簡介
羧甲基纖維素鈉中文名稱:羧甲基纖維素鈉
中文別名:羧甲基醚纖維素鈉鹽;羧甲基纖維素鈉鹽;羧甲纖維素鈉;CMC
英文名稱:Carboxymethylcellulose sodium
英文別名:Carboxymethyl cellulose, sodium salt; sodium carboxymethyl cellulose; cellulose carboxymethyl ether, sodium; cmc sodium salt; carboxyl methyl cellulose sodium; carboxy-methyl cellulose sodium; carboxymethyl cellulose sodium; cellulose carboxymethyl ether sodium; cmc sodium; cmc-4lf sodium; carbose sodium; carboximethylcellulosum sodium; carboxymethyl cellulose ether sodium; carboxymethylated cellulose pulp sodium; carboxymethylcellulose sodium; carboxymethylcellulosum sodium; carmellose sodium; carmellosum sodium; carmelosa sodium; cellulose gum 7h sodium; cellulose carboxymethylate sodium; cellulose, (carboxymethyl) sodium; cellulose, ether with glycolic acid sodium; celluloseglycolic acid sodium; colloresine sodium; croscarmellose sodium; croscarmellosum sodium; CMCNA; sodium acetate - hexose (1:1:1); acetic acid; 2,3,4,5,6-pentahydroxyhexanal; sodium; CMC
CAS:9004-32-4;117385-93-0;12624-09-8;198084-97-8;247080-55-3;37231-14-4;37231-15-5;404943-62-0;454679-81-3;50642-44-9;54018-17-6;55607-96-0;64103-90-8;654655-39-7;73699-63-5;80296-93-1;81209-86-1;82197-79-3;9045-95-8;9085-26-1
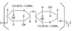
結構式羧甲基纖維素鈉是當今世界上使用範圍最廣、用量最大的纖維素種類。
EINECS號:900-432-4
相關類別:石油鑽井化學品;食品添加劑;增稠劑;化工助劑;油田化學品;鑽井用化學品;抄紙過程中的化學品;造紙化學品;增稠劑和膠凝劑;MudDrillingChemicals;Foodadditives
Mol檔案:MolFile
縮寫:CMC
根據《食品安全國家標準、食品添加劑使用標準》(GB2760-2011)規定:
在食品中作用增稠劑使用。可在各類食品中按生產需要適量使用的食品添加劑。對動、植物油、蛋白質與水溶液的乳化性能極為優異,能使其形成性能穩定的勻質乳狀液。因其安全可靠,因此,其用量不受國家食品衛生標準ADI限制。
誕生
羧甲基纖維素鈉由德國於1918年首先製得,並於1921年獲準專利而見諸於世。此後便在歐洲實現商業化生產。當時只為粗產品,用作膠體和粘結劑。1936~1941年,羧甲基纖維素鈉的工業套用研究相當活躍,發明了幾個相當有啟發性的專利。第二次世界大戰期間,德國將羧甲基纖維素鈉用於合成洗滌劑。Hercules公司於1943年為美國首次製成羧甲基纖維素鈉,並於1946年生產精製的羧甲基纖維素鈉產品,該產品被認可為安全的食品添加劑。上世紀七十年代我國開始採用,九十年代開始普遍使用。是當今世界上使用範圍最廣、用量最大的纖維素種類。
