簡介
電學發展簡史
吉伯在實驗中製作了第一隻驗電器1600年英國物理學家W.吉伯發現不僅琥珀和煤玉摩擦後能吸引輕小物體,而且相當多的物質,如金剛石、藍寶石、硫磺、硬樹脂和明礬等經摩擦後也都具有吸引輕小物體的性質,他注意到這些物質經摩擦後並不具備磁石那種指南北的性質。為了表明與磁性的不同,他採用琥珀的希臘字母拼音把這種性質稱為“電的” (elec-tric)。吉伯在實驗過程中製作了第一隻驗電器,這是一根中心固定可轉動的金屬細棒,當與摩擦過的琥珀靠近時,金屬細棒可轉動指向琥珀。大約在1660年馬德堡的 O·von蓋利克發明了第一台摩擦起電機。他用硫磺製成形如地球儀的可轉動球體,用乾燥的手掌摩擦轉動球體,使之停止而獲得電。蓋利克的摩擦起電機經過不斷改進,在靜電實驗研究中起著重要的作用,直到19世紀W.霍耳茨和A.推普勒分別發明感應起電機後才被取代。
18世紀電的研究迅速發展起來。1729年英國的S.格雷研究琥珀的電效應是否可傳遞給其他物體時發現導體和絕緣體的區別:金屬可導電,絲綢不導電。並且他第一次使人體帶電。格雷的實驗引起法國 C.-F.迪費的注意。1733年迪費發現絕緣起來的金屬也可摩擦起電,因此他得出所有物體都可摩擦起電的結論,認為吉伯把物體分為“電的”和“非電的”並沒有事實根據。他把玻璃上產生的電叫做“玻璃的”(vitreous),琥珀上產生的電與樹脂產生的相同,叫做“樹脂的”(resinous)。他得到:帶相同電的物體互相排斥;帶不同電的物體彼此吸引。他把電想像為二元流體,當它們結合在一起時彼此中和。
1745年荷蘭萊頓的P.van 穆申布魯克為了避免電在空氣中逐漸消失,尋找到一種保存電的辦法,他所發明的裝置即被稱為萊頓瓶。這種貯存電的方法稍早也被德國的E·G·von 克萊斯特獨立地發現。萊頓瓶的發現為電的進一步研究提供了條件,它對於電的知識的傳播起了重要的作用。
差不多同時,美國的B.富蘭克林做了許多有意義的工作,使得人們對電的認識更加豐富。1747年他根據實驗提出在正常條件下電是以一定的量存在於所有物質中的一種元素;電跟流體一樣,摩擦的作用可以使它從一物體轉移到另一物體,但不能創造;任何孤立物體的電總量是不變的,這就是通常所說的電荷守恆定律;他把摩擦時物體獲得的電的多餘部分叫做帶正電,物體失去電而不足的部分叫做帶負電。嚴格地說,這種關於電的一元流體理論在今天看來並不正確,但他所使用的正電和負電的術語至今仍被採用。他還觀察到導體的尖端更易於放電等。他的最著名的實驗是風箏實驗。早在1749年他就注意到雷閃與放電有許多相同之處。1752年他通過在雷雨天氣將風箏放入雲層,來進行雷擊實驗,證明了雷閃就是放電現象。這是一個危險的實驗,後來有人重複這種實驗時遭電擊身亡。富蘭克林還建議用避雷針來防護建築物免遭雷擊,1745年首先由P.狄維斯實現,這大概是電的第一個實際套用。
18世紀後期,開始了電荷相互作用的定量研究。1776年,J.普里斯特利根據他的實驗發現帶電金屬容器內表面沒有電荷,猜測電力與萬有引力有相似的規律,兩個電荷之間的作用力與它們之間距離的二次方成反比,但他未能予以證明。1769年,J.魯賓孫通過作用在一個小球上電力和重力平衡的實驗,第一次直接測定了兩個電荷相互作用力與距離二次方成反比。1773年,H.卡文迪什根據他實驗中導體球內表面檢測不到的電荷數量推算出電力與距離成反比的方次與 2相差最多不超過百分之二(見彩圖)。他的這一實驗是近代精確驗證電力定律的雛形,可是他的這一實驗以及其他重要實驗成果到1879年才由J.C.麥克斯韋整理公諸於世。1785年,C.A.de庫侖設計了精巧的扭秤實驗,直接測定了兩個靜止點電荷的相互作用力與它們之間的距離二次方成反比,與它們的電量乘積成正比。庫侖的實驗得到了世界的公認,從此電學的研究開始進入科學行列。1811年S.-D.泊松把早先力學中 P.S.M.拉普拉斯在萬有引力定律基礎上發展起來的勢論用於靜電,發展了靜電學的解析理論。
電學的研究開始進入科學行列化學電源發明後,很快發現利用它可以作出許多不尋常的事情來。1800年A.卡萊爾和W.尼科爾森用低壓電流分解水;同年J.W.里特成功地從水的電解中分別蒐集了兩種氣體,並從硫酸銅溶液中電解出金屬銅;1807年H.戴維利用龐大的電池組先後首次電解得到鉀、鈉、鈣、鎂等金屬。1811年他用2 000個電池組成的電池組製成了碳極電弧;從19世紀50年代起它成為燈塔、劇院等場所使用的強烈光電源,直到70年代才逐漸被T.A.愛迪生髮明的白熾燈所代替。此外伏打電池也促進了電鍍的發展,電鍍是1839年由W.von西門子等人發明的。
雖然早在1750年富蘭克林已經觀察到萊頓瓶放電可使鋼針磁化,甚至更早在1640年已有人觀察到閃電使羅盤的磁針鏇轉,但到19世紀初,科學界仍普遍認為電和磁是兩種獨立的作用。與這種傳統觀念相反,丹麥的自然哲學家H.C.奧斯特接受了德國哲學家I.康德和F.謝林關於自然力統一的哲學思想,堅信電與磁之間有著某種聯繫。經過多年的研究,他終於在1820年發現電流的磁效應:當電流通過導線時,引起導線近旁的磁針偏轉。電流磁效應的發現開拓了電學研究的新紀元。
奧斯特的發現首先引起法國物理學家的注意,同年即取得一些重要成果,如A.-M.安培關於載流螺線管與磁鐵等效性的實驗(後來,安培據此提出物質磁性的分子電流假說,把磁現象歸之為單一的電流的作用,這一點成為以後正確認識物質磁性的一把鑰匙)和兩根平行載流導線相互作用力的實驗;D.F.J.阿喇戈關於鋼和鐵在電流作用下的磁化現象;J.-B.畢奧和 F.薩伐爾關於長直載流導線對磁極作用力的實驗;此外安培還進一步做了一系列電流相互作用的精巧實驗。由這些實驗分析得到的電流元之間相互作用力的規律,是認識電流產生磁場以及磁場對電流作用的基礎。
電流磁效應的發現打開了電套用的新領域。1825年W.斯特金髮明電磁鐵,為電的廣泛套用創造了條件。早在1821年安培建議可用電磁儀器傳輸信號。1833年C.F.高斯和W.E.韋伯製造了第一台簡陋的單線電報。1837年C.惠斯通和H.M.莫爾斯分別獨立發明電報機。莫爾斯還發明了一套電碼,利用他所製造的電報機可通過在移動的紙條上打上點和劃來傳遞信息。這時期越洋海底電報的實驗研究也在進行。1855年W.湯姆孫(即開爾文)解決了水下電纜信號輸送速度慢的問題。1866年按照湯姆孫設計的大西洋電纜鋪設成功。另一方面的發展是1854年法國電報家C.布爾瑟提出用電來傳送語言的構想,但未變成現實;後來,P.賴斯於1861年實驗成功,但未引起重視。1876年A.G.貝爾發明了電話。作為收話機,它仍用於現代,而其發話機則被愛迪生的發明(碳發話機)以及D.E.休士的發明(傳聲器)所改進。
