物化性質
羧甲基澱粉鈉質量標準:符合Q/X R004 / 1999規定 ;
指標:食 用 級 工 業 級 ;
外觀:白色或微黃色粉末。
主要用途
一、食品級羧甲基澱粉鈉
羧甲基澱粉鈉(CMS)是一種用羧甲基醚化的變性澱粉,它無味、無毒、不易霉變、易溶於水。套用於不同的食品中表現出增稠、懸浮、乳化、穩定、保形、成膜、膨化、保鮮、耐酸和保健等多種功能,性能優於羧甲基纖維素(CMC)是取代CMC的最佳產品。食品級羧甲基澱粉鈉廣泛套用於牛奶、飲料、冷凍食品、快餐食品、糕點、糖漿等產品。此外,CMS在生理學上是惰性的,沒有熱值,因此用來製造低熱值的食品也可以獲得理想的效果。
二、醫藥級羧甲基澱粉鈉
羧甲基澱粉鈉(CMS)在醫藥方面的套用相當廣泛。就藥物製劑而言,CMS可取代明膠,作為製作膠囊、片劑、糖衣的原材料。具有較強的吸水性和膨脹性,在冷水中能較快泡漲,且吸水後顆粒膨脹而不溶解,不形成膠體溶液,不阻礙水分的繼續滲入而影響藥片的進一步崩解,故可用作不溶性藥物及可溶性藥物片劑藥物片劑的高效崩解劑、賦形劑。
三、造紙級羧甲基澱粉鈉
羧甲基澱粉鈉 (CMS)是一種用羧甲基醚化的變性澱粉,性能優於羧甲基纖維素(CMC),為取代CMC的最佳產品。CMS在造紙中的套用相當廣泛。在填料中加入作為穩定劑,起增稠粘結作用,使紙張光澤鮮艷,改善紙張的印刷性能,增強紙張的韌性和耐磨性。用作漿內添加劑,提高助留助濾效果。也用於紙張的表面施膠,可明顯提高紙張的乾強度和濕強度、耐油性、吸墨性和抗水性。在塗布粘合中使用可以提高紙張的生產和使用性能。
四、建築工業級羧甲級澱粉鈉
羧甲基澱粉鈉(CMS)是一種用羧甲基醚化的變性澱粉,性能優於羧甲基纖維素(CMC),是取代CMC的最佳產品。其溶液具有良好的增稠、穩定、保水、成膜、懸浮的效果。使用方便,安全環保。在建材行業得到了廣泛套用。在膩子粉、乳膠漆中作增稠保水劑;在塗料中作懸浮劑、穩定劑、成膜劑,具有乳化、增稠、防沉積等作用。製成水泥膠粉套用於水泥抹灰砂漿、水泥保溫抗裂砂漿、瓷磚粘結劑、外牆防水膩子,以及其它與水泥有關的產品中。
五、陶瓷工業級羧甲基澱粉鈉
羧甲基澱粉鈉(CMS)是一種用羧甲基醚化的變性澱粉, 性能優於羧甲基纖維素(CMC),為取代CMC的最佳產品。CMS在陶瓷工業中作為坯料的賦形劑、可塑劑、增強劑。可增加坯料粘結力,使坯體易於成型,抗折強度成倍提高,有效降低坯體的破損率;還可使坯料中水分均勻蒸發,防止乾燥開裂。添加到釉漿中作為穩定劑和粘結劑,可增強坯釉結合,使釉體處於分散狀態,提高釉料的表面張力,增加釉面的平滑度,減少烘結後的針孔現象。
六、日化工業級羧甲基澱粉鈉
羧甲基澱粉鈉(CMS)是一種 用羧甲基醚化的變性澱粉,性能優於羧甲基纖維素(CMC),為取代CMC的最佳產品。CMS具有螯合、離子交換、多聚陽離子絮凝等功能,可用作洗滌用品配方中的穩定劑、纖維整理劑及攜污劑等。其除垢效果明顯優於CMC,其污穢擴散能力優異,尤其是對疏水性的合成纖維織物的抗污垢再沉澱效果優異。在化妝品工業中,CMS作為固水或吸水保水的膠料,用於抗粉刺藥物製劑的製造及皮膚清潔劑的製造。在牙膏中,CMS能形成三維聚合網狀結構,可以保證膏體在管中的存儲穩定性,延長貨架期;提高膏體均勻性和表面光潔度;降低膏體輸送動力。CMS易被生物降解,安全環保。
七、石油工業級羧甲基澱粉鈉
羧甲基澱粉鈉(CMS) 是一種用羧甲基醚化的變性澱粉,性能優於羧甲基纖維素 (CMC),為取代CMC的最佳產品。 CMS的水溶液穩定且性能優良,具有粘結、增稠、保水、乳化、懸浮、分散等功能。 CMS在油井作業過程中作為泥漿穩定劑、保水劑,起到降低失水量,提高鑽井液中粘土顆粒的聚結穩定性的作用。CMS對泥漿的塑性粘度影響小,對動力、切力影響大,有利於攜帶鑽屑,尤其在鑽鹽膏層時,可使鑽井液穩定,降低流失量,防止井壁崩塌。特別適用於礦化度高,PH值高的鹽鹼井。
