基本內容
中文名稱:對羥基苯甲酸乙酯
中文別名:尼泊金乙酯;羥苯乙酯;4-羥基苯甲酸乙酯
英文名稱:Ethyl 4-hydroxybenzoate
英文別名:Ethylparaben; 4-Hydroxybenzoic acid ethyl ester; p-Hydroxy Ethyl Benzoate; Nipagin A; Ethyl paraben; Ethyl Parasept; Solbrol A; Ethyl P-Hydroxybenzoate
CAS號:120-47-8
EINECS號:204-399-4
分子式:C9H10O3
分子量:166.1739
熔點(℃):116~118
沸點(℃):297~298(分解)
密度:1.168g/cm3
熔點:115-118℃
沸點:297.5°C at 760 mmHg
閃點:120.3°C
蒸汽壓:0.000759mmHg at 25°C
物化性質:性狀 白色結晶或結晶性粉末,有特殊香味。
溶解性:易溶於乙醇、乙醚和丙酮,微溶於水、氯仿、二硫化碳和石油醚
規格:常用濃度0.03%~0.l5%。另0.l%滴眼劑可用於治療真菌性角膜潰瘍。 0.2%為食物防腐,0.3%為製劑防腐。
基本介紹
【別名】羥苯乙酯,尼泊金乙酯,對羥基苯甲酸乙酯
【外文名】Ethyl Hydroxybenzoate, Nipagin A,Ethylparaban
【CAS號】120-47-8
【MDL】MFCD00002353
【EINECS號】204-399-4
【藥理作用】 本品對真菌的抑菌效果較強,但對細菌的抑菌效果較弱。用作抑菌防腐劑,廣泛用於液體製劑及半固體製劑,也可用於食品及化妝品的防腐。
【規格】 常用濃度0.03%~0.l5%。另0.l%滴眼劑可用於治療真菌性角膜潰瘍。 0.2%為食物防腐,0.3%為製劑防腐。
【分子式】C9H10O3
【相對分子量】166.18
【密度】1.168g/cm3
【熔點(℃)】116~118
【沸點(℃)】297~298(分解)
【閃點】120.3°C
【蒸汽壓】0.000759mmHg at 25°C
性狀簡介
對羥基苯甲酸乙酯本品為白色、晶狀、幾乎無臭的粉末。味微苦、灼麻。幾乎不溶於冷水(25℃時為0.17%W/V,80℃時為0.86%W/V),易溶於乙醇、乙醚、丙酮或丙二醇,在氯仿中略溶,在甘油中微溶,pH3~6的水溶液在室溫穩定,能在120℃滅菌20min不分解,pH>8時水溶液易水解。本品具有抗微生物特性。熔程114°~118°。
質量標準
中國藥典1990
鑑別 +
酸度(4%水溶液pH值)4.0~7.0
氯化物≤0.035%
硫酸鹽≤0.04%
水楊酸≤0.1%
熾灼殘渣≤0.1%
含量≥99.0%
安全術語
1.避免與皮膚和眼睛接觸。
2.不慎與眼睛接觸後,請立即用大量清水沖洗並徵求醫生意見。
3.穿戴適當的防護服。
作用用途
用作食品防腐劑,也用於製藥、皮革等行業。本品對黴菌的抑菌效能較強,但對細菌的抑制作用較弱。在藥劑中用作抑菌防腐劑,廣泛用於液體製劑、半固體製劑。本品在食品工業和日化工業中具有相似的用途,廣泛用於食品和化妝品的防腐。例如:白醋。
套用實列
1.硫酸鋅滴眼劑硫酸鋅0.3g,鹽酸麻黃素0.2g,甘油2ml,硼酸1.5g,尼泊金乙酯0.03g,蒸餾水加至100ml。
2.軟膏基質處方①:硬脂酸170g,三乙醇胺20m1,羊毛脂20g。液狀石蠟l00ml,甘油50ml,尼泊金乙酯lg,蒸餾水加至1000g。 處方②:海藻酸鈉30g,葡萄搪酸鈣0.5g,甘油450g,尼泊金乙酯2g,蒸餾水加至1000g。
3.皮膚增白液醋酸乙烯樹酯乳液15g,聚乙烯醇l0g,橄欖油3g,山梨酵5g,二氧化鈦15g,乙醇15g,牛脾臟水提取物2g,泛酸鈣2g,對羥基苯甲酸乙酯0.1g,香料0.1g,純水適量,常法製成乳濁液l00ml即得。本製劑對皮膚有良好的美白效果。牛脾臟水提取是將新鮮的冷凍牛脾臟經粉碎。60℃熱水浸清1h以上,再加熱至80℃並維持l0min以上,然後過濾、濃縮。最後加入乙醇至濃縮物中,濾除蛋白質後澄清而製得。
