簡介
中文名稱:海藻酸鈉
中文別名:褐藻膠;褐藻酸鈉;藻膠鈉;藻朊鈉;藻酸鈉;海藻酸鈉膠;藻酸鈉鹽;藻朊鈉;藻朊酸鈉;海帶膠;海藻酸鈉,低粘度;海藻酸鈉,極低粘度
英文名稱:Sodiumalginate(常用簡寫SA或NaAlg)
英文別名:ALGIN;ALGINATESODIUMSALT;Alginicacidmonosodiumsalt;ALGINICACIDSODIUMSALT;ALGINICSODIUM;FEMA2015;POLYMANNURONICACIDSODIUMSALT;SODIUMALGINATE;SODIUMALGINATE300-400;SODIUMALGINATE500-600;SODIUMALGINATE80-120;algiline;algin(polysaccharide);alginatekmf;algiponl-1168;amnucol;antimigrantc45;cecalginetbv;cohasal-ih;daridqh
分子式(CHNaO)x
用途食品工業,其它工業,製藥業和牙科
CAS號9005-38-3
沸點:495.2°Cat760mmHg
蒸氣壓:6.95E-12mmHgat25°C
溶解性:微溶於水
海藻酸鈉海藻酸(Alginate)是存在於褐藻類中的天然高分子,是從褐藻或細菌中提取出的天然多糖,類似於細胞外基質中的糖胺聚糖GAGs,無亞急性/慢性毒性或致癌性反應,可作為食用的食品添加劑,也可作為支架材料用於醫學用途,具備良好的生物相容性。海藻酸是由古洛糖醛酸(記為G段)與其立體異構體甘露糖醛酸(記為M段)兩種結構單元構成的,這兩種結構單元以三種方式(MM段、GG段和MG段)通過α-1,4糖苷鍵連結,從而形成一種無支鏈的線性嵌段共聚物。海藻酸很容易與一些二價陽離子結合,形成凝膠。而且,
其溫和的溶膠凝膠過程、良好的生物相容性使海藻酸適於作為釋放或包埋藥物、蛋白與細胞的微膠囊。當其6位上的羧基與鈉離子結合,就構成了海藻酸鈉鹽(SodiumAlginate)。海藻酸鈉的分類方法較多。從結構上分,可分為高G/M比、中G/M比、低G/M比三種。從黏度上分,可分為低黏度、中黏度和高黏度海藻酸鈉。從純度上分,可分為工業用,食用以及醫用三個級別。不同品質的海藻酸鈉對於膠珠結構的影響是很大的。一般認為,高G/M比,中低黏度的海藻酸鈉適於用來製備膠珠。而且,當膠珠套用於對於生物工程領域時,應選擇醫用級別的海藻酸鈉。
用途
用途一:用作紡織品的上漿劑和印花漿,同時作為增稠劑、穩定劑、乳化劑大量套用於食品工業中
用途二:作乳化穩定劑和增稠劑,我國規定可用於各類食品,按生產需要適量使用。
用途三:穩定劑;增稠劑;乳化劑;分散劑;膠凝劑;被膜劑;懸浮劑。
日本用於冰淇淋和冷點改善保形性及使組織細膩,其用量為0.1%~0.4%。製造餡心類時賦予粘結性,其用量為0.1%~0.7%。因其為親水性高分子,具有強的水合性,使吸附於穩定劑的水分,難以生成冰結晶。
美國用於餡餅的餡心、肉類沙司、肉汁、冷凍食品、朱古力、奶油成味硬糖、冷點凝膠、凝膠軟糖、糖漿類、乳化液等,其用量為0.1%~0.5%。
在啤酒生產中作為銅的固化去除劑,同時與蛋白質、單寧一起凝聚後除去。
可製成薄膜,用於糖果防粘包裝。
用途四:用於增加血容量和維持血壓,排除燒傷所產生的組胺類毒素以及創傷失血、手術前後循環系統的穩定、大量出血性休克、燒傷性休克、高燒和急性痢疾等全身脫水,治療效果良好。還具有使膽固醇排出體外,抑制Pb、Cd、Sr被人體吸收以及保護胃腸道、整腸、減肥、降血糖的作用。在藥劑上主要用作助懸劑、乳化劑、黏稠劑、微囊的囊材等。
