
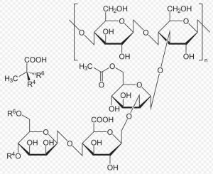
黃原膠分子由D—葡萄糖、D—甘露糖、D—葡萄糖醛酸、乙醯基和丙酮酸構成,相對分子質量在2×106~5×107之間,它的一級結構是由β—(1→4)鍵連線的葡糖基主鏈與三糖單位的側鏈組成;其側鍵由D—甘露糖和D—葡萄糖醛酸交替連線而成,分子比例為2:1;三糖側鏈由在C6位置帶有乙醯基的D—甘露糖以α—(1→3)鏈與主鏈連線,在側鏈末端的D—甘露糖殘基上以縮醛的形式帶有丙酮酸,其高級結構是側鏈和主鏈間通過氫鍵維繫形成螺鏇和多重螺鏇。
黃原膠的二級結構是側鏈繞主鏈骨架反向纏繞,通過氫鍵維繫形成棒狀雙螺鏇結構。黃原膠的三級結構是棒狀雙螺鏇結構問靠微弱的非共價鍵結合形成的螺鏇複合體。
性能
黃原膠原料黃原膠是國際上集增稠、懸浮、乳化、穩定於一體.性能最優越的生物膠。黃原膠的分子側鏈末端含有丙酮酸基團的多少,對其性能有很大影響。黃原膠具有長鏈高分子的一般性能,但它比一般高分子含有較多的官能團,在特定條件下會顯示獨特性能。它在水溶液中的構象是多樣的,不向條件下表現不同的特性。
懸浮性和乳化性
黃原膠對不溶性固體和油滴具有良好的懸浮作用。黃原膠溶膠分子能形成超結合帶狀的螺鏇共聚體,構成脆弱的類似膠的網狀結構,所以能夠支持固體顆粒、液滴和氣泡的形態,顯示出很強的乳化穩定作用和高懸浮能力。
水溶性
黃原膠在水中能快速溶解,有很好的水溶性。特別在冷水中也能溶解,可省去繁雜的加工過程,使用方便。但由於它有極強的親水性,如果直接加入水小而攪拌不充分,外層吸水膨脹成膠團,會阻止水分進入裡層,從而影響作用的發揮,因此必須注意正確使用。黃原膠乾粉或與鹽、糖等乾粉輔料拌勻後緩促加入正在攪拌的水喂,製成溶液使用。
增稠性
黃原膠溶液具有低濃度高粘度的特性(1%水溶液的粘度相當於明膠的100倍),是一種高效的增稠劑。
假塑性
黃原膠水溶液在靜態或低的剪下作用下具有高粘度,在高剪下作用下表現為粘度急劇下降,但分子結構不變。而當剪下力消除時,則立即恢復原有的粘度。剪下力和粘度的關係是完全可塑的。黃原膠假塑性非常突出,這種假塑性對穩定懸浮液、乳濁液極為有效。
對熱的穩定性
黃原膠原料黃原膠溶液的粘度不會隨溫度的變化而發生很大的變化,一般的多糖因加熱會發生粘度變化,但黃原膠的水溶液在10—80℃之間粘度幾乎沒有變化,即使低濃度的水溶液在廣闊的溫度範圍內仍然顯示出穩定的高粘度。1%黃原膠溶液(含1%氯化鉀)出25℃加熱到120℃.其粘度僅降低3%。
對酸鹼的穩定性
黃原膠溶液對酸鹼十分穩定,在PH為5—10之間叫其粘度不受影響,在PH小於4和大於11時粘度有輕微的變化。在PH3—11範圍內,粘度最大使和最小值相差不到10%。黃原膠能溶於多種酸溶液,如5%的硫酸、5%的硝酸、5%的乙酸、10%的鹽酸和25%的磷酸,且這些黃原膠酸溶液在常溫下相當穩定,數月之久件質仍不會發生改變。黃原膠也能溶於氫氧化鈉溶液,並具有增稠特性.所形成的溶液在室溫下十分穩定。黃原膠可被強氧化劑,如過氯酸、過硫酸降解,隨溫度升高,降解加速。
對鹽的穩定性
黃原膠溶液能和許多鹽溶液(鉀鹽、鈉鹽、鈣鹽、鎂鹽等)混溶,粘度不受影響。在較高鹽濃度條件下,甚至在飽和鹽溶液中仍保持其溶解性而不發生沉澱和絮凝,其粘度幾乎不受影響。
對酶解反應的穩定性
黃原膠穩定的雙螺鏇結構使其具有極強的抗氧化和抗酶解能力,許多的酶類如蛋白酶、澱粉酶、纖維素酶和半纖維素酶等酶都不能使黃原膠降解。
套用
