簡介
瘦肉精瘦肉精是一類藥物,而不是某一種特定的藥物,任何能夠促進瘦肉生長、抑制肥肉生長的物質都可以叫做“瘦肉精”。在中國,通常所說的瘦肉精是指克倫特羅(Clenbuterol),而普通消費者則把此類藥物統稱為瘦肉精。當它們以超過治療劑量5-10倍的用量用於家畜飼養時,即有顯著的營養“再分配效應”——促進動物體蛋白質沉積、促進脂肪分解抑制脂肪沉積,能顯著提高胴體的瘦肉率、增重和提高飼料轉化率,因此曾被用作牛、羊、禽、豬等畜禽的促生長劑、飼料添加劑。
此類藥物主要是腎上腺類,β激動劑,因為能夠促進瘦肉生長、抑制動物脂肪生長,所以統稱“瘦肉精”。瘦肉精讓豬的瘦肉率提高,帶來更多經濟價值,但它有很危險的副作用。中國最早報導的瘦肉精中毒事件是1998年供港活豬引起的,此後這類事件經常發生,如:2001年廣東曾經出現過批量中毒事件。
目前,能夠實現這種功能的物質是一類叫做β-興奮劑(β-agonist)的藥物,約16種,比如在中國造成中毒的克倫特羅(clenbuterol)和美國允許使用的萊克多巴胺/又譯雷托巴胺(Ractopamine)。2001年12月27日、2002年2月9日、4月9日,農業部分別下發檔案禁止食品動物禁止使用β激動劑類藥物作為飼料添加劑(農業部176號、193號公告、1519號條例)。
瘦肉精在上海曾經引發了幾百人的中毒事件。而在台灣,由於從美國進口的豬肉里含有健康的肉瘦肉精,幾乎挑起一場政治爭端。由於西方國家一般不消費動物內臟(內臟特別是肝臟則會殘留瘦肉精),因而,在美國、加拿大、紐西蘭等國,瘦肉精這類物質的使用是合法的。
在中國,通常所說的“瘦肉精”則是指克倫特羅。它曾經作為藥物用於治療支氣管哮喘,後由於其副作用太大而遭禁用。
其它這樣類似藥物還有沙丁胺醇(Salbutamol)和特布他林(Terbutaline)等,同樣能起到“瘦肉”作用、卻對人體健康危害過大,因而造成安全隱患。它們也因而在全球遭到禁用。
國務院食品安全委員會辦公室《“瘦肉精”專項整治方案》(食安辦〔2011〕14號)規定的“瘦肉精”品種目錄:
鹽酸克倫特羅(Clenbuterol Hydrochloride)
萊克多巴胺(Ractopamine)
沙丁胺醇(Salbutamol)
硫酸沙丁胺醇(Salbutamol Sulfate)
鹽酸多巴胺(Dopamine Hydrochloride)
西馬特羅(Cimaterol)
硫酸特布他林(Terbutaline Sulfate)
苯乙醇胺A(Phenylethanolamine A)
班布特羅(Bambuterol)
鹽酸齊帕特羅(Zilpaterol Hydrochloride)
鹽酸氯丙那林(Clorprenaline Hydrochloride)
馬布特羅(Mabuterol)
西布特羅(Cimbuterol)
溴布特羅(Brombuterol)
酒石酸阿福特羅(Arformoterol Tartrate)
富馬酸福莫特羅(Formoterol Fumatrate)
理化性質
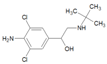
鹽酸克倫特羅結構簡式中文名:瘦肉精克倫特羅;學名鹽酸克倫特羅;是一種平喘藥。該藥物既不是獸藥,也不是飼料添加劑,而是腎上腺類神經興奮劑。鹽酸雙氯醇胺;克喘素;氨哮素;氨必妥;氨雙氯喘通;氨雙氯醇胺;7-[2-甲基丙烷2-亞氨基甲基]4-氨基3,5-二氯苯甲醇鹽酸鹽
英文名:
Clenbuterol; Spiropent; Planipart; NAB365;4-Amino-3,5-dichloro-alpha-(((1,1-dimethylethyl)amino)methyl)benzenemethanol
CAS號:37148-27-9
分子式:C12-H18-Cl2-N2-O
理化特性
白色或類白色的結晶粉末,無臭、味苦,熔點161℃,溶於水、乙醇,微溶於丙酮,不溶於乙醚。
研究歷史
瘦肉精1.瘦肉精克倫特羅可提高
瘦肉率,在家畜和人體內吸收好,而且與其它β-興奮劑相比,它的生物利用度高,以至食用了含有克倫特羅的豬肉出現中毒。Zimmer(1976)證實人內服20 μg的14C-鹽酸克倫特羅,峰濃度時,血漿中克倫特羅原形藥占總的14C-鹽酸克倫特羅的75%。克倫特羅內服生物利用度高的事實對估計消費者食用了含有克倫特羅的組織,從中獲得的克倫特羅的量很重要。引起人中毒的動物組織含有克倫特羅原形藥的量差異很大。Martinez-Navarro(1990)報導犢牛肝中克倫特羅原形藥的殘留量為161~291 ppb,Pulce等(1991)報導犢牛肝中克倫特羅的殘留量為375~500 ppb,Salleras等(1995)報導犢牛肝中克倫特羅的殘留量為19~5395 ppb。此外,Maistro等(1995)報導犢牛肌肉中克倫特羅的殘留量為500 ppb。