用途五:藻酸鈉是一種高粘性的高分子化合物。它與澱粉、纖維素等的不同之處,是它具有羧基,是β-D-甘露糖醛酸的醛基以苷鍵形成的高聚糖醛酸。其功能性質如下:
(1)親水性強,在冷水和溫水中都能溶解,形成非常粘稠的均勻的溶液。
(2)形成的真溶液具有其他類似物難於獲得的柔軟性、均一性及其他優良特性。
(3)具有很強的保護膠體的作用,對油脂的乳化力強。
(4)在溶液中加入鋁、鋇、鈣、銅、鐵、鉛、鋅、鎳等金屬鹽,就會生成不溶性的藻酸鹽。這些金屬鹽是鈉、鉀的磷酸鹽、乙酸鹽等的緩衝劑,可以抑制、延遲凝固。
(5)通常pH值為7,呈中性,可在4-10之間調整。
(6)是線狀高分子電解質,可製成強韌的纖維(藻朊酸纖維)或薄膜,具有防止龜裂作用。
(7)粘著性小,適用於經紗漿料、脫模等。藻酸鈉在歐美、日本諸國已列為不受限制使用的安全的食品添加劑,它作為海藻膠的一種,以其固有理化性質,能夠改善食品的性質和結構,它低熱無毒,易膨化、柔韌度高,添加到食品中其功能為凝固、增稠、乳化、懸浮、穩定和防止食品乾燥。而最主要的作用是凝膠化,即形成可以食用的凝膠體,近於固體,以保持成型的形狀。因而,它是一種優良的食品添加劑。不僅可以增加食品的營養成分,提高產品質量,增加花色品種,也可以降低成本,提高企業的經濟效益。
(1)麵食品:在生產掛麵、魚面、快餐面及筒子面中加入0.2%-0.5%的藻酸鈉,可以明顯地增加粘性,防變脆,有效地減少斷頭率,耐煮、耐泡、不粘條、筋力強、韌度高,口感細膩、潤滑、有嚼頭。在生產麵包等麵食、糕點時,加入0.1%-1%的藻酸鈉,可以突出地防止老化和乾燥,減少落屑,吃起來有筋力,口感好。
(2)冰琪淋、冰棒、雪糕:生產冰琪淋、冰棒、雪糕時一般加入0.1%-0.5%的藻酸鈉作為穩定劑,配成的混合料均勻,易於調節混合料凍結時的流度,易於攪拌。製成的產品保形好、平滑細膩、口感好,在貯存過程中不形成冰晶,還能穩定其中的空氣泡,產品的膨脹率提高18%左右。增加產量15%-17%,同時使產品鬆軟、富有彈性。
(3)牛奶製品及飲料:藻酸鈉可以作為冰凍牛奶、冰凍果汁及其他飲料的穩定劑。在冰凍牛奶中加適量藻酸鈉可明顯增加口感,無粘感及僵硬感。尤其是優酪乳中加入0.25%-2%的藻酸鈉,可以保持和改善其凝乳形狀,防止在高溫消毒過程中產生粘度下降的現象,同時還可以延長存放期,使其特殊風味不變。還可以用於人造奶油增稠和乳化劑。除此之外,添加到飲料中,與糖精及輔料製成爽口的果味糖漿,具有平滑均勻的口感,穩定不分層。
(4)廣泛用於糖果,冷凍甜食及食品芯、餡的製作。用藻酸鈉作為主要添加劑,可以生產出上等的軟糖,鮮果凍、葡萄珠、蓮子羹、銀耳羹、赤豆羹等。還可以與其他輔料按一定比例配製,冷凍後,即可得到質地平滑結實的布丁。另外,用藻酸鈉和澱粉的添加劑,可以製成能夠代替俗稱“糯米紙”的糖果,糕點的內襯包裝薄膜,用以防止糖果的烊化和糕點的隔油,效果極佳。不僅可以提高薄膜的強度和柔韌度,有利於機械化生產,而且可以節約糧食,降低成本。把藻酸鈉添加到食品的芯、餡中,明顯地表現出凝膠性能好,粘結力強。例如:餡餅、月餅、夾芯餅、果碎甜食以及包子餡等,吃起來質地均勻,口感好。