結構式:C6H7O2(OH)2OCH2COONa 分子式:C8H11O7Na
性狀
羧甲基纖維素鈉本品為纖維素羧甲基醚的鈉鹽,屬陰離子型纖維素醚,為白色或乳白色纖維狀粉末或顆粒,密度0.5-0.7克/立方厘米,幾乎無臭、無味,具吸濕性。易於分散在水中成透明膠狀溶液,在乙醇等有機溶媒中不溶。1%水溶液pH為6.5~8.5,當pH>10或<5時,膠漿粘度顯著降低,在pH=7時性能最佳。對熱穩定,在20℃以下粘度迅速上升,45℃時變化較慢,80℃以上長時間加熱可使其膠體變性而粘度和性能明顯下降。易溶於水,溶液透明;在鹼性溶液中很穩定,遇酸則易水解,PH值為2-3時會出現沉澱,遇多價金屬鹽也會反應出現沉澱。
主要用途
食品工業中用作增稠劑,醫藥工業中用作藥物載體,日用化學工業中用作黏結劑、抗再沉凝劑。印染工業中用作上漿劑和印花糊料的保護膠體等。在石油化工中可作為採油壓裂液成分。
配伍禁忌
羧甲基纖維素鈉與強酸溶液,可溶性鐵鹽,以及一些其他金屬如鋁、汞和鋅等有配伍禁忌,PH﹤2時,以及與95%的乙醇混合時,會產生沉澱。
工藝
CMC通常是由天然纖維素與苛性鹼及一氯醋酸反應後製得的一種陰離子型高分子化合物,分子量6400(±1 000)。主要副產物是氯化鈉及乙醇酸鈉。CMC屬於天然纖維素改性。目前聯合國糧農組織(FAO)和世界衛生組織(WHO) 已正式稱它為“改性纖維素”。
質量
衡量CMC質量的主要指標是取代度(DS)和純度。一般DS不同則CMC的性質也不同;取代度增大,溶解性就增強,溶液的透明度及穩定性也越好。據報導,CMC取代度在0.7~1.2時透明度較好,其水溶液粘度在pH值為6~9時最大。為保證其質量,除了選擇醚化劑外,還必須考慮影響取代度和純度的一些因素,例如鹼與醚化劑之間的用量關係、醚化時間、體系含水量、溫度、pH值、溶液濃度及鹽類等。
現狀
為了解決原料(棉短絨製成的精製棉)來源之不足,近幾年來我國一些科研單位與企業共同合作,綜合利用稻草、地腳棉(廢棉)、豆腐渣等試製生產CMC獲得成功,生產成本大大下降,這樣為CMC工業生產開闢了一條新的原料來源途徑,實現資源的綜合利用。一方面降低生產成本,另一方面CMC又往更高精細方向發展。目前,CMC的研究與開發主要著重現有生產技術的改造與製造工藝的革新,以及具有獨特性能的CMC新產品,如國外研製成功並已普及套用的“ 溶媒-淤漿法” 工藝,生產出具有高穩定性能的新型改性CMC,由於取代度較高,取代基分布更為均勻,使其可以套用在更為廣闊的工業生產領域和複雜的使用環境,滿足更高的工藝要求。國際上把這種新型改性CMC又稱作“聚陰離子纖維素(簡稱 PAC,Poly anionic cellulose)”。
安全性
安全性高,ADI不需要規定,現已制定國家標準。
套用
CMC在食品中的套用FAO和WHO已批准將純CMC用於食品,它是經過很嚴格的生物學、毒理學研究和試驗後才獲得批准的,國際標準的安全攝入量(ADI)是25mg/(kg·d),即大約每人1.5 g/d。曾有報導說,有人試驗攝入量達到10 kg也未有毒性反應。CMC在食品套用中不僅是良好的乳化穩定劑、增稠劑,而且具有優異的凍結、熔化穩定性,並能提高產品的風味,延長貯藏時間。在豆奶、冰淇淋、雪糕、果凍、飲料、罐頭中的用量約為1% ~1.5%。CMC還可與醋、醬油、植物油、果汁、肉汁、蔬菜汁等形成性能穩定的乳化分散液,其用量為0.2% ~ 0.5%。特別是對動、植物油、蛋白質與水溶液的乳化性能極為優異,能使其形成性能穩定的勻質乳狀液。因其安全可靠,因此,其用量不受國家食品衛生標準ADI限制。CMC 在食品領域不斷被開發,近年來,在葡萄酒生產中套用羧甲基纖維素鈉的研究也已開展。