4.5,7,4-三羥(基)黃酮軟膠布取0.45%的5,7,4一三羥(基)黃酮,99.55%的束皮製成軟膠布(囊皮組成,明膠100份,甘油20份,對羥基苯甲酸乙酯0.2份,對羥基苯甲酸丙酯0.2份及水80份)。
不良反應
(1)本品與非離子表面活性劑(如吐溫一20、吐溫一80)、聚乙二醇一6000等合用,能增加本品的水溶度,但也能形成絡合物而影響其抑菌作用。2)遇鐵變色,遇強酸、強鹼易水解。(3)當液體製劑中含有低濃度(2%~15%)的丙二醇時,則其防腐作用增強。
注意事項
配伍變化:本品與非離子表面活性劑合用則抗微生物活性減弱。本品遇鐵變色,遇弱鹼或強酸易水解。
安全性:有時套用本品會引起過敏,出現皮炎。但急性毒性和慢性毒性很低,LD50為8g/kg(小鼠,經口)。一般公認是安全的。每日允許攝入量為0~10mg/kg(FAO/WHO,1985)。
貯運事項:本品置於密閉容器內,貯存於陰涼,乾燥處。
相關品種
對羥基苯甲酸酯類,見各該條下。 0195—1.對羥基苯甲酸苄酯(Benzyl pHydroxybenzoate C14H1203228.2)本品是由對羥基苯甲酸與苄醇在催化劑存在下酯化而得。為白色至乳白色無臭或幾乎無臭的細微結品性粉末。熔點約120℃,實際上不溶於水,1份可溶於2.5份乙醇、1份丙酮,6份乙醚,70份甘油和8份丙二醇,溶於花生油和烷醇。本品在藥劑中用作抑菌防腐劑,也用於配製香料,作芳香矯殊劑。其它各項與對羥基苯甲酸乙酯基本相同。
檢驗標準
食品添加劑對羥基苯甲酸乙酯標準:GB8850-2005
範圍
本標準規定了對羥基苯甲酸乙酯的要求、試驗方法、檢驗規則及標誌、包裝、運輸和貯存。
本標準適用於由對羥基苯甲酸和乙醇以硫酸為催化劑酯化而製成的食品添加劑對羥基苯甲酸乙醋。該產品在食品、藥品和化妝品中作防腐劑。
分子式 :C9H1003
對羥基苯甲酸乙酯結 構式 :
相對分子質量:166.18(按2001年國際相對原子質量)
規範性引用檔案
下列檔案中的條款通過本標準的引用而成為本標準的條款。凡是注日期的引用檔案,其隨後所有的修改單(不包括勘誤的內容)或修訂版均不適用於本標準,然而,鼓勵根據本標準達成協定的各方研究是否可使用這些檔案的最新版本。凡是不注日期的引用檔案,其最新版本適用於本標準。
GB /T 1 91 包裝儲運圖示標誌(GB/T 191-2000,egvI SO 780;1997)
GB /T 6 01 化學試劑標準滴定溶液的製備
GB /T 602 化學試劑雜質測定用標準溶液的製備(GB/T 602-2002,ISO 6353-1;1982, NEQ)
GB /T 603 化學試劑試驗方法中所用製劑及製品的製備(GB/T 603-2002,ISO 6353-1:1982,NEQ)
GB /T 617 化學試劑熔點範圍測定通用方法
GB /T 5009.76 食品添加劑中砷的測定
GB /T 6 678 化工產品採樣總則
GB /T 6 679 固體化工產品採樣通則
GB /T 6 682 分析實驗室用水規格和試驗方法(GB/T 6682-1992,neqI SO 3696:1987)
GB /T 9724-1988 化學試劑pH值測定通則
GB /T 9741 化學試劑灼燒殘渣測定通用方法
要求
3.1 性狀:白色結晶粉末,無臭味或有輕微的特殊香氣,味微苦,灼麻。
3.2 食品添加劑對羥基苯甲酸乙醋應符合表1所示的技術要求。
表1 技 術 要 求
| 項目 | 指標 |
| 對羥基苯甲酸乙酯(以乾基計)的質量分數 | 99.0-100.5% |
| 熔點 | 115-118℃ |
| 游離酸(以對羥基苯甲酸計)的質量分數 | ≤0.55% |
| 硫酸鹽的質量分數 | ≤0.024% |