(5)保健食品:藻酸鈉是人體不可缺少的一種飲食纖維,具有獨特營養,可結合有機物,降低血清和肝臟中的膽固醇,抑制總脂肪和總脂肪酸濃度上升,還可以改善營養物質的消化與吸收,同時還有抑制放射性鍶、鎘等有害元素在體內的吸收。因為藻酸鈉為羧酸鈉鹽(含-COONa)能溶於水,而具有陰荷性的羧酸根離子(COO-)能與人體內有害的鉛、汞等重金屬元素結合,生成藻酸的重金屬鹽沉澱。它不溶於水,所以可以隨糞便排出體外。以藻酸鈉配製的降糖樂、甜果凍、果汁蜜粉、桔子汁等,長期食用將有助於治療高血壓、冠心病、肥胖症、糖尿病以及腸道系統的疾病。保健食品一般是將藻酸鈉以輔料加水溶解,混和均勻,再固化成顆料狀、條狀、纖紙狀,可製成固體飲料或仿肉食品。藻酸鈉作為食品添加劑,在日本約占總量的10%。
在其他方面的用途還有:
醫藥品:牙科咬齒印材料、止血劑、塗布藥、親水性軟膏基質、避孕藥等。
化妝品:牙膏基料、洗髮劑、整發劑等。
印染工業:媒染劑、整理漿料、印花漿料。紡織工業:經紗漿料、防水加工、製造花邊用水溶纖維。
造紙工業:施膠。
礦業:選礦用浮選取劑、鑽探泥漿調整劑、陶瓷器粘合劑。
橡膠工業:膠乳濃縮劑。
塗料工業:水性塗料,耐水性塗料。
用途六:穩定劑、增稠劑、作人造半透膜、媒染劑。生化級用於固定細胞、酶;如海藻酸鈉法固定化谷氨酸脫羧酶。
生產工藝
海藻酸鈉的工藝流程如下: 乾的或濕的海草(藻)經碾碎、水洗除雜、強鹼水萃取、澄清得粗海藻酸鹽溶液,經氯化鈣沉澱得帶色的海藻酸鈣,經脫色、脫味後用酸處理,除去可溶性雜質得海藻酸沉澱,與碳酸鈉作用得海藻酸鈉,再經乾燥、粉碎、過篩得海藻酸鈉粉末。
化學性質
構成
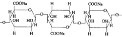
海藻酸鈉(CHONa)主要由海藻酸的鈉鹽組成,由α-L-甘露糖醛酸(M單元)與β-D-古洛糖醛酸(G單元)依靠β-1,4-糖苷鍵連線並由不同比例的GM、MM和GG片段組成的共聚物。
分子量
海藻酸鈉分子式商品用海藻酸鈉的分子量通常象多糖一樣,比較分散。因此,一種海藻酸鈉的分子量通常代表該組所有分子的平均值。最常見的表達分子量的方式是數均分子量(Mn)和重均分子量(Mw)。
在多分散性分子群中,通常Mw>Mn。Mw/Mn的係數為分散性指數,海藻酸鈉商品的指數經典範圍為1.5~2.5。最常用的決定分子量的方法為建立在內在粘性和光散射測定基礎上計算而出的。
分子式
分子式為 (CHNaO)x,分子結構如右圖
pH值
海藻酸鈉微溶於水,不溶於大部分有機溶劑。它溶於鹼性溶液,使溶液具有粘性。海藻酸鈉粉末遇水變濕,微粒的水合作用使其表面具有粘性。然後微粒迅速粘合在一起形成團塊,團塊很緩慢的完全水化並溶解。如果水中含有其它與海藻酸鹽競爭水合的化合物,則海藻酸鈉更難溶解於水中。水中的糖、澱粉或蛋白質會降低海藻酸鈉的水合速率,混合時間有必要延長。單價陽離子的鹽(如NaCl)在濃度高於0.5%時也會有類似的作用。海藻酸鈉在1%的蒸餾水溶液中的pH值約為7.2。
穩定性
海藻酸鈉具有吸濕性,平衡時所含水分的多少取決於相對濕度。乾燥的海藻酸鈉在密封良好的容器內於25℃及以下溫度儲存相當穩定。海藻酸鈉溶液在pH5~9時穩定。聚合度(DP)和分子量與海藻酸鈉溶液的粘性直接相關,儲藏時粘性的降低可用來估量海藻酸鈉去聚合的程度。高聚合度的海藻酸鈉穩定性不及低聚合度的海藻酸鈉。據報導海藻酸鈉可經質子催化水解,該水解取決於時間、pH和溫度。藻酸丙二醇酯溶液在室溫下、pH3~4時穩定;pH小於2或大於6時,即使在室溫下粘性也會很快降低。
安全術語
S24/25Avoid contact with skin and eyes.