電流磁效應發現不久,幾種不同類型的檢流計設計製成,為G.S.歐姆發現電路定律提供了條件。1826年,受到J.B.J.傅立葉關於固體中熱傳導理論的啟發,認為電的傳導和熱的傳導很相似,電流好像熱流,電源的作用好像熱傳導中的溫差一樣。為了確定電路定律,開始他用伏打電堆作電源進行實驗,由於當時的伏打電堆性能很不穩定,實驗沒有成功;後來他改用兩個接觸點溫度恆定因而高度穩定的熱電動勢做實驗,得到電路中的電流強度與他所謂的電源的"驗電力"(electroscopic force)成正比,比例係數為電路的電阻。由於當時的能量守恆定律尚未確立,驗電力的概念是含混的,直到1848年G.R.基爾霍夫從能量的角度考查,才澄清了電位差、電動勢、電場強度等概念,使得歐姆理論與靜電學概念協調起來。在此基礎上,基爾霍夫解決了分支電路問題。
傑出的英國物理學家M.法拉第從事電磁現象的實驗研究,對電磁學的發展作出極重要的貢獻,其中最重要的貢獻是1831年發現電磁感應現象(美國物理學家J.亨利幾乎在同時也發現了電磁感應現象,但發表稍晚些)。緊接著他做了許多實驗確定電磁感應的規律,他發現當閉合線圈中的磁通量發生變化時,線圈中就產生感應電動勢,感應電動勢的大小取決於磁通量隨時間的變化率。後來,Э.Χ.楞次於1834年給出感應電流方向的描述,而F.E.諾埃曼概括了他們的結果給出感應電動勢的數學公式。法拉第在電磁感應的基礎上制出了第一台發電機。此外,他把電現象和其他現象聯繫起來廣泛進行研究,1833年成功地證明了摩擦起電和伏打電池產生的電相同,1834年發現電解定律,1845年發現磁光效應,並統一解釋物質的順磁性和抗磁性,他還詳細研究了極化現象和靜電感應現象,並首次用實驗證明了電荷守恆定律。
電磁感應的發現為能源的開發和廣泛利用開創了嶄新的前景。1866年西門子發明了可供實用的自激發電機;19世紀末實現了電能的遠距離輸送;電動機在生產和交通運輸中得到廣泛使用,從而極大地改變了工業生產的面貌。
對於電磁現象的廣泛研究使法拉第逐漸形成了他特有的“場”的觀念。他深信在帶電體和磁體的周圍存在著某種特殊的“緊張”狀態,他用電力線和磁力線來描述這種狀態。他認為:力線是物質的,它瀰漫在全部空間,並把異號電荷和相異磁極分別連結起來;電力和磁力不是通過空虛空間的超距作用,而是通過電力線和磁力線來傳遞的,它們是認識電磁現象必不可少的組成部分,甚至它們比產生或“匯集”力線的“源”更富有研究的價值。
法拉第的豐碩的實驗研究成果以及他的新穎的場的觀念為電磁現象的統一理論準備了條件。諾埃曼、韋伯等物理學家對電磁現象的認識曾有過不少重要貢獻,但他們從超距作用觀點出發,概括庫侖以來已有的全部電學知識,在建立統一理論方面並未取得成功。這一工作在19世紀60年代由卓越的英國物理學家麥克斯韋完成。早在1842~1854年,W.湯姆孫通過熱傳導、彈性現象和電磁力線的對比研究,建立了它們共同的數學描述。湯姆孫的類比方法鼓舞了麥克斯韋致力於將法拉第的力線思想寫成便於數學處理的形式。開始(1856)他僅僅是通過力學現象與電磁現象的類比試圖建立電磁學的理論體系;後來(1862)他覺得需要建立一種媒質理論來體現法拉第的力線思想。他認為變化的磁場在其周圍的空間激發渦鏇電場;此外他又引入了“位移電流”的概念,變化的電場引起媒質電位移的變化,電位移的變化與電流一樣在周圍的空間激發渦鏇磁場。麥克斯韋明確地用數學公式把它們表示出來,從而得到了今天以他的姓氏命名的電磁場的普遍方程組──麥克斯韋方程組。法拉第的力線思想以及電磁作用傳遞的思想在其中得到了充分的體現。
電磁理論麥克斯韋理論的推論和預言被德國物理學家H.R.赫茲的實驗光輝地證實。1888年赫茲根據電容器放電的振盪性質設計製作了電磁波源和電磁波檢測器,通過實驗檢測到電磁波,測定了電磁波的波速,並觀察到電磁波與光波一樣,具有偏振性質,並能夠反射、折射和聚焦。從此麥克斯韋的理論逐漸為人們所接受。
麥克斯韋電磁理論通過赫茲電磁波實驗的證實,開闢了一個全新的領域──電磁波的套用和研究。1895年俄國的Α.С.波波夫和義大利的G.馬可尼分別實現了無線電信號的傳送。後來馬可尼將赫茲的振子改進為豎直的天線;德國的C.F.布勞恩進一步將發射器分為兩個振盪線路,為擴大信號傳遞範圍創造了條件。1901年馬可尼第一次建立了橫跨大西洋的無線電聯繫。電子管的發明(1904年J.A.夫累銘;1906年L.德福雷斯特)及其線上路中的套用使得電磁波的發射和接收都成為易事,推動了無線電技術的發展,極大地改變了人類的生活。
雖然麥克斯韋的電磁理論對光在真空中的傳播作了完備的描述,但它不能很好地揭示出物質的光學特性,特別是不能解釋色散現象;此外,把電磁理論用於運動介質的情形也未獲得成功。1896年H.A.洛倫茲提出的電子論,將麥克斯韋方程組套用到微觀領域,並把物質的電磁性質歸結為原子中電子的效應。這樣不僅可以解釋物質的極化、磁化、導電等現象以及物質對光的吸收、散射和色散現象;而且還成功地說明了關於光譜在磁場中分裂的正常塞曼效應;此外,洛倫茲還根據電子論導出了關於運動介質中的光速公式,把麥克斯韋理論向前推進了一步。
在法拉第、麥克斯韋和洛倫茲的理論體系中,假定了有一種特殊媒質“以太”存在,它是電磁波的荷載者,只有在以太參照系中,真空中光速才嚴格與方向無關並等於c, 麥克斯韋方程組和洛倫茲力公式也只在以太參照系中才嚴格成立。這意味著電磁規律不符合相對性原理。關於這方面問題的進一步研究,導致了A.愛因斯坦在1905年建立了狹義相對論,它改變了原來的觀點,認定狹義相對論是物理學的一個基本原理,它否定了以太參照系的存在並修改了慣性參照系之間的時空變換關係,使得麥克斯韋方程組和洛倫茲力公式有可能在所有慣性參照系中都成立。狹義相對論的建立不僅發展了電磁理論,並且對以後理論物理的發展具有巨大的作用。
基本內容
熱電效應主要包括靜電、靜磁、電磁場、電路、電磁效應和電磁測量。
靜電學