CMC在醫藥的用途在醫藥工業中可作針劑的乳化穩定劑,片劑的粘結劑和成膜劑。有人經基礎及動物實驗證明CMC是安全可靠的抗癌藥載體。用CMC作膜材料,研製的中藥養陰生肌散的改造劑型— —養陰生肌膜,能用於皮膚磨削手術創面和外傷性創面。動物模型研究表明,該膜防止創面感染,與紗布敷料無明顯差異,在控制創面組織液滲出與創面快速癒合上,此膜明顯優於紗布敷料,並有減輕術後水腫和創面刺激作用。用聚乙烯醇:羧甲基纖維素鈉:聚羧乙烯按3:6:1的比例製成的膜劑為最佳處方,粘附性及釋放速率均增加,在增加黏膜粘附緩釋膜劑的粘附力,延長製劑在口腔內的滯留時間及製劑中藥物的藥效都有明顯提高 。丁哌卡因為強效局部麻醉藥,但它中毒時有時可產生較為嚴重的心血管副反應,故臨床上在廣泛套用丁哌卡因的同時,對其毒性反應的防治研究一直較為重視。藥劑研究顯示,CIVIC作為緩釋物質與丁哌卡因溶液進行配製可顯著降低藥物的副作用。在PRK手術中,採用低濃度地卡因與非甾體類抗炎藥聯合CMC可明顯緩解術後疼痛。預防腹部手術後腹膜粘連、減少腸梗阻的發生是臨床外科最關注的問題之一。有研究表明,CMC減輕術後腹膜粘連程度的作用明顯優於透明質酸鈉,可作為一種有效的方法來防止腹膜粘連的發生。CMC用於治療肝癌的導管肝動脈灌注抗癌藥中,可以明顯延長抗癌藥在腫瘤的滯留時間,增強抗腫瘤的力,提高治療效果。在動物醫學上,CMC也有廣泛的用途。有報導指出,向母羊腹腔內滴注1%CMC溶液來預防家畜難產、生殖道手術後發生腹部粘連有顯著效果。
高分子套用以甲殼素和羧甲基纖維素鈉為功能表面材料,聚丙烯腈為基膜支撐層,用環氧氯丙烷和丙三醇三縮水甘油醚為交聯劑,分別製備了甲殼素-環氧氯丙烷交聯複合納濾膜,甲殼素/羧甲基纖維素鈉-環氧氯丙烷交聯共混複合納濾膜,甲殼素/羧甲基纖維素鈉-丙三醇三縮水甘油醚交聯共混複合納濾膜等三種複合納濾膜。研究了這三種複合膜的最佳製備條件及操作條件對膜截留性能的影響規律,並對複合膜進行結構與性能表征。以甲殼素/羧甲基纖維素鈉-環氧氯丙烷共混複合納濾膜對紡織印染廢水中水進行了深度處理套用研究。
結果表明,溶解態總磷、苯胺及CODCr的去除率分別可達79.59%、29.24%和88.06%。納濾膜出水CODCr含量≤15 mg·L-1,根據地面水環境質量標準GB 3838-88,已達到一級排放標準。 用所製備的荷負電新型複合納濾膜在中水脫磷、去除CODCr等深度處理中已取得較好的效果,在工業污水處理、飲用水純化等方面具有一定的套用前景。
生物材料套用絲素蛋白具有良好的生物相容性,在生物材料上得到了廣泛的研究。但在乾燥條件下,絲素蛋白膜的脆性影響其使用價值,這是亟待解決的問題。本文利用羧甲基纖維素鈉改性絲素蛋白,製得共混膜,測定了羧甲基纖維素鈉的種類,共混的條件(組分的配比、反應時間、反應溫度和變性劑的種類、變性劑的含量)對共混膜性能及結構的影響,並得出以下重要結果。
(1)絲素/羧甲基纖維素鈉共混膜中,羧甲基纖維素鈉和絲素蛋白質兩種分子之間形成氫鍵作用,降低絲素蛋白質分子之間本身的氫鍵作用,從而降低共混膜的強度,提高共混膜的伸長率。
(2)綜合考慮混合膜的各種物理性能,絲素/羧甲基纖維素鈉(FM6),在反應時間為1.5 h、反應溫度為30℃-50℃、尿素含量為10%-20%,絲素蛋白含量大於70%時,所製得的共混膜的拉伸強度適中,伸長率最大,適合於作醫用創面材料。
(3)通過對共混膜血液相容性的評價,綜合考慮可確定理想材料為反應時間為1.5 h、反應溫度為30℃-50℃、尿素含量為10%-20%、絲素蛋白含量大於70%時,所製得的絲素/羧甲基纖維素鈉(FM6)尿素膜。
綠色農業為了探索農業廢棄物優質轉化的新途徑,採用吉布斯自由能最小原理和試驗研究相結合的方法,分析麥秸/羧甲基纖維素鈉(CMC)在超臨界水中轉化為富氫氣體時氣體產物的分布特點.結果表明主要產氣為氫氣、二氧化碳和甲烷,在亞臨界區(330~374℃)、低溫的超臨界區(375-430℃)以及高溫的超臨界區(≥430℃),產物分布明顯不同.