避免與皮膚和眼睛接觸。
S26 In case of contact with eyes, rinse immediately with plenty of water and seek medical advice.
不慎與眼睛接觸後,請立即用大量清水沖洗並徵求醫生意見。
S36 Wear suitable protective clothing.
穿戴適當的防護服。
風險術語
R36/37/38 Irritating to eyes, respiratory system and skin.
刺激眼睛、呼吸系統和皮膚。
物理性質
海藻酸鈉系β無水右鏇甘露蜜醛酸鈉的聚合物。
⒈形態
海藻酸鈉為白色或淡黃色粉末,幾乎無臭無味。
⒉溶解性
海藻酸鈉溶於水,不溶於乙醇、乙醚、氯仿等有機溶劑。溶於水成粘稠狀液體,1%水溶液pH值為6-8。當pH=6-9時粘性穩定,加熱至80 ℃以上時則粘性降低
⒊毒性
海藻酸鈉無毒,LD50>5000mg/kg。
4、凝膠性
螯合劑對海藻酸鈉溶液性質的影響螯合劑可以絡合體系中的二價離子,使得海藻酸鈉能穩定於體系中。
5、增稠性和成膜性
(一)作為飲料/乳品等的增稠劑海藻酸鈉在增稠方面有獨特的優勢:海藻酸鈉良好的流動性,使得添加後的飲品口感柔滑;並且可以防止產品消毒過程中的黏度下降現象。在利用海藻酸鈉作為增稠劑時,應儘量使用分子量較大的產品,適量添加Ca。可以大大提高海藻酸鈉的黏度。(二)作為冰淇淋等冷飲的穩定劑海藻酸鈉是一種高檔的穩定劑,它可使冰淇淋等冷飲食品產生平滑的外觀、柔滑的口感。由於海藻酸鈣可形成穩定熱不可逆凝膠,因而在運輸、儲藏過程中不會變粗糙(冰晶生長),不會發生由於溫度波動而引起的冰淇淋變形現象;同時這種冰淇淋食用時無異味,既提高了膨脹率又提高了融點,使得產品的質量和效益都有顯著提高。產品口感柔滑、細膩、口味良好。添加量較低,一般為1—3‰,國外添加量為5—10‰。(三)作為乳製品及飲料的穩定劑用海藻酸鈉穩定的冰凍牛乳具有良好的口感,無粘感和僵硬感,在攪拌時有粘性,並有遲滯感。
套用領域
在食品上的套用
食品級海藻酸鈉海藻酸鈉用以代替澱粉、明膠作冰淇淋的穩定劑,可控制冰晶的形成,改善冰淇淋口感,也可穩定糖水冰糕、冰果子露、冰凍牛奶等混合飲料。許多乳製品,如精製乳酪、摜奶油、乾乳酪等利用海藻酸鈉的穩定作用可防止食品與包裝物的連粘性,可作為上乳制飾品復蓋物,可使其穩定不變並防止糖霜酥皮開裂。
海藻酸鈉用於色拉(一種涼拌菜)調味汁,布丁(一種甜點心)、果醬、番茄醬及罐裝製品的增稠劑,以提高製品的穩定性質,減少液體滲出。
加入海藻酸鈉的人造雞蛋在掛麵、冬粉、米粉製作中添加海藻酸鈉可改善製品組織的粘結性,使其拉力強、彎曲度大、減少斷頭率,特別是對麵粉含量較低麵筋,效果更為明顯。在麵包、糕點等製品中添加海藻酸鈉,可改善製品內部組織的均一性和持水作用,延長貯藏時間。在冷凍甜食製品中添加可提供熱聚變保護層,改進香味逸散,提高熔點的性能。