1ppm的克倫特羅添加於豬飼料中用於促生長,人食用豬肝或豬肺足夠引起中毒。世界沒有任何正規機構批准克倫特羅作為飼料添加劑用於動物促生長。
2.瘦肉精萊克多巴胺(Ractopamine)雷托巴胺即萊克多巴胺是比較特殊的“瘦肉精”。
它的效率非常高,一噸飼料中加入不到二十克,就可以讓最後長肉階段的豬增加24%的瘦肉,減少34%的脂肪。這種物質在體內幾乎不積累,動物實驗和小規模的人體試驗發現每公斤體重的攝入量在67微克之下時對於人體沒有明顯損害。FDA制定的雷托巴胺殘留允許值是豬肉中50ppb(十億分之一,50ppb相當於每公斤中含50微克),牛肉中的安全標準則為30ppb。
在這個殘留量的標準下,一個50公斤的人每天吃上兩斤半豬肉或者四斤牛肉都是相當安全的。
其它的國家或機構標準比美國的要嚴格一些。比如,加拿大和WHO的豬肉標準都是40ppb,而聯合國糧農組織則是10ppb。日本和紐西蘭規定該國生產不許使用這東西,但進口豬肉中則允許有小於10ppb的殘留。
3.鹽酸萊克多巴胺/又譯雷托巴胺(Ractopamine)鹽酸萊克多巴胺也是一種常見的瘦肉精,在年人均消費豬肉30千克的美國,餐桌上的豬肉里多多少少都含有一些這種物質。
1999年底,美國食藥局(FDA)批准將鹽酸萊克多巴胺添加於豬飼料中。它毒性低、代謝快、較少蓄積,更安全高效。如今,在美洲和亞洲的24個國家,比如美國、泰國等等,均允許使用培林(萊克多巴胺的商品名)提高豬的瘦肉率。不過,這有一個硬性前提:豬肉上市前,培林殘餘量須低於50ppb,以免造成人體中毒。這個標準相當於允許每千克豬肉中含有50微克培林。還有國家或者機構都允許使用培林,其殘餘量允許範圍在10ppb到40ppb之間。
具體用途
瘦肉精鹽酸克倫特羅是一種β-興奮劑,20世紀80年代初,
美國一家公司開始將其添加到飼料中,增加瘦肉率,但如果作為飼料添加劑,使用劑量是人用藥劑量的10倍以上,才能達到提高瘦肉率的效果。它用量大、使用的時間長、代謝慢,所以在屠宰前到上市,在豬體內的殘留量都很大。這個殘留量通過食物進入人體,就使人體漸漸地中毒,積蓄中毒。如果一次攝入量過大,就會產生異常生理反應的中毒現象,因此而被禁用。國內養豬戶不顧農業部的規定,為了使豬肉不長肥膘,在飼料中摻入瘦肉精。豬食用後在代謝過程中促進蛋白質合成,加速脂肪的轉化和分解,提高了豬肉的瘦肉率,因此稱為瘦肉精。
“瘦肉精”能使豬提高生長速度,增加瘦肉率,豬毛色紅潤光亮,收腹,賣相好;屠宰後,肉色鮮紅,脂肪層極薄,往往是皮貼著瘦肉,瘦肉豐滿。肥豬飼餵瘦肉精後,逐漸發生四肢震顫無力,心肌肥大心力衰竭等毒副作用。
毒性研究
危害
鹽酸克倫特羅屬於非蛋白質激素,耐熱,使用後會在豬體組織中形成殘留,尤其是在豬的肝臟等內臟器官殘留較高
,食用後直接危害人體健康。其主要危害是:出現肌肉振顫、心慌、戰慄、頭疼、噁心、嘔吐等症狀,特別是對高血壓、心臟病、甲亢和前列腺肥大等疾病患者危害更大,嚴重的可導致死亡。
人類食用含“瘦肉精”的豬肝0.25kg以上者,常見有噁心、頭暈、四肢無力、手顫等中毒症狀。含“瘦肉精”的食品對心臟病、高血壓患者、老年人的危害更大。
運動員受牽連
瘦肉精有時,運動員會莫名其妙地被瘦肉精陷害。北京奧運會前,歐陽鯤鵬和美國泳將哈迪均因瘦肉精尿檢陽性,而被禁止參賽。瘦肉精屬蛋白同化製劑,能減少胴體脂肪合成,促進蛋白質合成,被世界反興奮劑機構禁止。運動員很少服用這種“低端產品”,尿檢陽性者多數是因為在不知情的情況下攝入了含有瘦肉精的肉製品,十分無辜。
2010年5月,國際柔道聯合會在突尼西亞全體聯會上對中國運動員佟文作出了“兩年禁賽處罰”:由於奧運冠軍佟文在2009年荷蘭鹿特丹柔道世錦賽被查出賽後尿檢呈陽性,國際柔聯不僅剝奪了佟文本人在柔道運動員委員會的席位,還同時開出了全球禁賽兩年的處罰。佟文的恩師、教練吳衛鳳。“她(佟文)應該是無意中吃了含有大量瘦肉精的排骨才造成這樣的後果。”
毒理
口服克侖特羅較易經胃腸道吸收,能激動β2-受體,對心臟有興奮作用,對支氣管平滑肌有較強而持久的擴張作用,並使面頸部與四肢肌肉顫動
