磁感應強度
磁感應強度簡介
這個物理量之所以叫做磁感應強度,而沒有叫做磁場強度,是由於歷史上磁場強度一詞已用來表示另外一個物理量了,區別:磁感應強度反映的是相互作用力,是兩個參考點A與B之間的應力關係,而磁場強度是主體單方的量,不管B方有沒有參與,這個量是不變的。
定義方法
電荷在電場中受到的電場力是一定的,方向與該點的電場方向相同或者相反。電流在磁場中某處所受的磁場力(安培力),與電流在磁場中放置的方向有關,當電流方向與磁場方向平行時,電流受的安培力最小,等於零;當電流方向與磁場方向垂直時,電流受的安培力最大。
點電荷q以速度v在磁場中運動時受到力f的作用。在磁場給定的條件下,f的大小與電荷運動的方向有關。當v沿某個特殊方向或與之反向時,受力為零;當v與這個特殊方向垂直時受力最大,為Fm。Fm與|q|及v成正比,比值與運動電荷無關,反映磁場本身的性質,定義為磁感應強度的大小,即。B的方向定義為:由正電荷所受最大力Fm的方向轉向電荷運動方向v時,右手螺鏇前進的方向。定義了B之後,運動電荷在磁場B中所受的力可表為F=QVB,此即洛倫茲力公式。
除利用洛倫茲力定義B外,也可以根據電流元Idl在磁場中所受安培力df=Idl×B來定義B,或根據磁矩m在磁場中所受力矩M=m×B來定義B,三種定義,方法雷同,完全等價。
定義式及量綱
定義式F=ILB
表達式B=F/IL
量綱
在國際單位制(SI)中,磁感應強度的單位是特斯拉,簡稱特(T)。在高斯單位制中,磁感應強度的單位是高斯(Gs),1T=10KGs等於10的四次方高斯。由於歷史的原因,與電場強度E對應的描述磁場的基本物理量被稱為磁感應強度B,而另一輔助量卻被稱為磁場強度H,名實不符,容易混淆。通常所謂磁場,均指的是B。
B在數值上等於垂直於磁場方向長1m,電流為1A的導線所受磁場力的大小
B=F/IL(F=BIL而來)
註:磁場中某點的磁感應強度B是客觀存在的,與是否放置通電導線無關,定義式F=BIL中要求一小段通電導線應垂直於磁場放置才行,如果平行於磁場放置,則力F為零
一些例子
(單位:T)
原子核表面約10^12
中子星表面約10^8
星際空間10^(-10)
人體表面3*10^(-10)
磁場方向即磁感應強度的方向,判定方法是放入檢驗小磁針北極所受磁場力的方向,也是小磁針穩定平衡時的方向。
通電導體受安培力方向可用左手定則:讓磁感線垂直穿過左手手心,四指指向電流方向,並使拇指與四指垂直,拇指所指方向即通電導體所受磁場力(安培力)方向。若磁感線不與電流方向垂直,則將磁感應強度分解到垂直於電流和平行於電流方向,對垂直於電流的分量套用上述左手定則即可,若平行,則不受安培力。可見,安培力垂直與磁感應強度和電流共同確定的平面。
同向的電流相互吸引,反向的電流相互排斥。
常用計算式
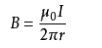
無限長載流直導線外
公式其中,
公式1為真空磁導率。r為該點到直導線距離。
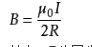
圓電流圓心處
公式2其中,R為圓半徑。
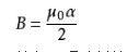
無限大均勻載流平面外
公式3其中,α是流過單位長度的電流。
一段載流圓弧在圓心處
公式4其中,φ是該圓弧對應的圓心角,單位為弧度。
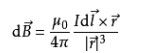
畢奧-薩伐爾定律
公式5Idl表示恆定電流的一電流元,r表示從電流元指向某一場點P的徑矢
式中B、dl、r均為矢量。
電力通論圖