研究靜止電荷產生電場及電場對電荷產生作用力的規律。電荷只有兩種,稱為正電和負電。同種電荷相互排斥,異種電荷相互吸引。電荷遵從電荷守恆定律。電荷可以從一個物體轉移到另一個物體,任何物理過程中電荷的代數和保持不變。所謂帶電,不過是正負電荷的分離或轉移;所謂電荷消失,不過是正負電荷的中和。靜止電荷之間相互作用力符合庫侖定律:在真空中兩個靜止點電荷 q1和q2之間作用力的大小與q1和q2的乘積成正比,與它們之間的距離r的二次方成反比;作用力的方向沿著它們之間的聯線,同號電荷相斥,異號電荷相吸。用公式表示,q1對q2的作用力 F12與q2對q1的作用力F21分別為
(1)式中F、q、r的單位分別為牛頓、庫侖、米,惲12和惲21分別為由q1指向q2和由q2指向q1的單位矢量,εo為普適常數,叫做真空介電常數,其值為 εo=8.854187818×10-12 (法拉/米)。
電荷之間相互作用力是通過電荷產生的電場相互作用的。電荷產生的電場用電場強度E(簡稱場強)來描述。空間某一點的電場強度用正的單位試探電荷在該點所受的電場力來定義。電場強度遵從場強疊加原理:任意帶電體在空間某點所產生的場強等於各點電荷單獨存在時在該點產生的場強的矢量和。在帶電體電荷分布已知情況下,根據庫侖定律和場強疊加原理,原則上可以確定任意帶電體所產生的場強分布。帶電體產生的場強分布可用假想的電力線形象地圖示。
根據庫侖定律和場強疊加原理還可得到靜電場基本性質的兩個定理:①高斯定理。靜電場中電場強度沿任意閉合曲面的積分(稱為電通量)等於該曲面包圍的所有電荷電量代數和∑q除以εo,與閉合面外的電荷無關,
。 (2)
。 (3)
, (4)
E=-墷U。 (5)
式(4)和式(5)把描述靜電場分布的場強和電位聯繫起來。帶電體產生的電位分布可用等位面形象地圖示,靜電場中電力線總是與等位面正交。
點電荷 q在電場中所受的作用力為f=qE;點電荷在靜電場中由 a點移動到b點,電場力所做的功為Aab=q(Ua-Ub)。根據這兩個公式,可以計算任意帶電體在電場中受到的作用力和移動時電場力所做的功,從而可以得知帶電體在電場中的運動。
通常的物質,按其導電性能的不同可分兩種極端情況:導體和絕緣體。導體體記憶體在可運動的自由電荷;絕緣體又稱為電介質,體內只有束縛電荷(嚴格地說,導體和絕緣體的區別應從量子理論的能帶論來理解)。
電學
,反映了這兩個導體組成系統的可容納電荷的性質,稱為電容,這個導體系統稱為電容器(見電容和電容器)。 在電場中,電介質被極化(見電介質的極化)。電介質極化的狀況用極化強度矢量 P來描述。極化強度用單位體積內分子偶極矩的矢量和來定義。電介質極化後,介質表面和體內出現束縛的極化電荷。極化電荷與介質的極化強度有如下兩種關係:①沿任意閉合曲面極化強度矢量的面積分等於閉合面所包圍的極化電荷的負值,
;②由此可推知,介質表面的極化電荷面密度等於極化強度矢量在介質表面的法線分量, σ┡=Pn=P·cosθ。這樣,放入電場中的電介質將改變原來的電場分布。導體系中間填充電介質時電容值將改變。電介質存在時電場的高斯定理化為
, (6)
D1n=D2n, E1t=E2t。 (7)
靜磁學研究電流穩恆時產生磁場以及磁場對電流作用力的規律。 電荷的定向流動形成電流。電流之間存在磁的相互作用,這種磁相互作用是通過磁場傳遞的,即電流在其周圍的空間產生磁場,磁場對放置其中的電流施以作用力。電流產生的磁場用磁感應強度B描述。真空中穩恆電流產生的磁場遵從畢奧-薩伐爾定律,即磁感應強度
, (8)
μo=4π×10-7 (亨利/米)。
根據畢奧-薩伐爾定律,可計算任意已知電流分布產生的磁感應強度。此外,根據畢奧-薩伐爾定律還可得到穩恆磁場基本性質的兩個定理:①磁高斯定理。穩恆磁場中磁感應強度沿任意閉合曲面的積分(稱為磁通量)恆等於零
, (9)
, (10)
這表明磁場不是勢場,是有鏇場。
當磁場中存在磁介質時,磁介質被磁化,產生磁化電流。介質磁化的狀況用磁化強度矢量M來描述。磁化強度用單位體積內分子磁矩的矢量和來定義。磁化強度沿任意閉合曲線的積分等於穿過閉合曲線的磁化電流強度的代數和,
。利用這一結果可將磁介質存在時的安培環路定理化為
, (11)
叫做磁場強度。H與B的關係由磁介質的性質決定,這種關係是關於磁的介質方程。在磁介質的界面上,磁場滿足的邊值關係為:當界面不存在面傳導電流時,在界面上磁感應強度的法線分量連續,磁場強度的切線分量連續,即 B1n=B2n, H1t=H2t。 (12)
電流元 Idl在磁場中受到的作用力由安培公式表示dF=Idl×B, (13)
式中 B為電流元所在處的磁感應強度。整個載流導線所受的磁力則為該式對全部電流導線的積分。一個速度為v帶電量為q的運動的點電荷在磁場中受到的作用力稱為洛倫茲力,為F=qv×B。 (14)
運動電荷所受的洛倫茲力總是與速度方向垂直,因此洛倫茲力對運動電荷所做的功恆為零。當同時存在電場和磁場時,運動電荷所受的洛倫茲力公式為F=q(E+v×B)。 (15)
它決定了帶電粒子在電磁場中的運動。
電磁場
研究隨時間變化情形下的電磁現象和規律。這是電磁學的普遍情形。 當穿過閉合導體線圈的磁通量發生變化時,線圈上產生感應電流。感應電流的方向可由楞次定律確定,即感應電流的方向總是使得它所激發的磁場阻止引起感應電流的磁通量的變化。閉合線圈中的感應電流是感應電動勢推動的結果。感應電動勢遵從法拉第定律:閉合線圈上的感應電動勢的大小總是與穿過線圈的磁通量的時間變化率成正比,用公式表示為
(16)
式中的負號反映感應電動勢的方向,與楞次定律的結論一致。線圈內電流變化在其自身引起感應電動勢的現象叫做自感;線圈內電流變化在其他線圈中引起感應電動勢的現象叫做互感。線圈的自感和互感性質,分別由自感係數和互感係數描述。
感應電動勢按其產生的原因不同可分為兩種情況:一種是因導線在穩恆磁場中運動切割磁力線產生的感應電動勢,叫做動生電動勢;另一種是導線不動,因磁場的變化產生的感應電動勢,叫做感生電動勢。
感生電動勢是變化的磁場在其周圍激發電場的體現。這樣產生的電場是有鏇場,與電荷激發的電場不同,它的性質可表述為
。在非穩恆情形下,總的電場為電荷激發的電場與變化磁場激發的電場的矢量和,總電場滿足的方程為
, (17)
。 (18)
, (19)
, (20)