。作平喘藥口服成人20-40μg/次,3次/日;兒童5歲以上5-20μg/次,3次/日。人(女性)經口TDLo: 4600 ng/kg。小鼠靜脈LD50: 27600 ug/kg。
臨床表現
1.急性中毒有心悸,面頸、四肢肌肉顫動,有手抖甚至不能站立,頭暈,乏力,,口乾,嘔吐、腹痛,原有心律失常的患者更容易發生反應,心動過速,室性早搏,心電圖示S-T段壓低與T波倒置。
2.原有交感神經功能亢進的患者,如有高血壓、冠心病、甲狀腺功能亢進者上述症狀更易發生。
3.與糖皮質激素合用可引起低血鉀,從而導致心律失常。
4.反覆使用會產生耐受性,對支氣管擴張作用減弱及持續時間縮短。
雖然克倫特羅殘留的毒作用為輕度的,但美國FDA研究表明,套用擬交感神經藥者或對前藥過敏者,對克倫特羅的反應要比正常健康個體更為嚴重。
FDA擔心非法套用克倫特羅可導致此藥的生產工人患病或死亡。FDA指出,職業性吸入克倫 特羅對心血管的影響,可能要比經食品攝食的危害性更大,但有待於進一步的證實。
急救治療
1.口服後即洗胃、輸液,促使毒物排出。
2.在心電圖監測及電解質測定下,使用保護心臟藥物如6-二磷酸果糖(FDP)及β1-受體阻滯劑倍他樂克。
鑑別方法
一看
看豬肉脂肪(豬油)。一般含瘦肉精的豬肉肉色異常鮮艷;生豬吃“藥”生長後,其皮下脂肪層明顯較薄,通常不足1厘米,切成二三指寬的豬肉比較軟,不能立於案;瘦肉與脂肪間有黃色液體流出,脂肪特別薄;含有“瘦肉精”的豬肉後臀肌飽滿突出,脂肪層非常薄,兩側腹股溝的脂肪層內毛細血管分布較密,甚至充血。
二察
觀察瘦肉的色澤。含有“瘦肉精”的豬肉肉色較深,肉質鮮艷,顏色為鮮紅色,纖維比較疏鬆,時有少量“汗水”滲出肉麵。而一般健康的瘦豬肉是淡紅色,肉質彈性好,肉上沒有“出汗”現象。
三測
用PH值試紙檢測。正常新鮮肉多呈中性和弱鹼性,宰後1小時PH值為6.2-6.3;自然條件下冷卻6小時以上PH值為5.6-6.0,而含有“瘦肉精”的豬肉則偏酸性,pH值明顯小於正常範圍。
四購買
購買時一定看清該豬肉是否蓋有檢疫印章和檢疫合格證明。
而對於網上銷售的“瘦肉精檢測卡”,專家說各種食品安全檢測卡操作簡單,但檢測結果卻可能存在一定誤差,“檢測過程不嚴密,很有可能導致各種錯誤的檢測結果。”該工作人員表示,快速檢測卡檢測出來的數據只能作為一種初步判定,檢測樣品是否涉嫌不合格,目前,還是按國家檢測標準的法定程式進行檢測,瘦肉精的辨別還是以權威部門檢測為準。
檢測方法
GB/T 5009.192-2003動物性食品中克倫特羅殘留量的瘦肉精測定
氣相色譜-質譜法(GC-MS)
GC-MS法優點是把色譜高效快速的分離效果和質譜高靈敏度的定性分析有機合起來,能在多種殘留物同時存在的情況下對某種特定的殘留物進行定性、定量分析,而且具更高的檢測極限。Fente C. A等用GC-MS法檢測牛毛中CLB的殘留,最低檢測限為5ng/g;Pteer Batioens套用氣相色譜-串聯質譜法(GC-MS-MS)對牛、羊、豬組織中的CLB含量進行檢測,最低檢測限為2ng/g;劉琪等用GC-MS法(EI離子源)檢測豬尿中的CLB,檢測限為0.5ng/mL;VanRhijin等用三甲基矽基或2-二甲基矽基嗎啉衍生物檢測尿提取物中的CLB,衍生物用電脈衝方式或化學離子化方式掃描,會產生更高的靈敏度。另外,GC-MS法與HPLC法相比,檢測靈敏度更高,假陽性率更低。因此,中國將GC-MS法定為檢測CLB的確證性方法(NY/T468~2001)。
高效液相色譜法(HPLC)
HPLC適合測定熱不穩定和強極性的β-激動劑及其代謝產物,而且,HPLC可以與柱前提取、純化及柱後螢光衍生化反應和質譜(MS)等系統聯用,容易實現分析過程的自動化。黃士新等(1995)套用紫外檢測器,在λ=243nm,色譜柱:shimpackCLC-ODS150×6.0mn,流速:1mL/min,柱溫:室溫30℃的條件下檢測豬肝臟和豬肉中的CLB殘留,最低檢測限可達2ng/g。國外有人套用HPLC (二極體陣列檢測器)測定動物性食品中CLB殘留,測得最低檢測限為1.26ng/g,回收率達98.9%。目前,中國已將HPLC法作為檢測CLB殘留的半確證性方法,最低檢測限範圍為1~15ng/g,其優點是專屬性好、選擇性強、檢測精確度較高,而且假陽性率低;缺點是樣品處理時間長,檢測過程煩瑣、難於操作,需貴重儀器,在實際套用中受到一定的限制。
酶聯免疫吸附法(ELISA )