| 乾燥減量的質量分數 | ≤0.50% |
| 灼燒殘渣的質量分數 | ≤0.05% |
| 砷的質量分數 | ≤1ppm |
| 重金屬 | ≤10ppm |
| 註:砷的質量分數和重金屬(以鉛計)的質量分數為強制性要求。 | |
試驗方法
4.1 .示
試驗方法規定的一些試驗過程可能導致危險情況。操作者應採取適當的安全和健康措施。
4.2 一般規定
除非另有說明,在分析中僅使用確認為分析純的試劑或和GB/T 6682中規定的三級水。分析中所用標準滴定溶液、雜質測定用標準溶液、製劑及製品,在沒有註明其他要求時,均按GB/T 601,GB/T 602,GB/T 603的規定製備。
4.3 鑑別試驗
4.3.1 試劑
4.3.1.1 氫氧化鈉溶液:40 g/L;
4.3.1.2 氯化鋇溶液:250 g/L;
4.3.1.3 氫氧化鈉溶液:80 g/L;
4.3.1.4 硫酸溶液:1-17;
4.3.1.5 碘溶液:12. 7g/L.
4.3.2 鑑別方法
4.3.2.1 稱取約0.5 g 實驗室樣品,精確至0.01 g ,加10m L氫氧化鈉溶液(4.3.1.1)煮沸30min,蒸發至約5 mL,冷卻,加硫酸溶液使成酸性,過濾,沉澱用水洗至濾液用抓化鋇溶液檢定不發生渾濁,然後將沉澱物在105℃士2℃乾燥lh,按GB/T 617測定熔點,其終熔溫度應在213℃-217℃範圍內。
4.3.2.2 稱取0.5 g 實驗室樣品,精確至0.01 g ,加5m L氫氧化鈉溶液(4.3.1.3),置於沸水浴中加熱5 min,加6 mL硫酸溶液,冷卻,過濾,濾液中加5 mL氫氧化鈉溶液(4.3.1.3),溫熱至501C,然後加5 mL碘溶液,出現碘仿的氣味,接著生成沉澱。
4.4 對輕墓苯甲酸乙醋含,的測定
4.4.1 方法提要
試 樣與 一定量的氫氧化鈉進行皂化反應,過量的氫氧化鈉用硫酸標準滴定溶液滴定,用酸度計指示終點。根據消耗硫酸標準滴定溶液的體積,計算對經基苯甲酸乙醋的含量。
4.4.2 試劑
4.4.2.1 氫氧化鈉溶液:40 g/L;
4.4.2.2 緩衝溶液:25℃時,pH為4.01和6.86的緩衝溶液,按GB/T 9724-1988中的4.3和4.4配製;
4.4.2.3 硫酸標準滴定溶液:c(1/2HZSO4)=1 mol/L。
4.4.3 儀器
pH 酸度計:精度為0.1 pH單位。
4.4.4 分析步驟
4.4.4. 1 按GB/T 9724進行酸度計調試。
4.4.4.2 稱取約2g在80℃士2℃乾燥2h後的試樣,精確至0. 000 2 g,置於250 mL的碘量瓶中,準確加人40 mL氫氧化鈉溶液,緩緩加熱至沸,回流1h,冷卻至室溫,定量轉移至燒杯中,移到事先用pH=6.86 緩衝溶液調好的pH酸度計上,用硫酸標準滴定溶液滴定至pH為6.5 0,並穩定30s ,即為終點。
4.4.4.3 在測定的同時,按與測定相同的步驟,對不加試料而使用相同數量的試劑溶液做空白試驗。
4.4.5 結果計算
對羥基苯甲酸乙酯對經基苯甲酸乙酯(C9H1003)的質量分數w,,數值以%表示,按式(1)計算:
式 中:
V, — 空白試驗消耗硫酸標準滴定溶液(4.4.2.3)的體積的數值,單位為毫升(mL);
V2 — 試料消耗硫酸標準滴定溶液(4.4.2.3)的體積的數值,單位為毫升(mL);
c 硫 酸標 準滴定溶液濃度的準確數值,單位為摩爾每升(mol/L);
m— 試料的質量的數值,單位為克(g);
M 對經基苯甲酸乙醋的摩爾質量的數值,單位為克每摩爾(g/moL)(M =166.2)a
取兩次平行測定結果的算術平均值為測定結果,兩次平行測定結果的絕對差值不大於0.2000
4.5 熔點的測定
4.5.1 毛細管法(仲裁法)
按G B/ T 617的規定進行。以終熔溫度作為測定結果。取兩次算術平均值為測定結果,兩次平行測定結果的絕對差值不大於0.30C.