式中 дD/дt稱為位移電流密度。式(17)、(18)和(19)、(20)就是普遍情形下電磁場滿足的麥克斯韋方程組(積分形式)。
能量問題是物理學關心的重要問題。根據麥克斯韋電磁理論可知:電場中儲存電能,單位體積內儲存的電能(電能密度)為
,磁場中儲存磁能,單位體積內儲存的磁能(磁能密度)為
,同時存在電場和磁場的空間V 內儲存的電磁能為
;電磁場中存在能流,單位時間通過垂直單位面積的能量叫做能流密度,用S表示,S=E×H,S又叫做坡印廷矢量。任意空間內發生的電磁過程遵從能量守恆定律。
麥克斯韋方程組描述了電磁場普遍遵從的規律。它同物質的介質方程、洛倫茲力公式以及電荷守恆定律結合起來,原則上可以解決各種巨觀電動力學問題(見經典電動力學)。
根據麥克斯韋方程組導出的一個重要結果是存在電磁波,變化的電磁場以電磁波的形式傳播,電磁波在真空中傳播的速度為
。
這一數值與光在真空中傳播的速度相同,說明光是電磁波,光是波長在400~760納米範圍內且能引起人們視覺反應的電磁波。因此,光的波動理論納入了電磁理論的範疇。
電路
包括直流電路和交流電路的研究,是電學的組成部分。直流電路研究電流穩恆條件下的電路定律和性質;交流電路研究電流周期性變化條件下的電路定律和性質。 直流電路由導體(或導線)連結而成,導體有一定的電阻。穩恆條件下電流不隨時間變化,電場亦不隨時間變化。穩恆時的電場與靜電場的性質相同,同樣滿足靜電場的高斯定理和環量定理。
穩恆條件下電流必定形成閉合迴路。靜電場本身不可能維持穩恆電流,為了維持穩恆電流,電路中必定有非靜電的電源。不管電源的具體機制如何,電源的作用是使非靜電的能量轉化為提高電荷的電位能。反映電源電性能的主要指標是電動勢(即非靜電力對單位電荷作功的值)和內阻。 穩恆條件下的導電基本規律為
j=σ(E+K), (21)
式中j為電流密度,E為該點的場強,K為該點作用在單位正電荷上的非靜電力,σ為該點材料的電導率,式(21)稱為歐姆定律的微分形式,它是物質的導電性方程。
根據穩恆時電場的性質、導電基本規律和電動勢概念,可導出直流電路的各個實用定律:歐姆定律、基爾霍夫電路定律以及一些解決複雜電路的其他有效而簡便的定理:等效電源定理、疊加定理、倒易定理、對偶定理等,這些實用定律和定理構成電路計算的理論基礎。
交流電路比直流電路複雜得多,電流隨時間的變化引起空間電場和磁場的變化,因此存在電磁感應和位移電流,存在電磁波。按照電流隨時間變化的頻率不同,複雜程度不同,可分以下幾種情況。
① 交流電的頻率f滿足f
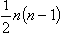
с/l,式中с為真空中的光速,l為電路的線度,即電路的線度遠小於電磁波的波長。此時位移電流的效果可以忽略,電磁波沿電路的傳播效應可忽略,這種情況叫做準穩,這種電路叫準穩電路。條件f
с/l或 l
λ叫做準穩條件。準穩條件下,在集中元件的外部,電壓概念仍然有效,直流電路的定律如歐姆定律、基爾霍夫定律等仍近似成立;電路的複雜性表電路中除了電阻之外,還可能有電感和電容,同時電路中的電壓和電流之間存在位相差,從而帶來一系列直流電路所沒有的電路特性:諧波、濾波、相移等等,這些在實際中都有廣泛的套用。準穩電路的計算方法是矢量圖解法和複數解法。
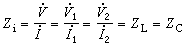
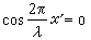
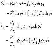
② 當交流電的頻率較高,準穩條件遭到破壞時,散布在空間的電磁場變化引起電路各部分的相互影響已不可忽略,這些影響可用分布電容和分布電感來表征。把它們看成等效的集中參量計入電路和方程之後,仍可近似地用準穩電路方程和概念來分析問題。
③ 交流電的頻率更高,準穩條件遭到破壞,位移電流的效果和電磁波沿電路的傳播效應不可忽略,則準穩電路方程和概念已不適用,原則上應該用麥克斯韋方程組討論問題。但對於傳輸線主波可以引入分布電感、分布電容以及橫向電壓概念建立電報方程。用電報方程來討論這種電路比起按麥克斯韋方程組來討論要簡單得多。
電磁效應
愛因斯坦建立了狹義相對論對於各種電效應的研究有助於了解物質的結構以及物質中發生的基本過程,此外在技術上,它們也是實現能量轉換和非電量電測法的基礎。
電磁測量
電學的組成部分。測量技術的發展與學科的理論發展有著密切的聯繫,理論的發展推動了測量技術的改進;測量技術的改善在新的基礎上驗證理論,並促成新理論的發現。 電磁測量包括所有電磁學量(電流、電量、電壓、電阻、電容、電感、電場強度、磁感強度、……)的測量以及有關的其他量(交流電的頻率、相角等)的測量。利用電磁學原理已經設計製作出各種專用儀表(安培計、伏特計、歐姆計、磁場計等,見電測量指示儀表)和測量電路(各種電橋和各種電位計等),它們可滿足對各種電磁學量的測量。近代在電磁測量中廣泛採用電子線路改善測量技術,提高測量的靈敏度、精度和儀器的穩定性;此外測量儀器和顯示技術的改進,可連續記錄或直接數字顯示測量結果,還可實現遠距離遙測,極大地改變了測量技術的面貌。
電磁測量的另一個重要的方面是非電量(長度、速度、形變、力、溫度、光強、成分等)的電測量。它的主要原理是利用電磁量與非電量相互聯繫的某種效應,將非電量的測量轉換為電磁量的測量。由於電測量有一系列優點:準確度高、量程寬、慣量小、操作簡便,並可遠距離遙測和實現測量技術自動化,非電量的電測量正在不斷發展。
意義
相關書籍20世紀隨著原子物理學、原子核物理學和粒子物理學的發展,人類的認識深入到微觀領域,在帶電粒子與電磁場的相互作用問題上,經典電磁理論遇到困難。雖然經典理論曾給出一些有用的結果,但是許多現象都是經典理論不能說明的。經典理論的局限性在於對帶電粒子的描述忽略了其波動性方面,而對於電磁波的描述又忽略了其粒子性方面。 按照量子物理的觀點,無論是物質粒子或電磁場都既有粒子性,又具有波動性(波粒二象性)。在微觀物理研究的推動下,經典電磁理論發展為量子電磁理論(量子電動力學)。
套用發展
有線通信
有線通信的歷史有人說科學技術是由於軍事方面的需要而發展起來的,這種說法有一定的歷史事實根據。