海藻酸鈉可做成各種凝膠食品,保持良好的膠體形態,不發生滲液或收縮,適合用於冷凍食品和人造仿型食品。還可用來復蓋水果、肉、禽類和水產品作為保護層,與空氣不直接接觸,延長貯藏時間。還可作為麵包的糖衣、加餡填料、點心的塗蓋層、罐頭食品等自凝形成劑。在高溫、冷凍和酸性介質中仍可維 持原有的形體。還可代替瓊膠製成具有彈性,不粘牙,透明的水晶軟糖。
在藥物製劑上的套用
海藻酸鈉早在1938就已收入美國藥典。海藻酸在1963年收入英國藥典。海藻酸不溶於水,但放入水中會膨脹。因此,傳統上,海藻酸鈉用作片劑的粘合劑,而海藻酸用作速釋片的崩解劑。然而,海藻酸鈉對片劑性質的影響取決於處方中放入的量,並且在有些情況下,海藻酸鈉可促進片劑的崩解。海藻酸鈉可以在制粒的過程中加入,而不是在制粒後以粉末的形式加入,這樣製作過程更簡單。與使用澱粉相比,所制的成片機械強度更大。
海藻酸鈉也用於懸浮液、凝膠和以脂肪和油類為基質的濃縮乳劑的生產中。海藻酸鈉用於一些液體藥物中,可增強粘性,改善固體的懸浮。藻酸丙二醇酯可改善乳劑的穩定性。控釋藥物傳輸系統在衛生保健中占很重要的地位。水溶性藥物微粒從膠狀介質中分離前的時間要最小化以確保載藥量最大。然而,這對水不溶性藥物並不重要。他們發現藥物的釋放與所用藥物的溶解性有關。
一位研究者報導海藻酸凝膠微粒的溶脹具有pH敏感性,例如微粒在蒸餾水或酸性介質中(pH1.5KCl-HCl)無變化,而在pH7.0的磷酸鹽緩衝液中迅速溶脹,尺寸變大。海藻酸鈉對酸敏感的這個特性對藥物很有用,可使藥物免受胃酸的攻擊,且在小腸中乾凝膠溶脹可使藥物以期望的速率釋放。
另一位研究者通過將海藻酸鈉在酸性條件下與戊二醛交聯後倒入乙醇溶液中製備含雙氯芬酸鈉(微溶於水)的控釋海藻酸鈉小球。包埋率為30%~71%,其值取決於製備條件。小球製備時溫度升高或與交聯物質暴露時間延長,會使包埋率降低,藥物釋放時間延長。
印紡工業的套用
活性染料的助染劑 海藻酸鈉在印染工業中用作活性染料色漿,優於糧食澱粉和其它漿料。印出的紡織品花紋鮮艷,線條清晰,給色量高,得色均勻,滲透性與可塑性均良好。海藻膠是現代印染業的最佳漿料,現已廣泛套用於棉、毛、絲、尼龍等各種織品的印花,特別適用於配製撥染印花漿。
經紗上漿料中國紡織部門以海藻膠與澱粉混合或代替澱粉配製經紗漿料,不僅可以節約大量糧食,而且能使經紗的纖維不起毛,耐摩擦,斷頭率少,從而提高織布效率。海藻膠對棉纖維和合成纖維均有效。
在醫藥行業的套用
以海藻酸硫酸酯分散劑製成的PS型胃腸雙重造影硫酸鋇製劑,具有粘度低,粒度細,附壁性好,性能穩定等特點。
PSS是以海藻酸為原料研製的一種褐藻多糖雙酯鈉,具有抗凝血、降血脂和降低血液粘度的作用。
用海藻膠代替橡膠、石膏作牙科印模料,不僅價格便宜,操作簡便,而且印出的齒形更準確。
海藻膠還可製作各種劑型的止血劑,包括止血海棉、止血紗布,止血薄膜,燙傷紗布,噴霧止血劑等。
藥用輔料
| 藥用輔料是指在製劑處方設計時,為解決製劑的成型性、有效性、穩定性、安全性加入處方中除主藥以外的一切藥用物料的統稱。藥用輔料是藥物製劑的基礎材料和重要組成部分,是保證藥物製劑生產和發展的物質基礎,在製劑劑型和生產中起著關鍵的作用。 |
盤點食品包裝袋背後的秘密
| 走進商店隨便拿起一件食品背後總是林林總總地羅列了很多化學成分,這些化學成分都是做什麼的呢? |