4.5.2 數字熔點儀法
4.5.2.1 儀器
數字熔 點 儀:控溫精度為士0.50C;
4.5.2.2 分析步驟
按熔點 儀 的操作說明書進行調節、校正熔點儀。調節儀器溫度至112*C 。將烘乾的試樣研細裝入潔淨乾燥的熔點管中,取長約800 mm的乾燥空心玻璃管直立於玻璃或瓷板上,將裝有試樣的熔點管在其中投落15次以上,直到熔點管上樣品緊縮至3 mm-5 mm高或適當高度,待儀器的溫度穩定後,將裝有試樣的熔點管插人進樣孔,調節零點,以10C / min的速率升溫,數分鐘後儀器顯示試樣的初熔和終熔溫度,以終熔溫度作為測定結果。
取兩次平行測定結果的平均值為測定結果,兩次平行測定結果的絕對差值不大於0.5 0C ,
4.6 游離酸含f的測定
4.6.1 試劑
4.6.1.1 氫氧化鈉標準滴定溶液:c(NaOH)=0.1 mol/L;
4.6. 1.2 甲基紅指示液:1 g/L
4.6.2 分析步驟
稱 取0. 7 5g 實驗室樣品,精確至0.0 1g ,置於15m L約80℃熱水中加熱1 min,冷卻,過濾,取10 mL濾液,加2滴甲基紅指示液,用氫氧化鈉標準滴定溶液滴定至黃色,穩定30 s即為終點,消耗氫氧化鈉標準滴定溶液的體積不得超過0. 20 mL,
4.7 硫酸鹽含f的測定
4.7.1 試劑
4.7.1. 1 鹽酸溶液:1十3;
4.7.1.2 氯化鋇溶液:250 g/L;
4.7.1.3 硫酸鹽(so,)標準溶液:0. 1 mg/mL,
4.7.2 分析步驟
稱 取1. 0 g 實驗室樣品,精確至0.01 g ,加100m L熱水,充分振搖混合,加熱5m in,冷卻,加水至100 mL,過濾,取濾液40 mL於50 mL比色管中,加5 mL鹽酸溶液及3 mL氯化鋇溶液,搖勻,放置10 min,所呈濁度不得大於標準。標準是取0.9 6m L硫酸鹽(504)標準溶液於50mL比色管中,與40mL試樣濾液同時同樣處理。
4.8 乾操減f的測定
4.8.1 分析步驟
稱取2g 實驗室樣品,精確至0.00 02 g ,置於已預先於80℃士2℃千燥至質量恆定的直徑45mm高25 mm的稱量瓶中,分布均勻,於80℃士2℃乾燥2h,取出,冷卻至室溫,稱量。
4.8.2 結果計算
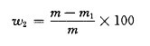
對羥基苯甲酸乙酯乾 燥減 量的質量分數w2,數值以%表示,按式(2)計算:
式 中:
m— 乾燥前試料質量的數值,單位為克(g);
ml — 乾燥後試料質量的數值,單位為克(9)。
取 兩次平 行測定結果的算術平均值為測定結果,兩次平行測定結果的絕對差值不大於0.05%.