英國害怕拿破崙進攻,曾用桁架式通信機向自己的部隊進報法國軍隊的動向。瑞典,德國,俄羅斯等國家也以軍事為目的,架設了由這類通信機組成的通信網,據說都曾投入了龐大的預算。
將這種通信機改造成電通信方式的構想大概就是有線通信的開始。
1.有線通信的原理
除了將前面所講到的西林所發明的電磁式電報機以外,還有德國的簡梅林發明的電化學式電報機,高斯和韋伯(德國)的電報機,庫克和惠斯能(英國)的5針式電報機等。電報機的形式也是各種各樣的,有音響式,印刷式,指針式,鍾鈴式等。其中,庫克和惠斯通的5針式電報機最為有名。1837年,這種電報機曾通過架設在倫敦與西德雷頓之間長達20公里的5根電線而投入實際使用。
2.莫爾斯電報機
1837年,莫爾斯電報機在美國研製成功,發明人就是以莫爾斯電碼而聞名的莫爾斯。莫爾斯電碼是一種以點,劃來編碼的信號。
莫爾斯本來是想當一名畫家,他為此在倫敦留學。1815年,他在回美國的船上聽了波士頓大學教授傑克遜關於電報的一席談話,萌發了莫爾斯電碼和電報機的構想。為了鋪設電報線,莫爾斯成立了電磁-電報公司,並於1846年在紐約-波士頓,費城-匹茲堡,多倫多-布法羅-紐約之間開通了電報業務。
莫爾斯的事業獲得了極大成功,於是就在美國各地創辦電報公司,電報業務逐漸擴大起來。
1846年,莫爾斯電報機裝上了音響收報機,使用也更加方便。
3.電話和交換機
1876年2月14日,美國的兩位發明家貝爾和格雷分別遞交了電話機專利的申請,貝爾的申請書比格雷的申請書早兩個小時到達,因而貝爾得到了專利權。
1878年,貝爾成立了電話公司,製造電話機,全力發展電話事業。
從發展電話業務開始,交換機就擔負著重要的任務。1877年前後的交換機稱為傳票式交換機,話務員收到通話請求,很把傳票交給另一位話務員。
其後,經過反覆改進,開發出了框圖式交換機,進而又開發出了自動交換方式(1879年)。
1891年,史端喬式自動交換機研製成功。至此,自動交換的願望就算實現了。之後研究仍在繼續,又經過了幾個階段才達到如今市面上的電子交換機。
4.海底通信電纜
陸上通信網日漸完備,人們開始考慮在海底敷設通信電纜來實現跨海國家之間的通信。1840年前後,惠斯通就已經考慮到了海底電纜的問題。
海底電纜有很多問題需要解決,電纜的機械強度,絕緣及敷設方法都陸上電纜不同。
1845年,英吉利海峽海底電報公司成立,開始了從英國到加拿大並跨過多佛爾海峽到達法國的海底電纜敷設工程。
海底電纜敷設中碰到了電纜斷裂等大難題,但敷設誨底電纜是時代的要求,各國都為此投稿了力量。
1851年,最早的加來-多佛爾海底電纜敷設完畢,成功地實現了通信。以此為契機,歐洲周邊和美洲東部周邊也敷設了許多電纜。
如今,世界上的大海里遍布著電纜,供通信使用。
無線通信
無線通信的歷史世界上任何一個地區的信息都能顯示在電視機上,這種方便是電波帶給我們的。
最早的電波實驗是德國的赫茲在1888年進行的。通過實驗,赫茲弄清了電波和光一樣,具有直線傳播,反射和折射現象。
頻率的單位赫茲就是來自他的名字。
1.馬可尼的無線電裝置
在雜誌上讀到過赫茲實驗文章的義大利人馬可尼,在1895年研製出了最早的無線電裝置,利用這一裝置在相隔大約3公里遠的距離之間進行了莫爾斯電碼通信實驗。他想到了要把無線通信企業化,就成立了一個無線電報與信號公司。
儘管馬可尼在無線通信領域獲得了諸多成功,但由於與海底電纜公司的利益相衝突,他想在紐芬蘭設立無線電報局的事遭到了反對,馬可尼的反對者還不在少數。
2.高頻波的產生
要實現無線通信,首先要產生穩定的高頻電磁波。
達德爾採用由線圈和電容器構成的電路產生出了高頻信號,但頻率還不到50KHZ,電流也只有2~3A,比較小。
1903年,荷蘭的包魯森利用酒精蒸氣電弧放電產生出了1MHZ的高頻波,彼得森又對其進行了改進,製成了輸出功率達到1KW的裝置。
其後,德國設計出了機械式高頻發生裝置,美國的斯特拉和費森登,德國的戈爾德施米特等人開發出了用高頻交流機產生高頻波的方法等,很多科學家和工程師都曾致力於高頻波發生器的研究。
3.無線電話
如果傳送的不是莫爾斯信號而是人的語言,那就需要有運載有信號的載波。載波必須是高頻波。
1906年,美國通用電氣(GE)公司的亞歷山德森製成了80KHZ的高頻信號發生裝置,首次成功地進行了無線電話的實驗。
用無線電話傳送語音,並且要收聽它,這就需要有用於傳送的高頻信號發生裝置和用於接收的檢波器。費森登設計了一種多差式接收裝置,並於1913年試驗成功。
達德爾設計出了以包魯森電弧傳送器為傳送裝置,以電解檢波器為接收裝置的受話器方式。在當時,由於都是採用火花振盪器,所以噪聲很大,實驗階段可說是成功了,但離實用化還很遠。
要想使產生的電波穩定,接收到的噪聲小,還得等待電子管的出現。
4.二極體和三極體
1903年,愛迪生髮現從電燈泡的熱絲上飛濺出來的電子把燈泡的一部分都燻黑了,這種現象被稱為愛迪生效應。
1904年,弗萊明從愛迪生效應得到啟發,造出二極體,用它來進行檢波。
1907年,美國的D。福雷斯特在二極體的陽極和陰極之間又加了一個叫做柵極的電極,發明了三極體。
這種三極體既可以用於放大信號電壓,也可以配以適當的反饋電路產生穩定的高頻信號,可說是一個劃時代的電路元件。
三極體經過進一步的改進,能夠產生短波,超短波等高頻信號。此外,三極體具有能控制電子流的功能,隨後出現的陰極射線管和示波器與此有密切的關係。
5.電池的歷史
1790年,伽伐尼根據解剖青蛙實驗提出了“動物電”,以此為開端,伏打發現了兩種金屬接觸就有電產生的規律,可以說這就是電池的起源。
1799年,伏打在銅和鋅之間夾入一層浸透鹽水的紙,再把它們一層一層地迭起來,製成了“伏打電堆”。“電堆”的意思就是指把許多單個電池單元高高地堆在一起。
(1)一次電池
一次電池放完電後不能再用的電池稱為一次電池。伏打對伏電電堆做了改進,製成了伏打電池。
1836年,英國人丹尼爾在陶瓷桶里放入陽極和氧化劑,製成了丹尼爾電池。與伏打電池相比,丹尼爾電池能長時間提供電流。
1868年,法國的勒克朗謝公布了勒克朗謝電池,1885年(明治18年)日本的尾井先藏發明了尾井乾電池。尾井乾電池是一種把電解液吸附在海綿里的特殊電池,具有搬運方便的特點。
1917年,法國的費里發明了空氣電池,1940年,美國的魯賓發明了水銀電池。
(2)二次電池