利用免疫學抗原抗體特異性結合和酶的高效催化作用,通過化學方法將植物辣根過氧化物酶(HRP)與克倫特羅(CL)結合,形成酶偶聯克倫特羅。將固相載體上已包被的抗體(羊抗兔IgG抗體)與特異性的抗克倫特羅抗體結合,然後加入待測克倫特羅和酶偶聯克倫特羅,它們競爭性與克倫特羅抗體結合,洗滌後加底物,根據有色物的變化計量待測克倫特羅量。若待測克倫特羅多,則被結合的酶偶聯克倫特羅少,有色物量就少。用目測法或比色法測定樣品中的克倫特羅含量,比色的最佳波長為450 nm,參比波長應大於600 nm。
液相色譜—質譜/質譜法(HPLC-MS/MS)
參見SN/T 1924—2007 進出口動物源食品中克倫特羅、萊克多巴胺、沙丁胺醇、特布他林殘留量的檢測方法。
本標準適用於動物源性食品肌肉和內臟中克倫特羅、萊克多巴胺、沙丁胺醇、特布他林殘留量的檢測。
試樣中的藥物殘留採用pH5.2的乙酸銨緩衝液提取,同時加入β-鹽酸葡萄糖醛甙酶-芳基硫酯酶進行酶解後,提取液經C18和SCX雙SPE柱淨化,液相色譜—質譜進行測定,內標法定量。
近年來,中央各有關部門及各級政府高度重視農產品質量安全檢測體系建設,投資建設了2000多個農業質檢機構,從事農產品質量安全檢測工作的人員達2萬多人,年檢測樣品近百萬個
辨別方法
1、看豬肉皮下脂肪層的厚度。在選購豬肉時皮下脂肪太薄、太鬆軟的豬肉不要買。一般情況下,瘦肉精豬因吃藥生長,其皮下脂肪層明顯較薄,通常不足1厘米;正常豬在皮層和瘦肉之間會有一層脂肪,肥膘約為1cm—2cm,太少就要小心了。
2、看豬肉的顏色。一般情況下,含有瘦肉精的豬肉特別鮮紅、光亮。因此,瘦肉部分太紅的,肉質可能不正常。
3、另外,還可以將豬肉切成二三指寬,如果豬肉比較軟,不能立於案上,可能含有瘦肉精。
4、如果肥肉與瘦肉有明顯分離,而且瘦肉與脂肪間有黃色液體流出則可能含有瘦肉精。
人食用含瘦肉精的豬肉後會出現頭暈、噁心、手腳顫抖、心跳加速甚至心臟驟停致昏迷死亡,特別對心律失常、高血壓、青光眼、糖尿病和甲狀腺機能亢進等患者有極大危害。
限量標準
許多化學物質被稱為瘦肉精,主要有萊克多巴胺、鹽酸克侖特羅、沙丁胺醇、硫酸沙丁胺醇、硫酸特布他林、西巴特羅、鹽酸多巴胺等7種。其中培林(雷托巴胺,萊克多巴胺,Ractopamine)毒性極低、代謝快速(無累積性),因此被美國等國家允許添加入豬飼料,日本也允許使用培林(Ractopamine)的豬肉進口。全世界有美國等24國開放使用培林,有160多國仍禁用。
各國及各地區的瘦肉精(培林)使用量規定如下:
| 國家組織 | 用量規定 |
| 中國大陸(台灣) | 禁用 |
| 歐盟 | 禁用 |
| 美國 | 國內:培林殘量50ppb |
| 日本 | 進口:培林殘量10ppb |
| 紐西蘭 | 進口:培林殘量10ppb |
| 加拿大 | 培林殘量40ppb |
| 聯合國糧食及農業組織 | 培林殘量10ppb |
| 世界衛生組織 | 培林殘量40ppb |
相關事件
雙匯瘦肉精事件
一、18道檢驗不檢瘦肉精
消費者熟悉的雙匯集團旗下公司被央視3·15特別節目曝光。央視報導,雙匯宣稱“十八道檢驗、十八個放心”,但豬肉不檢測“瘦肉精”。添加“瘦肉精”養殖的有毒生豬,順利賣到雙匯集團旗下公司。
據央視《每周質量報告》的3·15特別節目《“健美豬”真相》報導,養豬場採用違禁動物藥品“瘦肉精”飼養,有毒豬肉流向了雙匯。濟源雙匯食品有限公司是河南雙匯集團下屬的分公司,以生豬屠宰加工為主,有自己的連鎖店和加盟店,“十八道檢驗、十八個放心”的字樣隨處可見,但卻不包括“瘦肉精”檢測。濟源雙匯食品有限公司採購部業務主管承認,他們廠的確在收購添加“瘦肉精”養殖的所謂“加精”豬,而且收購價格比普通豬還要貴一些。這種豬停餵“瘦肉精”一周后,送到他們廠里賣的時候就不容易被查出來。
二、主犯湖北劉襄被判死緩
兩起“瘦肉精”案件開庭審理2011年7月25日16時30分,經過長達八小時的庭審,河南省焦作市中級人民法院對河南“瘦肉精”案中的劉襄、奚中傑、肖兵、陳玉偉、劉鴻林等5名犯罪嫌疑人一審宣判。
審判機關認為,依據《刑法》,5名罪犯在明知使用鹽酸克倫特羅飼餵的畜禽被人食用後,可能對人體生命安全和公私財產造成嚴重危害後果的情況下,私自秘密研製銷售鹽酸克倫特羅,構成共同犯罪,以危險方法危害公共安全罪的罪名成立,其中主犯劉襄制售“瘦肉精”被依法判處死刑,緩期2年執行,剝奪政治權利終身;主犯奚中傑制售“瘦肉精”被依法判處無期徒刑,剝奪政治權利終身;主犯肖兵銷售“瘦肉精”被依法判處15年,剝奪政治權利5年;主犯陳玉偉加工、銷售“瘦肉精”被依法判處14年,剝奪政治權利3年;從犯劉鴻林被依法判處9年。5名罪犯的非法所得予以收繳,犯罪使用財物予以沒收。