黃原膠原料(1)黃原膠用於焙烤食品(麵包、蛋糕等)可提高焙烤食品在焙烤和貯存時期的保水性和鬆軟性以改善焙烤食品的口感和延長貨架期;
(2)在肉製品中黃原膠起到嫩化和提高持水性的作用;
(3)在冷凍食品中有增稠、穩定食品結構的作用;
(4)在果醬中加入黃原膠,可以改善口感和持水性,提高產品的質量;
(5)用於飲料可以起到增稠、懸浮作用,使口感滑爽、風味自然;
(6)在冰激凌和乳製品中使用黃原膠(與瓜爾膠、槐豆膠復配使用),可使製品穩定;
(7)黃原膠與卡拉膠、槐豆膠等復配也常用於果凍和糖果加工中。
具體用量
自1996年允許作為食品添加劑使用以來,黃原膠已被食品工業廣泛接受,因為在低濃度下就能提供優良的加工和儲藏穩定性。按照中國食品添加劑使用衛生標準,黃原膠可以用於麵包、冰激凌、乳製品、肉製品、果醬、果凍、飲料中,具體用量見下表。
| 用途 | 用量(%) | 作用 |
| 液體飲料 | 0.1~0.3 | 增稠、混懸、提高感官質量 |
| 固體飲料 | 0.1~0.3 | 更易成型、增強口感 |
| 肉製品 | 0.1~0.2 | 嫩化、持水、增強穩定性 |
| 冷凍食品 | 0.1~0.2 | 增稠、增加細膩度、穩定食品結構 |
| 調味品 | 0.1~0.3 | 乳化、增稠、穩定 |
| 餡類食品 | 0.5~1.5 | 便於成型、增強口感 |
| 麵製品 | 0.03~0.08 | 增強韌性、持水、延長保質期 |
使用方法
黃原膠在大多數以水為基相體系內完全溶解,但由於它有極強的親水性,如果直接加入水中而攪拌不充分,外層吸水膨脹成膠團,從而阻止水份進入裡層,進而影響作用的發揮,因此必須注意正確使用:
取一份黃原膠用十份或以上其它乾燥的原料,如食品製作中的糖、味素、鹽等物調勻,然後慢慢傾倒在攪拌中的水裡,浸泡約兩小時,繼續攪拌至完全溶解。
毒理學試驗
美國
化學結構式美國對黃原膠首先進行了毒理學及安全性試驗。1969年黃原膠被美國食品與藥物管理局(FDA)批准為食品添加劑。FDA(1994)將黃原膠列為GRAS物質,GRAS是“一般認為安全”的意思,也就是在通常的使用量下,沒有安全性的擔心。其後,丹麥、英國、愛爾蘭、荷蘭、西班牙和加拿大等國對黃原膠用於食品予以法律認可。聯合國糧食與農業組織和世界衛生組織(FAO/WHO)(1994)規定,黃原膠的每日允許攝入量(ADI)不作特殊規定。
中國
中國對黃原膠的研究起步較晚,1985年南開大學率先研究食品級黃原膠,對黃原膠產品進行了毒理學試驗,對生產黃原膠的菌株進行毒性試驗,結果表明黃原膠和菌株均沒有毒性 。1988年國家衛生部批准食品級黃原膠的衛生標準,並被列入食品添加劑名單。2007年頒布實施的國家標準(食品添加劑-黃原膠)GB13886-2007採用了FCC和聯合國糧農組織和世界衛生組織(FAO/WHO)聯合食品添加劑專家委員會(JECFA,1999)的技術規格,與1992年的標準相比,修訂了一些技術標準,規定了更加嚴格的檢測指標。
鑑別試驗
溶解性:溶於水,不溶於乙醇(OT-42)。
凝膠形成試驗取水300ml,置於400ml燒杯內,預熱至80℃,在劇烈的機械攪拌下,加入試樣1.5g和粉狀角豆菜膠1.5g。攪拌至形成溶液後,再繼續攪拌30min。在攪拌過程中,水溫不得低於60℃停止攪拌,在室溫下冷卻2h以上。當溫度低於40℃時,應形成堅硬的橡膠狀凝膠,但若僅用試樣而不加角豆菜膠以相同方法配製成的1%對照液,則不會形成這樣的凝膠。
含量分析
準確稱取試樣1.2g,按GT-7方法測定。每mL0.25mol/L氫氧化鈉相當於5.5mg二氧化碳(CO2)。