放完電還可以充電再用的電池稱為二次電池。1859年,法國的普朗泰發明了能夠反覆充電使用的鉛蓄電池,其結構是稀硫酸中裝有鉛電極,這是最早的二次電池。如今,汽車裡使用的就是這種類型的電池。
1897年(明治30年),日本的島津源藏開發出了具有10A*H容量的鉛蓄電池,並把他本人名字GENZOSIMAZU的字頭GS作為商品名稱,取名為GS電池投放市場。
1899年,瑞典的容納製成了容納電池,1905年愛迪生製成了愛迪生電池。這些電池的電解液都用的是氫氧化鉀,後來就被稱為鹼性電池。
1948年,美國的紐曼發明了鎳鎘電池。這是一種能充電的乾電池,是具有劃時代意義的電池。
(3)燃料電池
1939年,英國人格羅夫發現氧和氫的反應中有電能產生,並由實驗證明了燃料電池的可能性。也就是說,電解水的時候消耗了電能而生成了氧和氫,反過來,從外部給陽極一側送入氧,給陰極一側送入氫,就能夠產生電能和水。
格羅夫當時只是做了實驗,並未實用化。1958年,劍橋大學(英國)製成了5KW的燃料電池。
1965年,美國GE公司成功地開發出了燃料電池,這個電池就安裝在1965年的載人飛船雙子星5號上,用於供給太空人飲用水的飛船電能。1969年登上月球的阿波羅11號飛船上的電源也使用了燃料電池作為飛船內電源。
(4)太陽能電池
1873年,德國人西門子發明了用硒和鉑絲製成的光電池。新型照相機曝光表上所用的就是這種硒光電池。
1945年,美國的夏品發明了矽太陽能電池,這是一種當太陽光或燈光照到其PN結上時能產生電能的元件,廣泛用於人造衛星,太陽能汽車,鐘錶,台式計算器等。提高這種元件轉換效率的研究與開發工作仍在進行中。
6.照明的歷史
18世紀60年代由英國興起的產業革命使工廠進入了連續加工,批量生產的時代,夜間照明成了重要問題。
前面已經講過,英國人戴維1815年曾做過用2000個伏打電池產生電弧的有名實驗。
(1)白熾燈泡
1860年,英國人斯旺把棉線碳化後做成燈絲裝入玻璃泡里,發明了碳絲燈泡。
然而,由於當時的真空技術不高,點燈時間不能過長,時間一長,燈絲就會在燈泡里氧化而燒掉。
斯旺所想到的白熾燈泡的原理是如今市面上的白熾燈的起源。隨著燈絲研究和真空技術的進步,白熾燈最終達到了實用化。從這點不說,斯旺的發明是一項大發明。
1865年,施普倫格爾為研究真空現象而開發出水銀真空泵。斯旺知道這件事後,就在1878年把玻殼內的真空度提高,又在燈絲上下了一番功夫。他先把棉線用硫酸處理,然後再碳化,最後,他公布了斯旺燈泡。斯旺的白熾燈泡曾在巴黎萬國博覽會上展出。
1879年,美國的愛迪生成功地把白熾燈泡的壽命延長到了40小時以上。1880年,愛迪生髮現竹子是做白熾燈燈絲的優良材料,就把日本,中國,印度的竹子收集起來反覆進行實驗。
愛迪生把部下穆爾派到日本,在京都的八幡尋找優質竹子,若乾年後,用八幡竹子製造出了燈絲。為了製造這種竹燈絲的燈泡,1882年他在倫敦和紐約成立了愛迪生電燈公司。
在日本,1886年(明治19年)東京電燈公司成立,明治22年起,一般的家庭開始用上了白治燈泡。
1910年,美國的庫利廳用鎢絲做燈絲,發明了鎢絲燈泡。
1913年,美國的蘭米爾在玻殼裡充入氣體以防止燈絲蒸發,發明了充氣鎢絲燈泡。
1925年,日本的不破橘三發明了內壁磨砂燈泡。
1932年,日本的三浦順一發明了雙螺鏇鎢絲燈泡。
正是由於上述的不斷探索,今天我們才能享受白熾燈照明的日常生活,想起來真是漫漫長路啊。
(2)放電燈
1902年,美國的休伊茲特在玻殼內裝入水銀蒸氣,發明了弧光放電汞燈。由於這種汞燈在汞蒸氣的氣壓較低時發出了紫外線較多,所以常作為殺菌燈使用。而當水銀氣壓較高時,可發出很強的可見光。
現廣泛用於廣場照明和道路照明的高壓汞燈所發出的光是一種混合光,混合光包括水銀電弧放電的光和紫外線照到塗敷在玻殼內壁的螢光材料上所發出的光。
1932年,荷蘭菲利浦公司開發出了波長為590nm單色的鈉燈,這種燈廣泛用於公路的隧道照明。
1938年,美國的英曼發明了當年廣泛使用的螢光燈。這種燈通過用水銀電弧放電發出的紫外線照射塗敷在燈管內壁的不同螢光粉而發出不同顏色的光。通常,白色螢光燈用得最多。
7.電力設備的歷史
可以說,1820年奧斯特所發現的電磁作用就是電動機的起源。
而1831年法拉第所發現的電磁感應就是發電機的變壓器的起源。
(1)發電機
1832年,法國人畢克西發明了手搖式直流發電機,其原理是通過轉動永磁體使磁通發生變化而線上圈中產生感應電動勢,並把這種電動勢以直流電壓形式輸出。
1866年,德國的西門子發明了自勵式直流發電機。
1869年,比利時的格拉姆製成了環形電樞,發明了環形電樞發電機。這種發電機是用水力來轉動發電機轉子的,經過反覆改進,於1847年得到了3。2KW的輸出功率。
1882年,美國的戈登製造出了輸出功率447KW,高3米,重22噸的兩相式巨型發電機。
美國的特斯拉在愛迪生公司的時候就決心開發交流電機,但由於愛迪生堅持只搞直流方式,因此他就把兩相交流發電機和電動機的專利權賣給了西屋公司。
1896年,特斯拉的兩相交流發電機在尼亞拉發電廠開始勞動營運,3750KW,5000V的交流電一直送到40公里外的布法羅市。
1889年,西屋公司在俄勒岡州建設了發電廠,1892年成功地將15000伏電壓送到了皮茨菲爾德。
(2)電動機
1834年,俄羅斯的雅可比試製出了由電磁鐵構成的直流電動機。1838年,這種電動機開動了一艘船,電動機電源用了320個電池。此外,美國的文波特和英國的戴比德遜也造出了直流電動機(1836年),用作印刷機的動力設備。由於這些電動機都以電池作為電源,所以未能廣泛普及。
1887年,前面所講過的特斯拉兩相電動機作為實用化感應電動機的發展計畫開始啟動。1897年,西屋公司製成了感應電動機,設立專業公司致力於電動機的普及。
(3)變壓器
發電端在向外輸送交流電的時候,要先把交流電壓升高,到了用電端,又得把送來的交流電壓降低。因此,變壓器是必不可少的。
1831年,法拉第發現磁可以感應生成電,這就是變壓器誕生的基礎。
1882年,英國的吉布斯獲得了“照明與動力用配電方式”專利,其內容就是將變壓器用於配電,當時所用的變壓器是磁路開放式變壓器。
西屋引進了吉布斯的變壓器,經過研究,於1885年開發出了實用的變壓器。
此外,在此前一年的1884年,英國的霍普金森製成了閉合磁路式變壓器。