4.9 灼燒殘渣的測定
按GB /T 9 741的規定進行。測定時,稱取5g實驗室樣品,精確至0.00 02 g 。灼燒溫度為500℃士50℃。
取平行測定結果的算術平均值為測定結果,平行測定結果的絕對差值不大於0.01%。
4.10 砷含,的側定
按GB /T 5009.76中規定的砷斑法進行。測定時稱取1.0g 實驗室樣品,精確至0.0 1g ,置於錐形瓶中,加5 mL硫酸及幾粒玻璃珠,於可調電爐上加熱,直至開始炭化,冷卻,慢慢加30 (質量分數)的過氧化氫直至消化液澄清無色,再加熱至發白煙,冷卻,小心加入10 mL水,繼續加熱至產生白煙,冷卻,小心加水將試驗溶液洗人測砷瓶中進行測定。取l. 00 m L砷(As)標準溶液(相當於0.00 1m gA s),加人6m L硫酸溶液(1-}-1),加35m L水,製備限量標準液。
4.11 ,金屬含f的測定
4.11.1 試劑
4.11.1.1 硫化鈉溶液:稱取硫化鈉5g,精確至0.0 1g ,用水10m L和丙三醇(甘油)30m L混合溶解。此溶液使用期限為兩周;
4.11.1.2 乙酸溶液:1-20;
4.11.1.3 鉛(Pb)標準溶液:10 t.g/mI.o
4.11.2 分析步驟
稱 取2. 0 g 實驗室樣品,精確至0.0 01g ,於50mL比色管中,加25mL丙酮溶解,加2mL乙酸溶液,用水稀釋至50 mL,加2滴硫化鈉溶液,搖勻,於暗處放置10 min,所呈顏色不得深於標準比色溶液。標 準比 色溶液是吸取2.0 0mL鉛(Pb)標準溶液,與試樣同時同樣處理。
檢驗規則
5.1 檢驗分為出廠檢驗和型式檢驗。
5.1.1 型式檢驗項目為表1技術要求中規定的全部項目,在正常生產情況下,每兩周至少進行一次型式檢驗。有下列情況之一時,也應進行型式檢驗。
a) 更 新關鍵生產工藝;
b) 主要 原料有變化;
c) 停 產又恢復生產;
d) 出 廠檢驗結果與上次型式檢驗有較大差異;
e) 契約規定。
5.1.2 出廠檢驗項目為對經基苯甲酸乙酷含量、熔點、游離酸含量、硫酸鹽含量、乾燥減量,應逐批進行檢驗。
5.2 以每一班產品為一個批號,或多班經混合均勻後為一個批號。
5.3 採樣按GB/T 6678和GB/T 6679執行,將所采的樣品充分混合後,以四分法縮分至不少於200 g,分別裝人兩個乾燥密閉的樣品袋中,貼上標籤註明生產廠名稱、產品名稱、批號或生產日期、採樣日期和採樣者姓名。一袋供檢驗用,一袋密封保存備查。
5.4 食品添加劑對經基苯甲酸乙醋應由生產廠的質量檢驗部門進行檢驗,生產廠應保證出廠的產品均符合本標準要求。每批出廠的產品都應附有一定格式的質量證明書,其內容包括產品名稱、生產廠名稱、廠址、批號或生產日期及本標準編號。
5.5 如果檢驗結果有一項指標不符合本標準要求時,應重新自兩倍量的包裝袋中採樣進行復驗,復驗結果即使只有一項指標不符合本標準要求,則整批產品為不合格。
標誌、包裝、運輸和貯存
6. 1 標誌
包裝容器上應有牢固明顯的標誌,內容包括生產廠名稱、廠址、商標、“食品添加劑”字樣、產品標準編號、衛生許可證號、批號或生產日期、淨質量和保質期。並應有符合GB/T 191規定的“怕雨”、“怕曬”、“向上”、“堆碼層數極限”標誌。
6.2 包裝
食 品添 加劑對經基苯甲酸乙醋應包裝於食品用聚乙烯塑膠袋中,每袋淨質量1k g,每20袋為一大包裝,或根據用戶要求進行包裝。
6.3 運輸和貯存
食 品添 加劑對經基苯甲酸乙醋應貯存於乾燥、通風、清潔的倉庫內。運輸過程中不得與有害有毒物質同車裝運,並應輕卸,防止重壓,防止日曬雨淋。
6.4 保質期
在 符合 本標準包裝、運輸和貯存條件下,食品添加劑對經基苯甲酸乙酯自生產之日起,保質期為三年。逾期可重新檢驗,檢驗結果符合本標準要求時,仍可繼續使用。