三、“瘦肉精”案終審維持原判
8月10日下午,河南省高級人民法院對“瘦肉精”案被告人劉襄等以危險方法危害公共安全一案公開開庭宣判,依法駁回各抗訴人的抗訴請求,維持原判。7月25日,焦作市中級人民法院一審以以危險方法危害公共安全罪,判處被告人劉襄死刑,緩期2年執行,剝奪政治權利終身;判處被告人奚中傑無期徒刑,剝奪政治權利終身;判處被告人肖兵有期徒刑15年,剝奪政治權利5年;判處被告人陳玉偉有期徒刑14年,剝奪政治權利3年;被告人劉鴻林因有重大立功表現,且系從犯,依法對其減輕處罰,判處有期徒刑9年。
宣判後,被告人劉襄、奚中傑、肖兵、陳玉偉、劉鴻林均不服,提出抗訴。
2011年8月10日,河南省高級人民法院二審認為,抗訴人劉襄、奚中傑、肖兵、陳玉偉、劉鴻林明知使用鹽酸克侖特羅餵養的生豬,人食用後會發生危害生命、健康的嚴重後果,為攫取暴利,置廣大人民民眾的生命、健康和公私財產安全於不顧,大量非法生產用於飼養生豬的鹽酸克侖特羅,並將鹽酸克侖特羅銷售給生豬養殖戶,致使使用鹽酸克侖特羅飼養的生豬大量流入市場,嚴重危害不特定多數人的生命、健康,嚴重損害了生豬養殖戶、肉製品企業及廣大消費者的利益,致使公私財產遭受特別重大損失,其行為均已構成以危險方法危害公共安全罪,均應依法懲處。抗訴人劉襄、奚中傑、肖兵、陳玉偉、劉鴻林的抗訴理由及其辯護人的辯護意見不能成立,不予採納。同日,焦作市中級人民法院對被告人王二團等玩忽職守案進行二審宣判,依法駁回抗訴人王二團、楊哲、王利明的抗訴請求,維持原判。
四、河南第二批“瘦肉精”案公審
河南省獲嘉縣8月9日公開審理第二批“瘦肉精”案,韓文斌等7名被告人以“非法經營罪”分別被一審判處有期徒刑1年至10年,並分別處以罰金。
2011年3月15日,媒體報導了河南省某家食品企業把含有“瘦肉精”的豬肉加工成肉製品流入消費市場。其中,含有“瘦肉精”的生豬部分來自獲嘉縣養殖場。隨後,獲嘉縣相關部門對轄區養殖場進行檢查,發現多個養殖場涉嫌使用“瘦肉精”,警方先後將韓文斌、張建國、馮滿成、張俊森、史國營、張玉軍、程保成7名“瘦肉精”經營人員控制。
經查,被告人韓文斌等人分別從2009年至2011年2月購買“瘦肉精”原粉,經過澱粉稀釋後,以每包110元至140元的價格賣給生豬養殖戶,導致含有“瘦肉精”的生豬流向市場。
8月9日,獲嘉縣法院對該案進行審理,法院當天依法作出如下判決,7名被告人均犯非法經營罪,其中韓文斌判處有期徒刑10年,並處罰金2.8萬元;張建國判處有期徒刑9年,並處罰金1.2萬元;馮滿成判處有期徒刑8年,並處罰金3000元;張俊森判處有期徒刑6年,並處罰金7000元;史國營判處有期徒刑6年,並處罰金1000元;張玉軍判處有期徒刑5年,並處罰金3000元;程保成判處有期徒刑1年,緩刑2年,並處罰金1000元
。
據河南省高級人民法院刑事審判庭有關人員介紹,“瘦肉精”事件發生後,河南省法院工作人員提前介入、了解案情,對涉及“瘦肉精”生產、銷售和生豬飼養、加工、銷售等各環節的59案114人的身份、涉嫌罪名、基本犯罪事實、量刑情節等進行分析、梳理,建立了全省“瘦肉精”系列案件審理台賬,及時更新進展情況。全省三級法院安排專人負責案件審理,形成協調聯動機制。
根據“瘦肉精”案件數量多、範圍廣,被告人數多、身份複雜,案件性質、主觀惡性、危害後果各不相同等特點,在案件審理中,河南省法院法官堅持寬嚴相濟、分期分批審理、依法快審快結的原則,重點打擊研製、生產、銷售“瘦肉精”犯罪和對食品安全負有監管職責的國家工作人員失職瀆職犯罪。據統計,在審結的58案113人中,判處“瘦肉精”制售者和玩忽職守、濫用職權的國家工作人員77人,其中判處死緩1人、無期徒刑1人、9年以上有期徒刑9人、5年至9年有期徒刑20人、3年至5年有期徒刑23人、3年以下有期徒刑23人;判處生豬養殖戶36人,其中判處有期徒刑1年以下至拘役的29人、緩刑7人。
河南省法院受理的“瘦肉精”案件全部審結,其中焦作市兩級法院審結42案80人、新鄉市6案17人、濟源市1案3人、鶴壁市4案5人、洛陽市2案4人、平頂山市1案1人、信陽市1案1人、周口市1案2人,其中以以危險方法危害公共安全罪判處1案5人,以非法經營罪判處18案39人,以生產、銷售有毒、有害食品罪判處33案52人,以玩忽職守罪判處4案13人,以濫用職權罪判處2案4人
。
雨潤事件