(4)電力設備和三相交流技術
兩相交流電是用四根電線輸電的技術。德國的多勃羅沃爾斯基在繞組上想出了竅門,從繞組上每隔120度的三個地方引出抽頭,得到了三相交流電。1889年,利用這種三相交流電的鏇轉磁場,製成了功率為100W的最早的三相交流電動機。
同年,多勃羅沃爾斯基又開發出了三相四線制交流接線方式,並在1891年的法蘭克福輸電實驗(150VA三相變壓器)中獲得了圓滿成功。
8.電子電路元器件的歷史
當代,是包括計算機在內的電子學繁榮昌盛的時代,其背景與電子電路元器件由電子管-電晶體=積體電路的不斷發展有著密切的關係。
(1)電子管
電子管是沿著二極體-三極體-四極管-五極管的順序發明出來的。
二極體:前面曾經講過,愛迪生髮現了電燈泡燈絲髮射電子的“愛迪生效應”。1904年,英國人弗萊明受到“愛迪生效應”的啟發,發明了二極體。
三極體:1907年,美國的福雷斯特發明了三極體。當時,真空技術尚不成熟,三極體的製造水平也不高。但在反覆改進的過程中,人們懂得了三極體具有放大作用,終於拉開了電子學的帷幕。
振盪器也從上面所講過的馬可尼火花裝置發展為三極體振盪器。三極體有三個電極,陽極,陰極和設定在二者之間的控制柵極,這個控制柵極是用來控制陰極所發射的電子流的。
四極管:1915年,英國的朗德在三極體的控制柵極與陽極之間又加了一個電極,稱為簾柵極,其作用是解決三極體中流向陽極的電子流中有一部分會流到控制柵極上去的問題。
五極管:1927年,德國的約布斯特在陽極與簾柵極之間又加了一個電極,發明了五極管。新加的電極被稱為抑制柵。加入這個電極的原因是:在四極管中,電子流撞到陽極上時陽極會產生二次電子發射,抑制柵就是為抑制這種二次電子發射而設定的。
此外,1934年美國的湯綠森通過對電子管進行小型化改進,發明了適用於超短波的橡實管。
管殼不用玻璃而採用金屬的ST管發明於1937年,經小型化後的MT管發明於1939年。
(2)電晶體
半導體器件大致分為電晶體和積體電路(IC)兩大部分。第二次世界大戰後,由於半導體技術的進步,電子學得到了令人矚目的發展。
電晶體是美國貝爾實驗室的肖克萊,巴丁,布拉特在1948年發明的。
這種電晶體的結構是使兩根金屬絲與低摻雜鍺半導體表面接觸,稱為接觸型電晶體。
1949年,開發出了結型電晶體,在實用化方面前進了一大步。
1956年開發出了製造P型和N型半導體的擴散法。它是在高溫下將雜質原子滲透到半導體表層的一種方法。1960年開發出了外延生長法並製成了外延平面型電晶體。外延生長法是把矽晶體放在氫氣和鹵化物氣體中來製造半導體的一種方法。
有了半導體技術的這些發展,隨之就誕生了積體電路。
(3)積體電路
大約在1956年,英國的達馬就從電晶體原理預想到了積體電路的出現。
1958年美國提出了用半導體製造全部電路元器件,實現積體電路化的方案。
1961年,德克薩斯儀器公司開始批量生產積體電路。
積體電路並不是用一個一個電路元器件連線成的電路,而是把具有某種功能的電路“埋”在半導體晶體裡的一個器件。它易於小型化和減少引線端,所以具有可靠性高的優點。
積體電路的集成度在逐年增加。元件數在100個以下的小規模積體電路,100~1000個的中規模積體電路,1000~100000個大規模積體電路,以及100000個以上的超大規模積體電路,都已依次開發出來,並在各種裝置中獲得了廣泛套用。
國中電路知識
電學知識總結
一、電路
電學電流的方向:從電源正極流向負極。
電源:提供電壓的裝置。
電源是把其他形式的能轉化為電能.如乾電池是把化學能轉化為電能。發電機則由機械能轉化為電能。
有持續電流的條件:必須有電源且電路須閉合。
導體:容易導電的物體叫導體.如:金屬,人體,大地,酸鹼鹽水溶液等。
絕緣體:不容易導電的物體叫絕緣體。如:玻璃,陶瓷,塑膠,油,純水等。
電路組成:由電源,導線,開關和用電器組成.
電路有三種狀態:(1)通路:接通的電路叫通路;(2)開路:斷開的電路叫開路,也叫斷路;(3)短路:直接把導線接在電源兩極上的電路叫短路。
電路圖:用符號表示電路連線的圖叫電路圖。
串聯:把元件逐個順序連線起來,叫串聯。(任意處斷開,電流都會消失)
並聯:把元件並列地連線起來,叫並聯.(各個支路是互不影響的)
二、電流
國際單位:安培(A);常用:毫安(mA),微安(A),1安培=1000毫安=1000000微安。
測量電流的儀表是:電流表,它的使用規則是:①電流表要串聯在電路中;②電流要從"+"接線柱入,從"-"接線柱出;③被測電流不要超過電流表的量程;④絕對不允許不經過用電器而把電流表連到電源的兩極上。
實驗室中常用的電流表有兩個量程:①0~0.6安,每小格表示的電流值是0.02安;②0~3安,每小格表示的電流值是0.1安。
三、電壓
電壓(U):電壓是使電路中形成電流的原因,電源是提供電壓的裝置。
國際單位:伏特(V);常用:千伏(KV),毫伏(mV).1千伏=1000伏=1000000毫伏。
測量電壓的儀表是:電壓表,使用規則:①電壓表要並聯在電路中;②電流要從"+"接線柱入,從"-"接線柱出;③被測電壓不要超過電壓表的量程;
實驗室常用電壓表有兩個量程:①0~3伏,每小格表示的電壓值是0.1伏;
②0~15伏,每小格表示的電壓值是0.5伏。
熟記的電壓值:①1節乾電池的電壓1.5伏;②1節鉛蓄電池電壓是2伏;③家庭照明電壓為220伏;④安全電壓是:不高於36伏;⑤工業電壓380伏。
四、電阻
電阻(R):表示導體對電流的阻礙作用。(導體如果對電流的阻礙作用越大,那么電阻就越大,而通過導體的電流就越小).
國際單位:歐姆(Ω);常用:兆歐(MΩ),千歐(KΩ);1兆歐=1000千歐;
1千歐=1000歐。
決定電阻大小的因素:材料,長度,橫截面積和溫度(R與它的U和I無關).
滑動變阻器:
原理:改變電阻線在電路中的長度來改變電阻的。
作用:通過改變接入電路中的電阻來改變電路中的電流和電壓。
銘牌:如一個滑動變阻器標有"50Ω2A"表示的意義是:最大阻值是50Ω,允許通過的最大電流是2A.
正確使用:a,應串聯在電路中使用;b,接線要"一上一下";c,通電前應把阻值調至最大的地方。
五、歐姆定律
歐姆定律:導體中的電流,跟導體兩端的電壓成正比,跟導體的電阻成反比。
公式:式中單位:→安(A);→伏(V);→歐(Ω).