八、印染工業級羧甲基澱粉鈉
羧甲基澱粉鈉(CMS)是一種用羧甲基醚化的變性澱粉 ,性能優於羧甲基纖維素 (CMC),為取代CMC的最佳產品。CMS的水溶液穩定且性能優良,具有粘結、增稠、保水、乳化、懸浮、分散等功能。CMS的原料為澱粉,來源廣,價格低。印染用CMS作為染料、印染助劑的載體糊料,具有相容性和穩定性好的優點。用CMS配製的染色漿料的滲透性也很好,尤其是需要深且透的織物的拷花,可迅速的按版型來印刷圖案,並可顯著提高印花的鮮艷度。另外CMS冷水即可溶解,使用方便。
輔料套用
在藥物製劑中除主藥以外的附加物,也可稱為輔料。如片劑中的黏合劑、填充劑、崩解劑、潤滑劑;中藥丸劑中的酒、醋、藥汁等;半固體製劑軟膏劑、霜劑中的基質部分;液體製劑中的防腐劑、抗氧劑、矯味劑、芳香劑、助溶劑、乳化劑、增溶劑、滲透壓調節劑、著色劑等均可稱為賦形劑。
對賦形劑的一般要求是性質穩定,與主藥無配伍禁忌,不產生副作用,不影響療效,在常溫下不易變形、乾裂、霉變、蟲蛀、對人體無害、無生理作用,不與主藥產生化學或物理作用,不影響主藥的含量測定等。
作用延展
一種不發生化學反應的藥用混合物(如糖漿、豬油或液態凡士林),其中加入一種具有療效的藥物或者通過它使其他成分膠合在一起。
構成藥物或抗原的輔料的無活性物質(如阿拉伯膠、糖漿、羊毛脂或澱粉);尤指在藥物混合物中有足夠量液體情況下,為使混合物有粘性,以便製備丸劑或片劑而加入的物質。
英文中excipient與vehicle是有區別的,excipient可理解為輔料,vehicle多指傳播媒介,如溶劑等。
典型產品增稠劑
作為新一代日化產品增稠劑。該產品無毒、無味,呈白色粉末狀,其溶液黏度穩定、稠而不粘不返稀,並能耐酸、耐鹼、耐鹽。在洗滌劑中作增稠劑起增稠、懸浮和穩定的作用,具有黏度高、速溶、助洗、無色、透明度高的特點。可完全替代6501、638、CMC和PAES等傳統增稠劑,大大降低了生產成本。
測量方法
(-)灰化法:
⒈原理
經純化後的羧甲基澱粉在(700土25)℃灼燒灰化後得到殘渣氧化鈉,然後用酸鹼滴定氧化鈉含量,並按氧化鈉含量計算取代度。
⒉儀器與試劑
⑴高溫爐(0~1000℃),滴定管(50ml),燒杯(300ml),3#玻璃砂芯坩堝(30ml),抽濾瓶(1000ml),抽氣泵。
⑵0.lmol/L NaOH標準溶液,0.lmol/L HCl標準溶液,0.l%甲基紅。
⒊操作步驟
稱取 1.2g左右樣品置於300ml燒杯中,加入 20ml 0.5mol/L HCl溶液酸化,充分攪拌 15min至沒有顆粒,加數滴酚酞指示劑,再用 0.5mol/L NaOH溶液中和至紅色,繼續攪拌至試樣溶解,再滴人 3滴0.5mol/L NaOH溶液。邊攪拌邊滴加 95%乙醇溶液,當試液中出現白色沉澱後,迅速加入約 200ml 95%乙醇溶液,便析出沉澱。停止攪拌,在水浴上加熱,使沉澱清晰粗大。
將沉澱移入3#玻璃砂芯坩堝中,過濾,先用80%乙醇洗滌數次(約100ml),然後用95%乙醇洗3次(約60ml),吸乾,移入烘箱內,在105℃烘至質量恆定(約3h),冷卻稱量。
將稱量後的乾純CMS倒入乾燥的30ml瓷坩堝中,在高溫爐內,徐徐升溫至700℃,保持30min,取出冷至室溫。
用少量蒸餾水潤濕灼燒物,再用 100ml蒸餾水分數次洗,並移至250ml燒杯中,在電爐上緩緩加熱至沸,保持5min。加甲基紅指示劑 2~3滴,用 0.lmol/L HCl標準溶液滴定至終點。
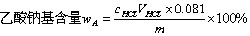
⒋結果計算