“雨潤”午餐肉:2009年安徽省質監局曾經通報,阜陽“雨潤”、合肥“腊味思”各有一批次午餐肉和臘肉檢出含有禁用物質“瘦肉精”。《每日經濟新聞》從安徽省質監局獲悉,雨潤集團已將問題午餐肉全部召回並銷毀,而合肥“腊味思”的該批次產品也未流向市場。
根據安徽省質監局通報,合肥市腊味思食品有限公司2009年1月19日生產的臘肉、阜陽雨潤肉類加工有限公司2009年3月16日生產的午餐肉經抽查發現含有“克倫特羅”(瘦肉精)。
據安徽媒體報導,當地工商執法人員於21日上午對上述2個批次產品展開市場清查,但並沒有發現合肥市腊味思公司的產品。而標註為阜陽生產的“雨潤”肉製品很少。執法人員只在一家中小超市內發現一款阜陽生產的“雨潤”火腿腸,但沒有看到午餐肉製品。
“該批次產品的總量只有100盒左右,今天已全部召回並銷毀。”南京雨潤集團相關負責人昨天向《每日經濟新聞》表示,午餐肉是雨潤為數不多的高溫產品之一,只在安徽附近銷售,由阜陽雨潤肉類加工有限公司加工生產,產量小,一年銷售額大約只有10萬元左右。
《每日經濟新聞》記者從滬上零售市場看到,上海所售的“雨潤”火腿腸等產品幾乎都產自江蘇南京,並沒有阜陽產的“雨潤”午餐肉。多家超市也表示從來沒有採購過合肥“腊味思”這一產品。不過,為了安全起見,部分超市已開始對“雨潤”品牌旗下的其他產品進行清查,並要求供應商提供各批次產品的質檢合格報。
湖南瘦肉精案
日前,湖南警方破獲一起特大制售"瘦肉精"案件,涉案金額高達3000多萬元,涉及16個省市。5月7日,央視《每周質量報告》對此事進行了報導。
1、案發生豬檢出瘦肉精
2010年6月,湖南省隆回縣畜牧部門對一位養豬戶販運的生豬做常規檢測,發現尿樣瘦肉精萊克多巴胺呈陽性。當地畜牧部門生豬飼養戶所用的飼料檢測後發現,12個樣本檢測結果均為陽性。據湖南邵陽市公安局局長李曉葵介紹,添加了萊克多巴胺添加劑的豬肉,人食用後會出現作嘔、腹瀉症狀,尤其有心臟病的病人面臨生命危險。
湖南警方立刻成立特偵組,很快抓獲了在隆回縣和邵陽市銷售添加了"萊克多巴胺"的4名飼料經銷商。經審訊,警方獲得了瘦肉精飼料的來源--江西省南昌縣小藍經濟工業開發區的一個公司,飼料加工廠的負責人名叫曹宗盛,掌握了這個工廠"晚上九點後開始生產"生產規律,警方在當年7月端掉了這個秘密工廠。
2、抓捕源頭供應商落網
據曹宗盛等人交待,他們生產的添加了萊克多巴胺的飼料,不僅銷到湖南,還銷到江蘇、浙江、湖北、陝西、廣東、海南等全國十多個省市。然而,曹宗盛被抓獲後,他的上線"沈葉冬" 切斷了原來和曹宗盛聯繫的所有渠道,從警方的視線中消失了。辦案人員歷經周折,2011年3月4日才在湖北將其抓獲,原來"沈葉冬"的真名叫羅凡。
據羅凡供述,他在全國16個省市都有下線。他經銷的萊克多巴胺主要由兩個上線--陳秋良和天津的"張姐"提供。此後,特偵組民警輾轉多個城市,在2011年3月22日將陳秋良抓獲,並在當晚查封他位於浙江奉化的加工窩點。九江,將陳秋良剛搬遷至此的生產線查封,當場扣押半成品420公斤,原材料510公斤。
2011年4月1日,警方在江蘇常州一個隱蔽倉庫內,查獲大量的萊克多巴胺成品。
在常州另一個倉庫內,查獲萊克多巴胺成品560公斤。
在無錫查獲大量商標、包裝物等物品。
在公安部統一協調指揮下,各地公安重拳出擊,一批非法從事瘦肉精生產、銷售的犯罪嫌疑人紛紛落網。
3、揭秘1人有20多個假身份證
湖南警方最終鏟斷這個瘦肉精產銷鏈。在進一步調查中,執法部門發現瘦肉精產銷鏈有兩個特點,一是產銷鏈條處於嚴格保密狀態,另一個是非法生產和銷售瘦肉精收益巨大。
為了更好地隱藏非法銷售瘦肉精萊克多巴胺的事實,案件核心人物之一羅凡可謂費盡心機。在與上線和下線聯繫時,羅凡利用20多個假身份證,以至於不少跟他合作了多年的生意夥伴,都不知道他的真實身份。此外,特偵組的辦案人員還在羅凡的住處查獲了銀行卡27張,網銀U盾11個,手機卡30張,以及作案用的手機8台。在整個瘦肉精的非法交易過程中,羅凡一般不和對方見面,而是通過網際網路完成交易。即使這樣,羅凡也還是經常變換髮貨地點,國內快遞公司幾乎都被他用過一遍。晨報記者張璐據《每周質量報告》整理
4、瘦肉精產銷利益鏈
生產商:成本每公斤1000元,售價為每公斤1200元左右。
經銷商:購進瘦肉精後,以每公斤2200元左右賣給飼料加工商。
加工商:每噸豬飼料中加入20克左右瘦肉精,一個加工廠一個月可生產1噸這樣的飼料。
山東瘦肉精羊
中新社石家莊4月11日電(記者牛琳)河北省畜牧局11日透露,由山東流入河北的198隻“瘦肉精羊”已全部撲殺,並進行無害化處理。