公式的理解:①公式中的,和必須是在同一段電路中;②,和中已知任意的兩個量就可求另一個量;③計算時單位要統一。
歐姆定律的套用:
①同一電阻的阻值不變,與電流和電壓無關,其電流隨電壓增大而增大。()
②當電壓不變時,電阻越大,則通過的電流就越小。()
③當電流一定時,電阻越大,則電阻兩端的電壓就越大.()
電阻的串聯有以下幾個特點:(指,串聯,串得越多,電阻越大)
①電流:(串聯電路中各處的電流相等)
②電壓:(總電壓等於各處電壓之和)
③電阻:(總電阻等於各電阻之和)如果n個等值電阻串聯,則有R總=nR
④分壓作用:=;計算,,可用:;
電阻的並聯有以下幾個特點:(指R1,R2並聯,並得越多,電阻越小)
①電流:I=I1+I2(幹路電流等於各支路電流之和)
②電壓:U=U1=U2(幹路電壓等於各支路電壓)
③電阻:(總電阻的倒數等於各電阻的倒數和)1/R總=1/R1+1/R2+1/R3+....+1/Rn
④分流作用:;計算I1,I2可用:;
⑤比例關係:電壓:U1:U2=1:1,(Q是熱量)
六、電功和電功率
1.電功(W):電能轉化成其他形式能的多少叫電功,
2.功的國際單位:焦耳.常用:度(千瓦時),1度=1千瓦時=3.6×10^6焦耳。
3.測量電功的工具:電能表
4.電功公式:W=Pt=UIt(式中單位W→焦(J);U→伏(V);I→安(A);t→秒).
利用W=UIt計算時注意:①式中的W.U.I和t是在同一段電路;②計算時單位要統一;③已知任意的三個量都可以求出第四個量。還有公式:=I2Rt
電功率(P):表示電流做功的快慢。國際單位:瓦特(W);常用:千瓦
公式:式中單位P→瓦(w);W→焦;t→秒;U→伏(V),I→安(A)
利用計算時單位要統一,①如果W用焦,t用秒,則P的單位是瓦;②如果W用千瓦時,t用小時,則P的單位是千瓦。
10.計算電功率還可用右公式:P=I2R和P=U2/R
11.額定電壓(U0):用電器正常工作的電壓。另有:額定電流
12.額定功率(P0):用電器在額定電壓下的功率。
13.實際電壓(U):實際加在用電器兩端的電壓。另有:實際電流
14.實際功率(P):用電器在實際電壓下的功率。
當U>U0時,則P>P0;燈很亮,易燒壞.
當U<U0時,則P<P0;燈很暗,
當U=U0時,則P=P0;正常發光。
15.同一個電阻,接在不同的電壓下使用,則有;如:當實際電壓是額定電壓的一半時,則實際功率就是額定功率的1/4.例"220V100W"如果接在110伏的電路中,則實際功率是25瓦。)
16.熱功率:導體的熱功率跟電流的二次方成正比,跟導體的電阻成正比。
17.P熱公式:P=I^2Rt(I平方RT),(式中單位P→瓦(W);I→安(A);R→歐(Ω);t→秒。)
18.當電流通過導體做的功(電功)全部用來產生熱量(電熱),則有:熱功率=電功率,可用電功率公式來計算熱功率。(如電熱器,電阻就是這樣的。)
七、生活用電
家庭電路由:進戶線(火線和零線)→電能表→總開關→保險盒→用電器。
所有家用電器和插座都是並聯的.而用電器要與它的開關串聯接火線。
保險絲:是用電阻率大,熔點低的鉛銻合金製成。它的作用是當電路中有過大的電流時,它升溫達到熔點而熔斷,自動切斷電路,起到保險的作用。
引起電路電流過大的兩個原因:一是電路發生短路;二是用電器總功率過大.
安全用電的原則是:①不接觸低壓帶電體;②不靠近高壓帶電體。
八、電和磁
磁性:物體吸引鐵,鎳,鈷等物質的性質。
磁體:具有磁性的物體叫磁體。它有指向性:指南北.
磁極:磁體上磁性最強的部分叫磁極。
任何磁體都有兩個磁極,一個是北極(N極);另一個是南極(S極)
磁極間的作用:同名磁極互相排斥,異名磁極互相吸引。
磁化:使原來沒有磁性的物體帶上磁性的過程。
磁體周圍存在著磁場,磁極間的相互作用就是通過磁場發生的.
磁場的基本性質:對入其中的磁體產生磁力的作用。
磁場的方向:小磁針靜止時北極所指的方向就是該點的磁場方向。
磁感線:描述磁場的強弱,方向的假想曲線。不存在且不相交,北出南進.
磁場中某點的磁場方向,磁感線方向,小磁針靜止時北極指的方向相同。
地磁的北極在地理位置的南極附近;而地磁的南極則在地理的北極附近。但並不重合,它們的交角稱磁偏角,中國學者沈括最早記述這一現象。
奧斯特實驗證明:通電導線周圍存在磁場。
安培定則:用右手握螺線管,讓四指彎向螺線管中電流方向,則大拇指所指的那端就是螺線管的北極(N極).
通電螺線管的性質:①通過電流越大,磁性越強;②線圈匝數越多,磁性越強;③插入軟鐵芯,磁性大大增強;④通電螺線管的極性可用電流方向來改變。
電磁鐵:內部帶有鐵芯的螺線管就構成電磁鐵。
電磁鐵的特點:①磁性的有無可由電流的通斷來控制;②磁性的強弱可由改變電流大小和線圈的匝數來調節;③磁極可由電流方向來改變。
電磁繼電器:實質上是一個利用電磁鐵來控制的開關。它的作用可實現遠距離操作,利用低電壓,弱電流來控制高電壓,強電流。還可實現自動控制。
電話基本原理:振動→強弱變化電流→振動。
電磁感應:閉合電路的一部分導體在磁場中做切割磁感線運動時,導體中就產生電流,這種現象叫電磁感應,產生的電流叫感應電流。套用:發電機
感應電流的條件:①電路必須閉合;②只是電路的一部分導體在磁場中;③這部分導體做切割磁感線運動.
感應電流的方向:跟導體運動方向和磁感線方向有關。
發電機的原理:電磁感應現象。結構:定子和轉子。它將機械能轉化為電能.
磁場對電流的作用:通電導線在磁場中要受到磁力的作用。是由電能轉化為機械能。套用:電動機。
通電導體在磁場中受力方向:跟電流方向和磁感線方向有關.
電動機原理:是利用通電線圈在磁場裡受力轉動的原理製成的。
換向器:實現交流電和直流電之間的互換。
交流電:周期性改變電流方向的電流。
直流電:電流方向不改變的電流。
物理學
| 力學 | 靜力學 | 動力學 | 流體力學 |分析力學 | 運動學 | 固體力學 | 材料力學 | 複合材料力學 | 流變學 | 結構力學 | 彈性力學 | 塑性力學 |爆炸力學 | 磁流體力學 |空氣動力學 | 理性力學 | 物理力學 | 天體力學 | 生物力學 | 計算力學 |
| 熱學 | 熱力學 |
| 光學 | 幾何光學 | 波動光學 | 大氣光學 | 海洋光學 | 量子光學 | 光譜學 | 生理光學 | 電子光學 | 集成光學 | 空間光學 |
| 聲學 | 次聲學 | 超聲學 | 電聲學 | 大氣聲學 | 音樂聲學 | 語言聲學 | 建築聲學 | 生理聲學 | 生物聲學 | 水聲學 |
| 電磁學 | 磁學 | 電學 | 電動力學 |
| 量子物理學 | 量子力學 | 核物理學 | 高能物理學 | 原子物理學 | 分子物理學 |
| 固體物理學 | 高壓物理學 |金屬物理學 | 表面物理學 |