羧甲基澱粉鈉式中 HCl——滴定時消耗的 HCl標準溶液體積(ml)
CHCl—— HCl標準溶液的濃度(mol/L)
m——樣品質量(g)
DS——羧甲基取代度(%)
(二)酸洗法:
⒈原理
羧甲基澱粉試樣用酸溶液充分洗滌,使其全部轉化成酸式CMS(HCMS),然後加入已知過量的NaOH標準溶液,使HCMS與NaOH發生中和反應,再用標準HCl溶液返滴剩餘的NaOH,從而測得CMS的取代度。或者不是加過量NaOH標準溶液後進行滴定,而是直接用標準Na0H溶液滴定。
⒉儀器與試劑
⑴電磁攪拌器,滴定管(50ml),燒杯(50ml)。
⑵2mol/L HCl溶液(用 70%甲醇群溶液配製),0.1mol/L NaOH標準溶液, 0.1mol/L HCl標準溶液,0.1%酚酞指示劑。
⒊操作步驟
準確稱取0.5g樣品,置於50ml 小燒杯中,加入2ml/L HCl溶液40ml,用電磁攪拌器攪拌3h。過濾,再用80%甲醇溶液洗滌酸化後的樣品,至洗滌液中不含氯離子。用 0.lmol/L NaOH標準溶液40ml溶解,在微熱條件下,使溶液呈透明狀,立即用0.1 mol/L標準HCl溶液反滴至酚醞指示劑的紅色剛退去。或者用甲醇洗至無氯離子後,將濾餅定量地轉移至一乾燒杯中,用100ml水分散,在沸水浴中加熱 15min,冷卻,用0.lmol/L NaOH標準溶液滴定至酚酞指示劑變粉紅色為止。
⒋結果計算
取代度:DS=0.126B/(1-0.058B)式中,B為每克樣品消耗NaOH的mmol量,B=(CNaOH*VNaOH-CHCl*VHCl)/WCMS
(三)絡合滴定法:
⒈原理
羧甲基澱粉上的羧基可以定量與銅離子發生沉澱反應。先向樣品中加入已知過量的銅標準溶液,使沉澱完全後,過濾,在pH7.5~8時,用EDTA標準溶液滴定過量的銅,即可推導出羧甲基的取代度。
⒉儀器與試劑
容量瓶(250ml),移液管(100ml),滴定管(50ml),抽濾裝置1套。
0.0l mol/L CuSO4溶液,0.05mol/L EDTA標準溶液,NH4Cl緩衝溶液(pH=5.2,10gNH4Cl溶於 1L水中),紫脲酸銨指示劑(0.1g紫脲酸銨與10gNaCl一起研勻)。
⒊操作步驟
準確稱取約0.5g樣品於100ml燒杯中,加入1ml乙醇濕潤樣品後,加50ml水,20mlNH4Cl緩衝溶液,再用0.1mol/LHCl或0.1mol/L NaOH將溶液pH調至7.5~8.0。轉移至 250ml容量瓶中,加入50mlCuSO4溶液,搖勻,放置15min。稀釋至刻度,搖勻,過濾,取濾液 100ml,用紫脲酸銨作指示劑,用EDTA標準溶液滴定至終點。相同條件下測硫酸銅溶液空白。
⒋結果計算
B(-CH2COONa) = [ c*(CuSO4 –V濾液)*81 ]/WCMS
DS=2B/(100-B)
(四)沉澱法:
⒈原理
羧甲基澱粉與硝酸鈾醯試劑定量反應生成沉澱(UCMS):
沉澱灼燒後生成U3O8,根據U3O8的質量可以推導出羧甲基澱粉的取代度。
⒉儀器與試劑
(l)磁坩堝(帶蓋),高溫馬福爐,烘箱,玻璃砂芯坩堝。
⑵4%硝酸鈾醯:溶解40gUO2(NO3)2?6H2O於800ml蒸餾水後,稀釋至1L;95%乙醇或無水甲醇。
⒊操作步驟
準確稱取試樣0.25~0.50g,置於60ml燒杯中,用乙醇濕潤樣品,在 50~70℃水浴上不斷攪拌下,將樣品分散在 100ml蒸餾水中,溶解完全後,加300ml蒸餾水,升溫至50~70℃,用滴管加入硝酸鈾醯溶液約25ml。加畢,撤去水浴,繼續攪拌5~10min。停止攪拌,使沉澱析出。通過玻璃砂芯坩堝傾潷濾去清液,每次用 200m1水洗滌燒杯中的沉澱,共洗 3次,再用 100ml乙醇洗兩次。用乙醇將沉澱全部轉移至坩堝中,真空過濾,儘可能除去沉澱中的液體。在130℃烘箱中烘至質量恆定(約1h),稱沉澱的質量(為UCMS的質量)。