尤其是氫氣,其摩爾分數分別從最低、居中上升到最高(66%),這表明高溫明顯有利於制氫,但溫度升高到一定值後,氣體產物的平衡組分不再變化.研究表明,溫度和質量分數對產氣的作用遠大於壓力,產氣的高熱值隨物料質量分數的增加而增加,隨反應溫度的升高而下降.提出麥秸/CMC氣化制氫的最佳溫度為450~600℃.
CMC在其它工業套用在洗滌劑中,CMC可用作抗污垢再沉積劑,尤其是對疏水性的合成纖維織物的抗污垢再沉積效果,明顯優於羧甲基纖維。
CMC在石油鑽探中可用於保護油井作為泥漿穩定劑、保水劑,每口油井的用量為淺井2.3t,深井5.6t;
在紡織工業中用作上漿劑、印染漿的增稠劑、紡織品印花及硬挺整理。用於上漿劑能提高溶解性及粘變,並容易退漿;作為硬挺整理劑,其用量在95%以上;用於上漿劑,漿膜的強度、可彎曲性能明顯提高;用再生絲心蛋白和羧甲基纖維素構成的複合膜作為固定葡萄糖氧化酶的基質,固定葡萄糖氧化酶和羧酸二茂鐵,製成的葡萄糖生物感測器具有較高的靈敏度與穩定性。研究表明,用濃度為1%(w/v)左右的CMC溶液調製矽膠勻漿時,製得的薄層板的色譜性能最佳,同時,這種在最佳化條件下塗制的薄層板具有適當的層強度,適用於各種加樣技術,方便於操作。CMC對大多數纖維均有粘著性,能改善纖維間的結合,其粘度的穩定性能確保上漿的均勻性,從而提高織造的效率。還可用於紡織品的整理劑,特別是永久性的抗皺整理,給織物帶來耐久性的變化。
CMC可用作塗料的防沉劑、乳化劑、分散劑、流平劑、粘合劑,能使塗料的固體份均勻地分布於溶劑中,使塗料長期不分層,還大量套用於油漆中。
CMC用作絮凝劑在除去鈣離子方面比葡萄糖酸鈉更有效,用作陽離子交換時,其交換容量可達1.6 ml/g 。
CMC在造紙行業用作紙張施膠劑,可明顯提高紙張的乾強度和濕強度及耐油性、吸墨性和抗水性。
CMC在化妝品中作為水溶膠,在牙膏中用作增稠劑,其用量在5%左右。
CMC可作為絮凝劑、螯合劑、乳化劑、增稠劑、保水劑、上漿劑、成膜材料等,還廣泛套用於電子、農藥、皮革、塑膠、印刷、陶瓷、牙膏、日用化工等領域,而且由於其優異的性能和廣泛的用途,還在不斷地開拓新的套用領域,市場前景極為廣闊。
注意事項(1)本品與強酸、強鹼、重金屬離子(如鋁、鋅、汞、銀、鐵等)配伍均屬禁忌。
(2)本品允許攝入量為0~25mg/kg·d 。
使用方法
羧甲基纖維素鈉將CMC直接與水混合,配製成糊狀膠液後,備用。在配置CMC糊膠時,先在帶有攪拌裝置的配料缸內加入一定量的乾淨的水,在開啟攪拌裝置的情況下,將CMC緩慢均勻地撒到配料缸內,不停攪拌,使CMC和水完全融合、CMC能夠充分溶化。在溶化CMC時,之所以要均勻撒放、並不斷攪拌,目的是“為了防止CMC與水相遇時,發生結團、結塊、降低CMC溶解量的問題”,並提高CMC的溶解速度。攪拌的時間和CMC完全溶化的時間並不一致,是兩個概念,一般來說,攪拌的時間要比CMC完全溶化所需的時間短得多,二者所需的時間視具體情況而定。