2011年4月1日,由山東省慶雲縣運往河北省青縣宰殺點待宰殺的198隻綿羊,被河北省畜牧局現場抽檢出“瘦肉精”成分。2日,該省獸藥監察所對查獲的疑似“瘦肉精羊”進行二次檢驗,抽取48份尿樣,經檢測全部為“瘦肉精”陽性,這批待宰羊隨後由當地農業部門異地封存圈養。
據介紹,在河北省畜牧獸醫局和滄州市農牧局工作人員的監督下,青縣組織有關部門對該批肉羊全部撲殺,並進行無害化處理。
2011年3月31日晚,河北省食品整治辦接到舉報稱,山東省一批“瘦肉精羊”運至滄州青縣戴莊子村尹中路屠宰點,擬於當日晚間或次日晨屠宰。1日凌晨,河北省食品整治辦工作人員與當地有關部門會合,共同對尹中路屠宰點進行突擊檢查。經查,現場共有待宰羊198隻,系畜主山東慶雲縣渤海路西石官堂村劉玉國於3月31日下午從山東運來,準備在此宰殺。
天津檢測
人民網天津3月24日電:天津機場檢驗檢疫局對濱海國際機場範圍內航空供給食品或餐飲原料開展了“瘦肉精”專項監督檢查。此次檢查以肉製品消費環節為重點,共抽取生鮮豬肉、牛肉、羊肉、雞肉和動物內臟等“瘦肉精”檢測樣品237批次,對航食配餐、規模餐飲企業和集體食堂的抽檢復蓋面達到100%。檢測結果發現1批牛肝樣品中含有國家禁止的“瘦肉精”成分鹽酸克倫特羅。衛生監督人員立即通知該餐飲企業負責人對涉及肉製品停用封存,到該企業詳細調查該批貨物來源,並再次採集樣品送專業技術中心進行進一步檢測。目前相關調查仍在進行中。
河北瘦肉精羊
河北省昌黎縣人民法院29日宣判一起“瘦肉精”案件,昌黎縣龍家店鎮西刁坨村38歲的農婦韓立榮違反中國食品衛生管理法規,明知“瘦肉精”是有毒、有害的非食品原料且國家明令禁止給家畜餵食,仍故意給其飼養的育肥羊投喂,結果被追究刑事責任。法院以生產、銷售有毒、有害食品罪判處韓立榮有期徒刑5年,並處罰金人民幣7萬元。
昌黎縣人民法院經審理查明:被告人韓立榮於2009年開始飼養肉用育肥羊。因給育肥羊餵食含有“鹽酸克侖特羅”(俗稱“瘦肉精”)的飼料,其丈夫於2009年受到昌黎縣畜牧發展局處罰。昌黎縣畜牧發展局在處罰的同時告知被告人韓立榮,含有“鹽酸克侖特羅”的藥品不能餵羊。2011年,韓立榮飼養了220隻育肥羊,被告人韓立榮從一商販手中購買了兩千多片含有“鹽酸克侖特羅”成分的藥片,並在明知此藥片含有“鹽酸克侖特羅”成分且畜牧部門不準給飼養的家畜餵食的情況下,仍繼續給其飼養的育肥羊餵食。
2011年3月22日,被告人韓立榮被昌黎縣畜牧發展局執法人員查獲,有關人員當日當場對其中六頭育肥羊的尿樣進行抽樣,結果呈陽性。其中兩份尿樣送交秦皇島市出入境檢驗檢疫局檢驗檢疫技術中心檢驗,確認被告人韓立榮飼養的育肥羊尿液含“鹽酸克侖特羅”成分。被告人韓立榮當庭供述,220隻羊一個月後售出,得款7萬元。
依據《中華人民共和國刑法》和《最高人民法院、最高人民檢察院關於辦理非法生產、銷售、使用禁止在飲料和動物飲用水中使用的藥品等刑事案件具體套用法律若干問題的解釋》的相關規定,昌黎縣人民法院認為,公訴機關指控被告人韓立榮犯罪的事實清楚,提供的證據充分,故對其指控的罪名成立。被告人韓立榮違反中國食品衛生管理法規,明知“鹽酸克侖特羅”藥片是有毒、有害的非食品原料,且國家明令禁止給家畜餵食的前提下,仍故意給其飼養的育肥羊投餵該藥品,其行為已構成生產、銷售有毒、有害食品罪。
首例獸藥非法添加案
公安部10日通報,日前公安部統一指揮浙江、江西等21省區市警方協同作戰,成功搗毀在獸藥中非法添加“瘦肉精”等違禁物質的“黑工廠”――江西海聯動物藥業有限公司,抓獲熊某某等8名犯罪嫌疑人,查繳20餘種偽劣獸藥4000餘箱,摧毀涉及21個省區市的偽劣獸藥銷售網路。此案是我國破獲的首例獸藥非法添加“瘦肉精”案件,也是我國警方首次全環節摧毀的食品源頭性犯罪案件。
食用含瘦肉精內臟中毒
新華網廣州2月20日電(記者楊霞) 記者20日上午從廣州市衛生局應急辦了解到,19日因食用豬內臟中毒的46人經疾控部門實驗室檢驗,確認因瘦肉精引起。
19日,廣州市衛生局分別接到天河、增城兩區共有11起因吃豬內臟引起腹痛、腹瀉報告,涉及46人。廣州市衛生局應急辦副主任王國斌告訴記者,19日夜晚對中毒人員剩餘食物進行的檢驗報告顯示,瘦肉精呈陽性。
記者了解到,中毒者的症狀都比較輕微,只有3人留院觀察,預計他們可以在20日離院。
王國斌說,廣州市衛生監督部門在20日派出人員到各菜市場進行督導檢查。工商、農業、公安等部門正全力追查引起中毒的瘦肉精源頭。