將沉澱儘可能地轉移至帶蓋的磁坩堝中,重新稱量。在750~800℃馬福爐中灼燒至暗綠色U3O8,一般需20~30min。冷卻、稱量U3O8的質量。
⒋結果計算
(UCMS中UO2的含量,g/g)
式中 0.9 61—— U3O8與UO2換算係數
135——1/2UO3摩爾質量(g/mol)
192——1mol澱粉增加的質量[也即(162+135+57)-162]
m U3O8-—灼燒後U3O8的質量(g)
m UCMS——沉澱在 130℃烘乾轉移至磁坩堝中重新稱量的質量(g)
(五)分光光度法:
⒈原理
CMS和羥基乙酸在 100℃的濃硫酸溶液中都可定量地釋放甲醛,甲醛與特定試劑生成咕噸鎓染料,其溶液的吸光度服從朗伯一比耳定律,適用於任何取代度的CMS。其取代度按下式計算:
式中m——與1g CMS樣品相當的羥基乙酸量(g)
76——羥基乙酸摩爾質量(g/mol)
57——CH2COOH摩爾質量(g/mol)
⒉6-氨基-1-萘酚-3-磺酸法(J酸法)
⒉儀器與試劑
分光光度計,25ml具塞比色管,恆溫水浴鍋。
0.25mol/L NaOH溶液。1%J酸溶液:將 1gJ酸置於 100ml容量瓶中,用 10ml蒸餾水分散後,置冷水浴中用濃硫酸定容。
羥基乙酸溶液:1g羥基乙酸溶於 100ml蒸餾水中作為貯備液,用NaOH溶液中和。再由它配製成一系列含15~100μg/ml的羥基乙酸標準溶液。30%醋酸銨溶液。
⒊操作步驟
確稱取CMS試樣0.1g,用0.25mol/L NaOH溶液溶解,轉移至 250ml容量瓶中定容。分別移取 15~100μg/ml羥基乙酸標準溶液於25ml具塞比色管中,各加入1%J酸0.5ml及濃H2SO45ml,充分振搖後於沸水浴上加熱1h,此時溶液呈棕黃色。將比色管冷至室溫,滴加30%NH4Ac溶液,使各比色管內溶液至刻度,溶液變成藍色,用分光光度計於620nm處以試劑為空白測定吸光度。
取1ml樣品溶液按標準溶液的測定操作測出吸光度,從標準曲線上求出羥基乙酸含量,進而計算出CMS的取代度。
⒋鉻變酸法(1,δ-二羥萘-3,6-二磺酸法)
儀器同上,0.1%鉻變酸溶液。測定步驟基本同J酸法,僅將顯色劑改用0.1%鉻變酸,濃H2SO4改為1ml,水浴加熱時間縮短為0.5h。顯色後溶液為紫色,在570nm處測吸光度。此法形成的有色絡合物較J酸穩定。
(六)電導法:
⒈原理
樣品溶解後,加入已知的過量標準NaOH溶液,NaOH與樣品中游離羧基反應生成羧酸鈉,然後用標準HCl溶液進行電導滴定,可得滴定曲線,如圖4-5-5所示。1為滴定過量NaOH所消耗的HCl溶液體積,由 1可得出遊離羧基含量。繼續滴定,此時羧酸鈉又反應生成羧酸,共用HCl溶液體積為 2。
⒉結果計算
式中 ——每克樣品中游離羧基含量(%)
每克樣品中結合的羧基量為:
羧甲基澱粉鈉(CMS)使用方法
使用前請少量水使羧甲基澱粉鈉CMS浸潤,然後加水配置成您所需要的濃度;攪拌適當加溫都可以加速羧甲基澱粉鈉CMS的溶解;在使用過程中請不要用易生鏽的容器,且勿與有機酸、無機酸及重金屬離子接觸或並用。同時避免與高溫接觸,粘度會因溫度的升高而降低。
儲存與運輸
本產品儲存保管時應注意防潮、防火、防高溫,要求存放在通風、乾燥處。
運輸時防雨,裝卸嚴禁使用鐵鉤。本產品長期儲存加之堆壓,拆包時可能發生結塊,會引起使用不便但不會影響質量。
本產品儲存時嚴禁與水接觸,否則將發生膠凝或部分溶解而造成不能使用。
盤點食品包裝袋背後的秘密
| 走進商店隨便拿起一件食品背後總是林林總總地羅列了很多化學成分,這些化學成分都是做什麼的呢? |