確定攪拌時間的依據是:當CMC在水中均勻分散、沒有明顯的大的團塊狀物體存在時,便可以停止攪拌,讓CMC和水在靜置的狀態下相互滲透、相互融合。
確定CMC完全溶化所需時間的依據有這樣幾方面:
(1)CMC和水完全粘合、二者之間不存在固-液分離現象;
(2)混合糊膠呈均勻一致的狀態,表面平整光滑;
(3)混合糊膠色澤接近無色透明,糊膠中沒有顆粒狀物體。從CMC被投入到配料缸中與水混合開始,到CMC完全溶解,所需的時間在10~20小時之間。
國標標準
GB/T 12028-2006洗滌劑用羧甲基纖維素鈉 684KB
GB 1904-2005 食品添加劑 羧甲基纖維素鈉 342KB
SY 5093-92 鑽井液用羧甲基纖維素鈉鹽 (CMC) 835KB
GB 1904-2005 食品添加劑 羧甲基纖維素鈉 1579KB
GB 1904-1989食品添加劑羧甲基纖維素鈉 213KB
QB/T 2318-2007 牙膏用羧甲基纖維素鈉 625KB
危險性概述
毒性類別:有毒物品
毒性分級:低毒
可燃性:可燃,火場排出含氧化鈉辛辣刺激煙霧
滅火劑:水、二氧化碳、乾粉、砂土
製備
海藻酸鈉/羧甲基纖維素鈉共混纖維的製備海藻酸鈉和羧甲基纖維素鈉都是天然高分子材料,具有來源廣泛、生物可降解、相容性好等優點。以海藻酸鈉和羧甲基纖維素鈉為原料製備纖維,不僅拓寬了纖維原料的來源,而且由此獲得的纖維生物可降解,避免了給環境帶來的危害,是一種綠色環保纖維,符合現代社會的發展潮流。本論文主要研究以海藻酸鈉和羧甲基纖維素鈉兩種高分子材料為紡絲原料,採用濕法紡絲工藝製備出海藻酸鈉/羧甲基纖維素鈉共混纖維,並研究其結構與性能。
本文測試了海藻酸鈉和羧甲基纖維素鈉原料的理化性能以及兩種高分子材料的相容性;研究了紡絲原液的流變性能;探討了紡絲工藝條件對纖維強度和吸濕性的影響,獲得了製備海藻酸鈉/羧甲基纖維素鈉共混纖維的工藝條件;並測試了海藻酸鈉/羧甲基纖維素鈉共混纖維的微觀形貌、結晶指數以及燃燒性能等,取得了如下主要結果:
1.羧甲基纖維素鈉含量在5~15%範圍內時,羧甲基纖維素鈉與海藻酸鈉是相容的,超出這個範圍則是不相容的。所以製備紡絲液時,羧甲基纖維素鈉的含量不能超過20%。
2.溶液濃度在3.6%附近時,海藻酸鈉和羧甲基纖維素鈉溶液的粘度相近。當溶液濃度低於3.6%時,海藻酸溶液的粘度比相同濃度下的羧甲基纖維素鈉溶液的粘度大;而溶液濃度高於3.6%時,則相反。
3.海藻酸鈉/羧甲基纖維素鈉溶液為“切力變稀”型流體,隨著剪下速率和溫度的升高,共混溶液的表觀粘度下降。