生豬飼養再現瘦肉精
2013年8月11日央視《東方時空》播出了《生豬飼養再現“瘦肉精”:擅自更改配方 藥企添加“瘦肉精”》的新聞。新聞中指出:前不久,浙江海鹽農經部門在生豬飼養日常監督檢查過程中,再次發現了“瘦肉精”的身影。深入實驗室檢測後發現,該批被檢生豬的尿液中含有氯丙那林。氯丙那林,學名鹽酸氯丙那林,同鹽酸克倫特羅、萊克多巴胺一樣,均屬於腎上腺類神經興奮劑,也就是我們俗稱的“瘦肉精”。2011年國務院食品安全辦公室發布的16種“瘦肉精”品種目錄中,鹽酸氯丙那林名列其中。從這起案件中,我們發現了食品安全犯罪的一個重大問題:過去我們查處的“瘦肉精”案件,犯罪分子往往都是把“瘦肉精”添加在飼料中,由於相關部門加大了對飼料違規添加違禁品的打擊力度,犯罪分子便轉而把瘦肉精添加到了獸藥中。有關專家指出,這種非法行為更隱蔽,對人體造成的危害也更大。
新型瘦肉精
百變瘦肉精一、苯乙醇胺A系國內首次發現湖南省岳陽市畜牧水產和公安部門聯手,成功破獲銷售全國首例瘦肉精新品種案件。
2011年3月18日,雲溪區畜牧水產局對全區的飼料經銷店、經銷商進行拉網式排查時,在路口鎮先後發現經銷商曹某、李某銷售的福建龍海市海新飼料預混科技有限公司生產的大豬預混料,附帶添加小包營養素,當即進行了查封。之後,在路口鎮另一經銷商胡某處抽檢了廣東集能生物科技有限公司生產的大豬複合預混料。
雲溪區畜牧水產局將上述兩家公司生產的大豬預混料附帶添加小包營養素抽樣送北京檢測。經國家飼料質量監督檢驗中心檢測表明,兩個廠家的大豬預混料內均含有苯乙醇胺A。其中,福建龍海市海新飼料預混料科技有限公司附帶添加小包營養素苯乙醇胺A含量高達8.4%。
雲溪區畜牧水產局飼料辦主任楊俊傑介紹,按照農業部2010年12月公告的瘦肉精品種目錄,共為16種。此前,國內飼料中出現的僅包括鹽酸克倫特羅、萊克多巴胺等4種,苯乙醇胺A系國內首次發現。
記者了解到,在當地畜牧水產部門進行查處的同時,當地公安機關也立案查處。據負責指揮偵查此案的雲溪區公安分局經偵大隊長高少林介紹,但從近幾個月對當地豬尿樣檢測情況看,尚沒有發現瘦肉精成分。
經過兩個多月的偵查,已查清全國首例瘦肉精新品種來源。這一案件犯罪嫌疑人全部得到控制,涉案8人中,7人被逮捕,1人被刑事拘留。
二、新型瘦肉精案涉及三省不斷出現的瘦肉精事件成為中國食品安全領域一個揮之不去的幽靈。日前,湖南嶽陽市人民政府宣布,經過當地有關部門兩個多月的奮戰,成功破獲一起涉及福建、湖南、浙江三省的瘦肉精生產、銷售案件。
記者實地採訪發現,與以往類似事件不同的是,這次竟從飼料中檢測出以前從未出現過的苯乙醇胺A。這種瘦肉精新品種驚現市場,再次敲響中國食品安全警鐘。
三、浙大教授處查獲“毒飼料”鑒於案情複雜,影響較大,在畜牧水產部門行政查處的同時,當地公安機關也展開偵查,立案查處。調查中當地警方發現,在雲溪銷售的這幾種含瘦肉精飼料,均來自福建省龍海市海新飼料預混公司。在掌握確鑿證據後,岳陽警方對公司總經理蔡某某、銷售員蔡某明、財務總監黃某、研究所出納甘某、岳陽業務員李某5人實施逮捕。
接著,岳陽警方順藤摸瓜,又在浙江的飼料經銷商顧某、朱某處查獲尚未銷售完的含有苯乙醇胺A的核心料1300公斤,經檢測,苯乙醇胺A含量高達24.6%。警方隨後對他們實施逮捕。此外,還從浙江大學教授鄒某處查獲含苯乙醇胺A的飼料1500公斤,並對其實施刑事拘留。
瘦肉精新品種銷售案引起當地民眾擔憂。對此,雲溪區畜牧水產部門對流入當地的瘦肉精飼料進行調查。經過核實,約2.5噸問題飼料已被銷售出去,購買對象基本是當地生豬養殖戶。在接下來的幾個月時間裡,他們對當地豬尿樣進行嚴格的檢測檢查,到目前為止,尚未發現瘦肉精成分。
食品添加劑
2011年度十大熱詞-候選詞
謠鹽 | 微博打拐 | 道德血液 | 阿拉伯之春 | 占領華爾街 | 限娛令 | 歐債危機 | 投資移民 | 追尾 | 瘦肉精 | 藥家鑫 | 賈伯斯 | 賓·拉登 | 郭美美[炫富女] | 卡扎菲 | 小悅悅 | 蔡美兒 | 潘幣 | 盧美美 | 四大名爹 | 傷不起 | HOLD住 | 壓力山大 | 五道槓 | 撐腰體 | 穿越 | 校車 | 高鐵體 | PM2.5日常飲食中吃到的有害物質
2011年食品安全事件
| 網上流傳過這樣一個段子:日本核輻射事件發生後,中國人民表示毫無壓力。因為吃著蘇丹紅、毒奶粉、地溝油、瘦肉精長大的中國人民早已百毒不侵,區區輻射無足掛齒。看似無厘頭的調侃背後,折射出的卻是國人對於我國食品安全現狀的強烈不安與不滿。 |