毒性
小鼠經口LD50>10 g/kg。ADI不需要規定。
可安全用於食品(FDA,§172.695,2000)。
生產方法
(1)由含有糖類(如葡萄糖、蔗糖、澱粉、水解澱粉等)的發酵培養基,在適宜的氮源、磷酸氫二鉀和適量的微量元素存在下,由野油菜黃單胞菌菌株作用,進行發酵,再經後提取、乾燥、粉碎等工序製得。
(2)將含有1%~5%的葡萄糖和無機鹽的培養基調整至pH值為6.0~7.0,加入野油菜黃單胞菌(Xanthomonascampestris)接種體,培養50~100h,得到4~12Pa?s的高粘度液體。殺菌後,加入異丙醇或乙醇使其沉澱,再用異丙醇或乙醇精製後乾燥、粉碎而得。
(3)以葡萄糖或澱粉為碳源,蛋白水解物或無機銨為氮源,用黃桿菌屬的甘藍黑腐病黃單胞菌培養發酵,用有機溶劑提取或高價金屬鹽沉澱的方法從培養液中分離出黃原膠。
提取
中國提取黃原膠的方法有全溶劑法和鈣鹽法,產品往往含有大量菌體。為此可用酶解法除去菌體,即先向發酵液中加入0.01%~0.05%的溶菌酶,在53℃、Ph值5.5的條件下分解2h。再在40℃、Ph值7.2的條件下加入0.1%~0.5%的中性蛋白酶酶解4h。最後加熱滅酶、冷卻後進入下一工序。
鈣鹽法:將發酵清液調Ph值至11.5,加入氯化鈣使黃原膠鈣沉澱出來;離心分離後分散於乙醇中解聚,再經過濾、乙醇洗滌、乾燥得成品。
全溶劑法:向上述處理過的發酵清液中加入大量的乙醇或異丙醇,使黃原膠沉析出來;經離心分離、乾燥後即得成品。
發酵培養
發酵培養 為有利於產品提取分離,通常採用清液發酵。培養基組成為:葡萄糖2.5%,(NH4)3PO40.15%,MgSO40.01%,KH2PO40.25%,Ph=7土0.1。在28~30℃下黃單胞菌(魯輕P26-9)斜面培養3d,搖瓶培養後再在28℃下種子罐培養16~18h,接入發酵罐後在28~30℃培養3d。
工業套用
自1996年允許作為食品添加劑使用以來,黃原膠已被食品工業廣泛接受,因為在低濃度下就能提供優良的加工和儲藏穩定性。按照我國食品添加劑使用衛生標準,黃原膠可以用於麵包、冰激凌、乳製品、肉製品、果醬、果凍、飲料中。
根據我國《食品添加劑使用衛生標準》(GB2760-1996)中規定:黃原膠可用於飲料,最大食用量1.0g/kg;麵包、乳製品、肉製品、果醬、果凍、花色醬汁,2.0g/kg;麵條、糕點、餅乾、起酥油、速溶咖啡、魚製品、雪糕、冰棍、冰淇淋,10.0g/kg。黃原膠在食品工業中是理想的增稠劑、乳化劑和成型劑,用途極為廣泛。
黃原膠作為蛋糕的品質改良劑,可以增大蛋糕的體積,改善蛋糕的結構,使蛋糕的空隙大小均勻,富有彈性,並延遲衰老,延長蛋糕的貨架壽命。奶油製品、乳製品中添加少量黃原膠,可使產品結構堅實、益切片,更易於香味釋放,口感細膩清爽。用於飲料,可使飲料具有優良的口感,賦予飲料爽口的特性,使果汁型飲料中的不溶性成分形成良好的懸浮液,保持液體均勻不分層。加入啤酒中可使其產泡效果極佳。黃原膠還廣泛用於罐頭、火腿腸、餅乾、點心、速食麵、果凍和肉製品等食品中。
食品添加劑
藥用輔料
| 藥用輔料是指在製劑處方設計時,為解決製劑的成型性、有效性、穩定性、安全性加入處方中除主藥以外的一切藥用物料的統稱。藥用輔料是藥物製劑的基礎材料和重要組成部分,是保證藥物製劑生產和發展的物質基礎,在製劑劑型和生產中起著關鍵的作用。 |
盤點食品包裝袋背後的秘密
| 走進商店隨便拿起一件食品背後總是林林總總地羅列了很多化學成分,這些化學成分都是做什麼的呢? |