4.在本試驗條件下,海藻酸鈉/羧甲基纖維素鈉共混纖維的最佳製備工藝條件為:羧甲基纖維素鈉含量10%;凝固浴中氯化鈣濃度3.5%;凝固浴溫度40℃。纖維的強度為3.82cN/dtex,對蒸餾水的吸液量為1.82g/g。
5.海藻酸鈉/羧甲基纖維素共混纖維的斷裂機理、微觀形貌和粘膠纖維相似,但結晶度比粘膠纖維差,阻燃性比纖維素纖維優異。
研究
馬鈴薯澱粉渣製備研究羧甲基纖維素鈉和羧甲基澱粉鈉是天然纖維素、澱粉分別經過化學改性得到的具有醚結構的衍生物。它們廣泛套用於洗滌用品、化妝品、石油鑽井、紡織漿料、建材、造紙、鑄造、食品、皮革、製藥等眾多領域。馬鈴薯澱粉渣是馬鈴薯生產澱粉過程中產生的廢渣,平均每生產1噸澱粉就會產生5噸左右的濕廢渣。
馬鈴薯澱粉渣的主要成分是水、澱粉、纖維素、果膠、木質素、半纖維素等,若能夠有效利用其中的有用成分,不僅能將馬鈴薯澱粉渣資源化利用,還能解決馬鈴薯澱粉渣對環境的污染問題。本文提出了以馬鈴薯澱粉渣為原料製備羧甲基纖維素鈉、羧甲基纖維素鈉和羧甲基澱粉鈉混合物的方案,具體的研究內容如下:馬鈴薯澱粉渣通過不同的精製方法分別得到纖維素含量較高的精製原料和以澱粉和纖維素為主要成分的精製原料;得到的精製原料再經過鹼化、醚化、中和、洗滌、乾燥等工藝即可製備得到羧甲基纖維素鈉產品及羧甲基纖維素鈉和羧甲基澱粉鈉混合物產品。通過實驗確定馬鈴薯澱粉渣的精製條件和鹼化、醚化過程中的各種影響因素(如原料配比、反應溫度、反應時間、溶劑等)對實驗結果的影響,得到馬鈴薯澱粉渣製備羧甲基纖維素鈉、羧甲基纖維素鈉和羧甲基澱粉鈉混合物的最佳的實驗條件。
羧甲基纖維素鈉產品的各種性能指標如下:粘度在5700mPa·s左右(1%的水溶液),pH值在7.0-7.5之間,取代度維持在0.57左右,乾燥減重維持在6.5%左右,氯化物含量在0.13%左右,砷含量在0.000045%左右,鉛含量為0.001%,重金屬含量合格。所有指標均符合《食品添加劑羧甲基纖維素鈉》GB1904-2005標準的要求。羧甲基纖維素鈉和羧甲基澱粉鈉混合物產品的各種性能指標如下:粘度在3700mPa·s左右(2%的水溶液),pH值在7.0-7.5之間,取代度維持在0.50左右,乾燥減重維持在8.0%左右,氯化物含量在0.15%左右,砷含量在0.000015%左右,鉛含量為0.001%,重金屬含量合格。所有指標均達到了一定要求,可在一定領域內代替羧甲基纖維素鈉或羧甲基澱粉鈉。
食品添加劑
藥用輔料
| 藥用輔料是指在製劑處方設計時,為解決製劑的成型性、有效性、穩定性、安全性加入處方中除主藥以外的一切藥用物料的統稱。藥用輔料是藥物製劑的基礎材料和重要組成部分,是保證藥物製劑生產和發展的物質基礎,在製劑劑型和生產中起著關鍵的作用。 |
盤點食品包裝袋背後的秘密
| 走進商店隨便拿起一件食品背後總是林林總總地羅列了很多化學成分,這些化學成分都是做什麼的呢? |

